适用年级:{{getGradeNameByProperty('初三|中考模拟|江苏|2015年')}} 试卷类型:{{getTestPaperTypeName('初三|中考模拟|江苏|2015年')}} 使用省份:{{getAreaName('初三|中考模拟|江苏|2015年')}}
试卷年份:{{getYear('初三|中考模拟|江苏|2015年')}}上传日期:2015-09-17题数:29
提示:单击题文可显示答案与解析。
题号:1460570
题型:选择题
难易度:较难
日期:2015-09-17
来源:2015届江苏扬州江都区初三下期第二次模拟测试物理卷(带解析)
【题文】为方便黑夜开灯,家中可安装一种带有指示灯的开关,如图(a)所示。这种开关是由一个指示灯和一个开关S构成。将该开关和照明灯连入电路,如图(b)所示。当开关S断开时,照明灯不发光、指示灯发光;当开关S闭合时,电路中的照明灯正常发光、指示灯不发光。请根据以上工作特点,对有关电路元件进行判断( )

| A.L1的电阻比L2大 |
| B.图(b)电路中的灯L1是照明灯 |
| C.照明灯的额定功率小于指示灯的额定功率 |
| D.当开关S断开时,照明灯中没有电流通过 |
题号:1460571
题型:选择题
难易度:一般
日期:2015-09-17
来源:2015届江苏扬州江都区初三下期第二次模拟测试物理卷(带解析)
【题文】下列四幅图中,用来研究磁场对电流作用的是( )

| A.图甲中,风车转动时电流表指针偏转 |
| B.图乙中,闭合开关后线圈转动 |
| C.图丙中,旋转启动钥匙后用电器工作 |
| D.图丁中,闭合开关后铁钉吸引大头针 |
题号:1460572
题型:选择题
难易度:一般
日期:2015-09-17
来源:2015届江苏扬州江都区初三下期第二次模拟测试物理卷(带解析)
【题文】所示的工具中属于费力杠杆的一组是( )

题号:1460573
题型:选择题
难易度:一般
日期:2015-09-17
来源:2015届江苏扬州江都区初三下期第二次模拟测试物理卷(带解析)
【题文】体育活动中蕴含很多物理知识,下列说法正确的是( )
| A.篮球在空中上升过程中,重力势能转化为动能 |
| B.用力扣杀排球时手感到疼痛,说明力的作用是相互的 |
| C.踢出去的足球会停下来,说明物体的运动需要力来维持 |
| D.击球时,球拍先给羽毛球力的作用,羽毛球后给球拍力的作用 |
题号:1460574
题型:选择题
难易度:一般
日期:2015-09-17
来源:2015届江苏扬州江都区初三下期第二次模拟测试物理卷(带解析)
【题文】关于粒子和宇宙,下列说法正确的是( )
| A.摩擦起电说明物体能自发产生电荷 |
| B.雾霾是由于固体分子不停运动形成的 |
| C.卢瑟福根据实验建立了原子的核式结构模型 |
| D.地球等行星围绕太阳转动,太阳是宇宙的中心 |
题号:1460595
题型:选择题
难易度:一般
日期:2015-09-17
来源:2015届江苏扬州江都区初三下期第二次模拟测试物理卷(带解析)
【题文】在探究凸透镜成像规律实验中,当烛焰位于距离凸透镜一倍焦距以内时,人眼观察烛焰成像的情形是图中的( )

题号:1460596
题型:选择题
难易度:较难
日期:2015-09-17
来源:2015届江苏扬州江都区初三下期第二次模拟测试物理卷(带解析)
【题文】如图甲在一只薄塑料袋中装水过半(未满),用细线扎紧袋口,用弹簧测力计测得其所受重力为10N;再将这个装水的塑料袋浸入烧杯内的水中(如图乙),当弹簧测力计示数为0N时,袋内水面与烧杯中的水面相比(不计塑料袋和细线的重) ( )

| A.比烧杯中的水面高 |
| B.比烧杯中的水面低 |
| C.与烧杯中的水面相平 |
| D.高低无法判断 |
题号:1460597
题型:选择题
难易度:一般
日期:2015-09-17
来源:2015届江苏扬州江都区初三下期第二次模拟测试物理卷(带解析)
【题文】如图电路,开关闭合前将滑片移至a端,闭合开关时电压表示数为4V,若将滑片移至中点时,电压表示数为( )

题号:1460598
题型:选择题
难易度:一般
日期:2015-09-17
来源:2015届江苏扬州江都区初三下期第二次模拟测试物理卷(带解析)
【题文】
| A.冬天在水箱中加入防冻剂,降低水的凝固点,防止凝固造成的破坏 |
| B.超速行驶会导致汽车惯性增大,增加事故风险 |
| C.冬季汽车开空调后,会在车窗玻璃内侧附着“雾气”,这是汽化现象。 |
| D.轮胎上有凹凸的花纹,增大了摩擦力,不利于汽车行驶 |
题号:1460599
题型:选择题
难易度:一般
日期:2015-09-17
来源:2015届江苏扬州江都区初三下期第二次模拟测试物理卷(带解析)
【题文】

| A.金属“镓”液化,需要吸热 |
| B.手与金属“镓”热传递,“镓”的内能增大 |
| C.“镓”的沸点低于手的温度 |
| D.可以用金属“镓”来制作餐具 |
题号:1460600
题型:选择题
难易度:一般
日期:2015-09-17
来源:2015届江苏扬州江都区初三下期第二次模拟测试物理卷(带解析)
【题文】关于声现象,下列说法正确的是( )
| A.中考期间,考场周边路段禁止汽车鸣笛,这是在传播过程中减弱噪声 |
| B.声音在真空中传播的速度是340m/s |
| C.用超声波粉碎人体内的结石,说明超声波具有能量 |
| D.发声体的振动频率越高,响度就越大 |
题号:3649461
题型:选择题
难易度:一般
日期:2015-09-18
来源:2015届江苏扬州江都区初三下期第二次模拟测试物理卷(带解析)
【题文】下列数据中,你认为最符合实际的是( )
| A.人的手掌所受大气压力大约70N |
| B.中学生100m赛跑的成绩约8秒 |
| C.健康人的体温是25 ℃ |
| D.一杯水对水平桌面的压强大约1000Pa |
题号:1460533
题型:实验题
难易度:一般
日期:2015-09-17
来源:2015届江苏扬州江都区初三下期第二次模拟测试物理卷(带解析)
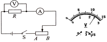
【题文】(7分)以下是小红用如图电路及5Ω、10Ω、15Ω三个定值电阻“探究通过导体的电流与电阻的关系”的部分实验过程:
实验 次数
| 电阻 R/Ω
| 电流 I/A
|
1
| 5
| 0.48
|
2
| 10
| 0.24
|
3
| 15
| 0.16
|

(1)连接电路时,开关应断开,滑片应该放在阻值最大位置。
(2)某次实验时电压表的示数如上图所示,则R两端的电压是
V。
(3)实验时,小红用5Ω电阻完成实验后,断开开关,用10Ω的电阻替换5Ω电阻,然后闭合开关,向
调节滑动变阻器,使
保持不变,记录电流表示数。
(4)小明认为小红的操作不规范,理由是
,这样操作有可能会损坏
(选填“电流表”、“电压表”、“滑动变阻器”、“电源”)。
(5)小红正确操作后得到如上表所示的数据,分析表格可得出结论:
。
(6)改进建议:每次更换定值电阻比较麻烦,对此你的建议是
。
题号:1460556
题型:实验题
难易度:一般
日期:2015-09-17
来源:2015届江苏扬州江都区初三下期第二次模拟测试物理卷(带解析)
【题文】(共3分)工业污水未经处理直接排入河流,会使河水中的阴阳离子大大增加,河水的导电性增强,所以水的导电性也可以反应水的污染程度。实验中学STS小组为了解市化工厂排出的废水的污染情况,取来了化工厂的废水和自来水,研究废水和自来水的导电性能,他们进行了如下实验:

(1)(2分)设计并连接如图所示电路,图中有两条导线没有连接。请你用笔画线代替导线把电路连接完整,且能达到研究的目的。
(2)连接好电路以后闭合开关,移动滑动变阻器的滑片。发现电流表甲的示数始终大于电流表乙的示数.由此可判断右烧杯中盛的是
(选填废水/自来水).
题号:1460557
题型:实验题
难易度:一般
日期:2015-09-17
来源:2015届江苏扬州江都区初三下期第二次模拟测试物理卷(带解析)
【题文】 “探究串联电路特点”时小明选用两只规格相同的灯泡连接的电路如图甲所示.

(1)闭合开关S后,发现灯L
1发光,L
2不发光.同学们有以下几种猜想:①L
2灯丝断了;②L
2短路;③灯L
2也工作,但L
2中电流比L
1中电流小.以上猜想中正确有
(填序号).
(2)为了寻找“串联电路的电流关系”,分别把图中A、B、C各点断开,然后把
接入,闭合开关前,发现其中一个电表指针如图乙所示,出现这种现象的原因是
.
(3)在寻找“串联电路的电压关系”时,小明将电压表并联在L
1两端,闭合开关,电压表示数如图丙所示,为了使实验结果更准确,接下来他应该
.
(4)正确实验操作后,测得A、B、C三处的电流记I
A、I
B、I
C,测得AB、BC、AC两点间的电压U
AB、U
BC、U
AC.下列说法正确的是
A.I
A>I
B>I
CB.I
A<I
B<I
CC.U
AB=U
BC=U
ACD.U
AC=U
AB+U
BC(5)为了使结论更有普遍性,可采用的方法是:
.
A、换用不同规格灯泡多次实验,B、改变电源电压多次实验.
题号:1460558
题型:实验题
难易度:一般
日期:2015-09-17
来源:2015届江苏扬州江都区初三下期第二次模拟测试物理卷(带解析)
【题文】(6分)在探究“杠杆的平衡条件”实验中:

(1)实验前,杠杆停在如图甲所示的位置,小明应该将杠杆右端平衡螺母向
(填“左”或“右”)调节,使杠杆在水平位置平衡,这样做的目的是
.
(2)杠杆在水平位置平衡后,在杠杆左边挂上钩码,在右边用测力计竖直向下拉,使杠杆在水平位置重新平衡,如图乙所示.
实验次数
| 动力F1/N
| 动力臂L/cm
| 阻力F2/N
| 阻力臂2/cm
|
1
| 2
| 10
| 2
| 10
|
2
| 1
| 20
| 2
| 10
|
3
| 2.5
| 10
| 1
| 25
|
(3)以测力计拉力为动力F
1,钩码重力为阻力F
2,多次调整进行测量, 得出的数据如表所示,分析表中数据得出:杠杆的平衡条件是:
.(用字母表达式)
(4)在本实验中需要进行多次测量的目的是
.
A.减小误差 B.求平均值 C.使结论具有普遍性
(5)当测力计由竖直方向变为向右倾斜下拉并保持杠杆在水平位置平衡,如图1所示,此过程中测力计的拉力F
(填“变大”“不变”或“变小”)。
题号:1460559
题型:实验题
难易度:一般
日期:2015-09-17
来源:2015届江苏扬州江都区初三下期第二次模拟测试物理卷(带解析)
【题文】(6分)在探究“影响滑动摩擦力大小的因素”实验中,选用大小和形状完全相同的实心的铜块和铁块、弹簧测力计进行实验。

(1)为测量物体在水平木板上滑动时受到的摩擦力,弹簧测力计应
拉着物体做
运动,此测量运用的原理是
。
(2)图甲中:铜块受到的摩擦力1.2N,图乙中:铜块受到的摩擦力2N.比较甲乙得出的结论是
;
(3)为了探究滑动摩擦力与物体材料的关系,接下来的操作是
。
(4)此实验过程中你认为遇到的困难主要是_______
。
题号:1460560
题型:实验题
难易度:一般
日期:2015-09-17
来源:2015届江苏扬州江都区初三下期第二次模拟测试物理卷(带解析)
【题文】(3分)用天平、细线、烧杯、水(ρ
水="1.0" g/cm3 )测定某工艺品的密度,过程如下:

(1)把天平放在水平桌面上,游码移至标尺左端的零刻线处,看到指针在分度盘中央两侧摆动,摆动的幅度如图甲所示,此时应将平衡螺母向
(左、右)调节,使指针指向分度盘中央。
(2)用调节好的天平测量工艺品质量,当天平平衡后,右盘中砝码和游码的位置如图乙所示。工艺品的质量为
g
(3)往烧杯中倒入适量的水,用调节好的天平测出烧杯和水的总质量为200 g。
(4)用细线拴好工艺品,并浸没在水中(如图丙),在右盘中增加砝码并移动游码,当天平平衡后,得出质量为208g,工艺品的密度为ρ=
g/cm
3。
题号:1460561
题型:填空题
难易度:一般
日期:2015-09-17
来源:2015届江苏扬州江都区初三下期第二次模拟测试物理卷(带解析)
【题文】如图所示电路,电源电压恒为8V,电压表量程为0~3V,电流表量程为0~0.6A,滑动变阻器的规格为 “20Ω 1A”,灯泡标有“6V 3W”字样.若闭合开关,两电表示数均不超过所选量程,灯泡两端的电压不超过额定值,不考虑灯丝电阻变化,灯L正常工作时,滑动变阻器的功率为
W。为了保证电路中各元件安全工作,滑动变阻器允许接入电路的阻值范围是
Ω。

题号:1460562
题型:填空题
难易度:一般
日期:2015-09-17
来源:2015届江苏扬州江都区初三下期第二次模拟测试物理卷(带解析)
【题文】冬天人们常用一种电热暖手宝,其内部液体通常采用水,这是利用水的比热容大的属性,使保暖时间更长.为了使用时更加安全,它的内部采用了双重温控保护开关,两个温控开关是 ____联起来使用的.

题号:1460563
题型:填空题
难易度:一般
日期:2015-09-17
来源:2015届江苏扬州江都区初三下期第二次模拟测试物理卷(带解析)
【题文】一种“自生能”手机,只要将手机竖直拿着上下摇动一次,可获得电能0.4J。若每1秒摇一次,每摇一分钟可通话两分钟,该手机通话时的功率约为_______ W。有一位顾客将手机竖直拿着左右摇动,结果没有发出电来,其原因可能是 。
题号:1460564
题型:填空题
难易度:一般
日期:2015-09-17
来源:2015届江苏扬州江都区初三下期第二次模拟测试物理卷(带解析)
【题文】4月22日,中国新一代“人造太阳”实验装置───热核聚变反应堆完成了放电实验:实验中反应堆放电功率为30KW,输出稳定电流40A并持续0.5s,则输出电压是____V.若将“人造太阳”此次释放的电能全部储存进电池并全部释放为照明电路供电,可使一只“220v 10W”的节能灯持续工作_______min.
题号:1460565
题型:填空题
难易度:一般
日期:2015-09-17
来源:2015届江苏扬州江都区初三下期第二次模拟测试物理卷(带解析)
【题文】轮滑是孩子们喜欢的一项运动,鞋底装有轮子的目的是_______摩擦力(填“增大”或“减小”);当孩子用力向
(填:正后方\侧后方)蹬地时,他会向前加速,此过程以_______为参照物,他是静止的;他单脚滑行比双脚滑行时对地面的压强将变_______;如图所示,当孩子不再用力,悠闲地向前滑行时,他的机械能逐渐减小并转化成内能,这部分内能______(填“能”、“不能”)直接再转化为他的机械能.这是因为能量转化具有
。若孩子在5s内向前滑行了10m,则这段时间内,他的平均速度为____km/h.

题号:1460566
题型:填空题
难易度:一般
日期:2015-09-17
来源:2015届江苏扬州江都区初三下期第二次模拟测试物理卷(带解析)
【题文】(1)如图所示,把用餐巾纸摩擦后的吸管放置在铁支架上,且可以自由转动.现用一个带电体靠近吸管的一端,发现它们互相排斥,说明吸管与带电体带______(选填“同种”或“异种”)电荷,这种现象在生活中的应用例如
;吸管上的电荷没有通过铁支架转移,说明吸管是__________。(选填“导体”或“绝缘体”).

(2)如图为冰糖葫芦的制作:将洗净的山楂穿在竹签上;将一定量的白糖放入锅中加热,待白糖
(填物态变化名称)为糖浆后,将山楂放入锅中蘸上糖浆,等待山楂上的糖浆
(选填“吸收”或“放出”)热量变成固态,令人垂涎欲滴的冰糖葫芦就做好了.
题号:1460567
题型:填空题
难易度:较难
日期:2015-09-17
来源:2015届江苏扬州江都区初三下期第二次模拟测试物理卷(带解析)
【题文】在汽油机的一个工作循环中,机械能转化为内能的是 冲程;汽油是从石油中提炼出的能源,石油是 (选填“可再生”或“不可再生”)能源;若汽车行驶过程中消耗汽油4kg,则这些汽油完全燃烧放出的热量完全被水吸收,可使20℃质量为0.5t的水升高 ℃(标准大气压下)。[汽油热值4.6×107J/kg,水的比热容4.2×10³J/(㎏·℃)]
题号:1460568
题型:填空题
难易度:一般
日期:2015-09-17
来源:2015届江苏扬州江都区初三下期第二次模拟测试物理卷(带解析)
【题文】如图所示是快速飞行的子弹穿过扑克牌的瞬间的情形,这时子弹对扑克牌的力使扑克牌发生了
;同时子弹受到了扑克牌的阻力使子弹的
也发生了改变。我们可以看到扑克牌被子弹穿过的地方有烧焦的痕迹,这是通过
的方式使扑克牌的内能增加的。我们还会闻到扑克牌被烧焦的气味,这时一种
现象。

题号:1460569
题型:填空题
难易度:一般
日期:2015-09-17
来源:2015届江苏扬州江都区初三下期第二次模拟测试物理卷(带解析)
【题文】飞机降落到核动力航母甲板上,航母所受的浮力
(填:变大\变小\不变);核能属于
(填:清洁\不清洁)能源。

题号:1460534
题型:计算题
难易度:较难
日期:2015-09-17
来源:2015届江苏扬州江都区初三下期第二次模拟测试物理卷(带解析)
【题文】用如图所示的滑轮组在5s内将静止在水平地面上质量m=40kg,底面积S=1m
2的物体匀速竖直提升3m,所用拉力F=250N,问:(g=10N/kg)

(1)提升前,物体静止在水平地面上时对地面的压强是多大?
(2)滑轮组提升物体过程中做的有用功是多少?
(3)拉开力F的功率是多少?
(4)滑轮组的机械效率是多少?
题号:1460555
题型:计算题
难易度:较难
日期:2015-09-17
来源:2015届江苏扬州江都区初三下期第二次模拟测试物理卷(带解析)
【题文】如图所示,电源电压恒为12V,闭合开关S,当滑动变阻器的阻值为10Ω时,电压表的示数为10V,此时电动机正常工作,则滑动变阻器消耗的功率是多少?;若电动机内部线圈的电阻为2Ω,则通电5min电流通过电动机内部线圈产生的热量是多少?
