适用年级:{{getGradeNameByProperty('高三|高考模拟|河南|2016年')}} 试卷类型:{{getTestPaperTypeName('高三|高考模拟|河南|2016年')}} 使用省份:{{getAreaName('高三|高考模拟|河南|2016年')}}
试卷年份:{{getYear('高三|高考模拟|河南|2016年')}}上传日期:2016-08-08题数:24
提示:单击题文可显示答案与解析。
题号:723011
题型:选择题
难易度:较难
日期:2016-08-08
来源:【百强校】2016届河南省郑州一中高三考前冲刺三文科数学试卷(带解析)
【题文】已知函数

是定义域为R的偶函数,当

时,

若关于x的方程

有且仅有6个不同实数根,则实数a的取值范围是()
题号:723012
题型:选择题
难易度:较易
日期:2016-08-08
来源:【百强校】2016届河南省郑州一中高三考前冲刺三文科数学试卷(带解析)
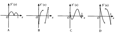
【题文】定义在区间[0,1]上的函数f(x)的图象如图所示,以

为顶点的△ABC的面积记为函数S(x),则函数S(x)的导函数

的大致图象为( )


题号:723013
题型:选择题
难易度:较难
日期:2016-08-08
来源:【百强校】2016届河南省郑州一中高三考前冲刺三文科数学试卷(带解析)
【题文】如图所示,直线y=x-2与圆

及抛物线

依次交于A,B,C,D四点,则

=( )

题号:723014
题型:选择题
难易度:较易
日期:2016-08-08
来源:【百强校】2016届河南省郑州一中高三考前冲刺三文科数学试卷(带解析)
【题文】已知F是双曲线

的右焦点,O为坐标原点,设P是双曲线上一点,则∠POF的大小不可能是( )
题号:723015
题型:选择题
难易度:容易
日期:2016-08-08
来源:【百强校】2016届河南省郑州一中高三考前冲刺三文科数学试卷(带解析)
【题文】等差数列

的公差为1,若以上述数据

为样本,则此样本的方差为( )
A. | B. | C.60 | D.30 |
题号:723016
题型:选择题
难易度:一般
日期:2016-08-08
来源:【百强校】2016届河南省郑州一中高三考前冲刺三文科数学试卷(带解析)
【题文】某三棱锥的侧视图和俯视图如图所示,则该三棱锥的体积为( )

题号:723017
题型:选择题
难易度:一般
日期:2016-08-08
来源:【百强校】2016届河南省郑州一中高三考前冲刺三文科数学试卷(带解析)
【题文】已知两个单位向量

,

的夹角为

,且满足

,则实数

的值是( )
题号:723018
题型:选择题
难易度:较易
日期:2016-08-08
来源:【百强校】2016届河南省郑州一中高三考前冲刺三文科数学试卷(带解析)
【题文】已知x,y满足不等式组

则目标函数z=3x+y的最大值为( )
| A.12 | B.24 | C.8 | D. |
题号:723019
题型:选择题
难易度:一般
日期:2016-08-08
来源:【百强校】2016届河南省郑州一中高三考前冲刺三文科数学试卷(带解析)
【题文】具有线性相关关系的变量x、y的一组数据如下表所示.若y与x的回归直线方程为

,则m的值是( )
A.4 B.

C.5.5 D.6
题号:723020
题型:选择题
难易度:较易
日期:2016-08-08
来源:【百强校】2016届河南省郑州一中高三考前冲刺三文科数学试卷(带解析)
【题文】某班49位同学玩“数学接龙”游戏,具体规则按如图所示的程序框图执行(其中a为座位号),并以输出的值作为下一个输入的值.若第一次输入的值为8,则第三次输出的值为( )

题号:723021
题型:选择题
难易度:较易
日期:2016-08-08
来源:【百强校】2016届河南省郑州一中高三考前冲刺三文科数学试卷(带解析)
【题文】已知集合

,若

,则集合B可以是( )
题号:723022
题型:选择题
难易度:容易
日期:2016-08-08
来源:【百强校】2016届河南省郑州一中高三考前冲刺三文科数学试卷(带解析)
【题文】在复平面内,两个共轭复数所对应的点( )
| A.关于x轴对称 | B.关于y轴对称 |
| C.关于原点对称 | D.关于直线y=x对称 |
题号:723007
题型:填空题
难易度:较易
日期:2016-08-08
来源:【百强校】2016届河南省郑州一中高三考前冲刺三文科数学试卷(带解析)
【题文】已知数集

具有性质P:对任意i,j∈Z,其中

,均有

属于A.若

,则

______.
题号:723008
题型:填空题
难易度:较易
日期:2016-08-08
来源:【百强校】2016届河南省郑州一中高三考前冲刺三文科数学试卷(带解析)
【题文】已知a,b,c分别为△ABC的三个内角A,B,C的对边,若

,则

___.
题号:723009
题型:填空题
难易度:较易
日期:2016-08-08
来源:【百强校】2016届河南省郑州一中高三考前冲刺三文科数学试卷(带解析)
【题文】将函数

的图象向右平移

个单位长度,得到函数

的图象,则

_____.
题号:723010
题型:填空题
难易度:较易
日期:2016-08-08
来源:【百强校】2016届河南省郑州一中高三考前冲刺三文科数学试卷(带解析)
【题文】函数

的最小值是______.
题号:722999
题型:解答题
难易度:一般
日期:2016-08-08
来源:【百强校】2016届河南省郑州一中高三考前冲刺三文科数学试卷(带解析)
【题文】选修4-5:不等式选讲
已知a,b,c均为正数.
(1)求证:

;
(2)若

,求证:

.
题号:723000
题型:解答题
难易度:较难
日期:2016-08-08
来源:【百强校】2016届河南省郑州一中高三考前冲刺三文科数学试卷(带解析)
【题文】选修4-4:坐标系与参数方程
直角坐标系中曲线C的参数方程为

(

为参数).
(1)求曲线C的直角坐标方程;
(2)经过点M(2,1)作直线

交曲线C于A,B两点,若M恰好为线段AB的三等分点,求直线

的斜率.
题号:723001
题型:解答题
难易度:一般
日期:2016-08-08
来源:【百强校】2016届河南省郑州一中高三考前冲刺三文科数学试卷(带解析)
【题文】选修4-1:几何证明选讲
如图所示,圆M与圆N交于A,B两点,以A为切点作两圆的切线分别交圆M和圆N于C,D两点,延长DB交圆M于点E,延长CB交圆N于点F.已知BC=5,DB=10.

(1)求AB的长;
(2)求

的值.
题号:723002
题型:解答题
难易度:一般
日期:2016-08-08
来源:【百强校】2016届河南省郑州一中高三考前冲刺三文科数学试卷(带解析)
【题文】已知函数

在

时取得极值.
(1)求a的值;
(2)若

有唯一零点,求

的值.
题号:723003
题型:解答题
难易度:较易
日期:2016-08-08
来源:【百强校】2016届河南省郑州一中高三考前冲刺三文科数学试卷(带解析)
【题文】已知中心在原点O,左、右焦点分别为

的椭圆的离心率为

,焦距为

,A,B是椭圆上两点.
(1)若直线AB与以原点为圆心的圆相切,且OA⊥OB,求此圆的方程;
(2)动点P满足:

,直线

与OB的斜率的乘积为

,求动点P的轨迹方程.
题号:723004
题型:解答题
难易度:较易
日期:2016-08-08
来源:【百强校】2016届河南省郑州一中高三考前冲刺三文科数学试卷(带解析)
【题文】如图,在四棱锥P-ABCD中,底面ABCD为直角梯形,AD∥BC,∠BAD=90°,BC=2AD,AC与BD交于点O,点M,N分别在线段PC,AB上,

.

(1)求证:平面MNO∥平面PAD;
(2)若平面PAD⊥平面ABCD,∠PDA=60°,且PD=DC=BC=2,求几何体M-ABC的体积.
题号:723005
题型:解答题
难易度:较易
日期:2016-08-08
来源:【百强校】2016届河南省郑州一中高三考前冲刺三文科数学试卷(带解析)
【题文】“ALS冰桶挑战赛”是一项社交网络上发起的筹款活动,活动规定:被邀请者要么在24小时内接受挑战,要么选择为慈善机构捐款(不接受挑战),并且不能重复参加该活动.若被邀请者接受挑战,则他需在网络上发布自己被冰水浇遍全身的视频内容,然后便可以邀请另外3个人参与这项活动.假设每个人接受挑战与不接受挑战是等可能的,且互不影响.
(1)若某参与者接受挑战后,对其他3个人发出邀请,则这3个人中至少有2个人接受挑战的概率是多少?
(2)为了解冰桶挑战赛与受邀请的性别是否有关,某调查机构进行了随机抽样调查,调查得到如下

列联表:
| 接受挑战
| 不接受挑战
| 合计
|
男性
| 45
| 15
| 60
|
女性
| 25
| 15
| 40
|
合计
| 70
| 30
| 100
|
根据表中数据,能否在犯错误的概率不超过0.1的前提下认为“冰桶挑战赛与受邀请者的性别有关”?
附:


| 0.100
| 0.050
| 0.010
| 0.001
|

| 2.706
| 3.841
| 6.635
| 10.828
|
题号:723006
题型:解答题
难易度:较难
日期:2016-08-08
来源:【百强校】2016届河南省郑州一中高三考前冲刺三文科数学试卷(带解析)
【题文】设数列

的前n项和为

,且

.
(1)求数列

的通项公式;
(2)若数列

满足

,求数列

的通项公式.