适用年级:{{getGradeNameByProperty('高三|高考模拟|河南|2010年')}} 试卷类型:{{getTestPaperTypeName('高三|高考模拟|河南|2010年')}} 使用省份:{{getAreaName('高三|高考模拟|河南|2010年')}}
试卷年份:{{getYear('高三|高考模拟|河南|2010年')}}上传日期:2011-01-05题数:23
提示:单击题文可显示答案与解析。
题号:1182156
题型:选择题
难易度:一般
日期:2011-01-05
来源:2011届河南省开封市高三第一次模拟理科数学卷
【题文】如图,动点P在正方体ABCD—A
1B
1C
1D
1的对角线BD
1上,过点P作垂直于平面BB
1D
1D的直线,与正方体表面交于M、N,设BP=x,MN=y,则函数

的图象大致是


题号:1182157
题型:选择题
难易度:一般
日期:2011-01-05
来源:2011届河南省开封市高三第一次模拟理科数学卷
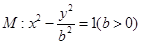
【题文】过双曲线

的左顶点A作斜率为1的直线

,若

与双曲线的渐近线分别交于B、C两点,且

,则双曲线的离心率是 ( )
A.

B.

C.

D.

题号:1182158
题型:选择题
难易度:一般
日期:2011-01-05
来源:2011届河南省开封市高三第一次模拟理科数学卷
【题文】某校为了解高三学生在寒假期间的学习情况,抽查了100名同学,统计他们每天平均学习时间,绘成频率分布直方图(如图),则这100名同学中学习时间在6到8小时内的人数为 ( )

题号:1182159
题型:选择题
难易度:一般
日期:2011-01-05
来源:2011届河南省开封市高三第一次模拟理科数学卷
【题文】连续掷两次骰子分别得到的点数为m,n,则点P(m,n)在直线

左下方的概率为 ( )
题号:1182160
题型:选择题
难易度:一般
日期:2011-01-05
来源:2011届河南省开封市高三第一次模拟理科数学卷
【题文】函数

的图象的一个对称中心( )
题号:1182161
题型:选择题
难易度:一般
日期:2011-01-05
来源:2011届河南省开封市高三第一次模拟理科数学卷
【题文】给出30个数2,3,5,8,12,17,…,要计算这30个数的和,该问题的程序框图如图:则框图中判断框①和执行框②应是 ( )

题号:1182162
题型:选择题
难易度:一般
日期:2011-01-05
来源:2011届河南省开封市高三第一次模拟理科数学卷
【题文】对于不重合的两个平面α与β,给定下列条件:
①存在平面γ,使得α、β都平行于γ;
②存在平面γ,使得α、β都垂直于γ;
③α内有不共线的三点到β的距离相等;
④存在异面直线
l,m,使得
l//α,
l//β,m//α,m//β;
题号:1182163
题型:选择题
难易度:一般
日期:2011-01-05
来源:2011届河南省开封市高三第一次模拟理科数学卷
【题文】已知等比数列

的前三项依次为

= ( )
题号:1182164
题型:选择题
难易度:一般
日期:2011-01-05
来源:2011届河南省开封市高三第一次模拟理科数学卷
【题文】若

Q= ( )
题号:4213013
题型:选择题
难易度:一般
日期:2013-04-07
来源:2011届河南省开封市高三第一次模拟理科数学卷
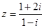
【题文】已知i为虚数单位,复数

,则复数z在复平面上的对应点位于( )
题号:4213014
题型:选择题
难易度:一般
日期:2013-05-24
来源:2011届河南省开封市高三第一次模拟理科数学卷
【题文】已知命题:

成立 ( )
| A.充分不必要条件 | B.必要不充分条件 |
| C.充分必要条件 | D.既不充分也不必要条件 |
题号:4213015
题型:选择题
难易度:一般
日期:2011-01-05
来源:2011届河南省开封市高三第一次模拟理科数学卷
【题文】已知a是函数

的零点,若

的值满足()
题号:1182153
题型:填空题
难易度:一般
日期:2011-01-05
来源:2011届河南省开封市高三第一次模拟理科数学卷
题号:1182154
题型:填空题
难易度:一般
日期:2011-01-05
来源:2011届河南省开封市高三第一次模拟理科数学卷
【题文】已知一几何体的三视图如下,则该几何体外接球的表面积为

题号:1182155
题型:填空题
难易度:一般
日期:2011-01-05
来源:2011届河南省开封市高三第一次模拟理科数学卷
【题文】函数

的图象所围成的图形的面积为
题号:4213016
题型:填空题
难易度:一般
日期:2012-08-15
来源:2011届河南省开封市高三第一次模拟理科数学卷
【题文】已知不等式组

,表示的平面区域的面积为4,点P(x,y)在所给平面区域内,则

的最大值为
题号:1182146
题型:解答题
难易度:一般
日期:2011-01-05
来源:2011届河南省开封市高三第一次模拟理科数学卷
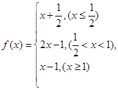
【题文】(本题满分10分)选修4—5:不等式选讲
已知函数

(I)作出函数

的图象;
(II)当

时,不等式

恒成立,求a的取值范围
题号:1182147
题型:解答题
难易度:一般
日期:2011-01-05
来源:2011届河南省开封市高三第一次模拟理科数学卷
【题文】(本题满分10分)选修4—1:几何证明选讲
如图:AB是⊙O的直径,C、F为⊙O上的点,CA是

的角平分线,过点C
作CD⊥AF,交AF的延长线于D点,CM⊥AB,垂足为M,求证:

(I)DC是⊙O的切线;
(II)MB=DF
题号:1182148
题型:解答题
难易度:一般
日期:2011-01-05
来源:2011届河南省开封市高三第一次模拟理科数学卷
【题文】(本题满分12分)
已知函数

(I)试用含a的式子表示b,并求函数

的单调区间;
(II)已知

为函数

图象上不同两点,

为AB的中点,记A、B两点连线的斜率为k,证明:

题号:1182149
题型:解答题
难易度:一般
日期:2011-01-05
来源:2011届河南省开封市高三第一次模拟理科数学卷
【题文】(本小题满分12分)
已知椭圆

的上项点为B
1,右、右焦点为F
1、F
2,

是面积为

的等边三角形。
(I)求椭圆C的方程;
(II)已知

是以线段F
1F
2为直径的圆上一点,且

,求过P点与该圆相切的直线

的方程;
(III)若直线

与椭圆交于A、B两点,设

的重心分别为G、H,请问原点O在以线段GH为直径的圆内吗?若在请说明理由。
题号:1182150
题型:解答题
难易度:一般
日期:2011-01-05
来源:2011届河南省开封市高三第一次模拟理科数学卷
【题文】(本题满分12分)
如图所示的空间几何体,平面ACD⊥平面ABC,AB=BC=CA=DA=DC=BE=2,BE和平面ABC所成的角为

.且点E在平面ABC上的射影落在

的平分线上。

(I)求证:DE//平面ABC;
(II)求二面角E—BC—A的余弦;
(III)求多面体ABCDE的体积。
题号:1182151
题型:解答题
难易度:一般
日期:2011-01-05
来源:2011届河南省开封市高三第一次模拟理科数学卷
【题文】本题满分12分)
某超市为促销商品,特举办“购物有奖100%中奖”活动,凡消费者在该超市购物满10元,可获得一次摇奖机会,购物满20元,可获得两次摇奖机会,以此类推,摇奖机结构如图,将一个半径适当的小球放入如图所示的容器最上方的入口处,小球将自由下落,小球在下落过程中,将3次遇到黑色障碍物,最后落入A袋或B袋中,落入A袋为一等奖,奖金2元,落入B袋为二等奖,奖金1元,已知小球每次遇到黑色障碍物时,向左、右两边下落的概率都是


(I)求摇奖两次均获得一等奖的概率;
(II)某消费者购物满20元,摇奖后所得奖金为X元,试求X的分布列与期望;
(III)若超市同时举行购物八八折让利于消费者活动(打折后不能再参加摇奖),某消费者刚好消费20元,请问他是选择摇奖还是选择打折比较划算。
题号:1182152
题型:解答题
难易度:一般
日期:2011-01-05
来源:2011届河南省开封市高三第一次模拟理科数学卷
【题文】(本题满分12分)如图:山顶上有一塔,为了测量塔高,测量人员在山脚下A点处测得塔底C的仰角为

,移动am后到达B点,又测得塔底C点的仰角为

,测得塔尖D点的仰角为

,求塔高CD
