适用年级:{{getGradeNameByProperty('高三|高考模拟|河南|2017年')}} 试卷类型:{{getTestPaperTypeName('高三|高考模拟|河南|2017年')}} 使用省份:{{getAreaName('高三|高考模拟|河南|2017年')}}
试卷年份:{{getYear('高三|高考模拟|河南|2017年')}}上传日期:2017-03-20题数:23
提示:单击题文可显示答案与解析。
题号:3435190
题型:选择题
难易度:困难
日期:2017-03-20
来源:【全国市级联考word】河南省焦作市2017届高三下学期第二次模拟考试数学(理)试题
题号:3435191
题型:选择题
难易度:较易
日期:2017-03-20
来源:【全国市级联考word】河南省焦作市2017届高三下学期第二次模拟考试数学(理)试题
【题文】某几何体的三视图如图所示,则该几何体的体积为( )

题号:3435192
题型:选择题
难易度:较易
日期:2017-03-20
来源:【全国市级联考word】河南省焦作市2017届高三下学期第二次模拟考试数学(理)试题
【题文】已知

为矩形

所在平面内一点,

,

,

,

,则

( )
题号:3435194
题型:选择题
难易度:一般
日期:2017-03-20
来源:【全国市级联考word】河南省焦作市2017届高三下学期第二次模拟考试数学(理)试题
【题文】已知

是抛物线

:

上一点,

是抛物线

的焦点,若

,

是抛物线

的准线与

轴的交点,则

( )
题号:3435195
题型:选择题
难易度:较易
日期:2017-03-20
来源:【全国市级联考word】河南省焦作市2017届高三下学期第二次模拟考试数学(理)试题
【题文】在

的展开式中,所有项的二项式系数之和为

,则其常数项为( )
题号:3435196
题型:选择题
难易度:较易
日期:2017-03-20
来源:【全国市级联考word】河南省焦作市2017届高三下学期第二次模拟考试数学(理)试题
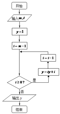
【题文】执行如图所示的程序框图,若输入

,

,则输出

( )

题号:3435197
题型:选择题
难易度:一般
日期:2017-03-20
来源:【全国市级联考word】河南省焦作市2017届高三下学期第二次模拟考试数学(理)试题
题号:3435198
题型:选择题
难易度:一般
日期:2017-03-20
来源:【全国市级联考word】河南省焦作市2017届高三下学期第二次模拟考试数学(理)试题
题号:3435199
题型:选择题
难易度:一般
日期:2017-03-20
来源:【全国市级联考word】河南省焦作市2017届高三下学期第二次模拟考试数学(理)试题
【题文】若

,则

( )
题号:3435200
题型:选择题
难易度:容易
日期:2017-03-20
来源:【全国市级联考word】河南省焦作市2017届高三下学期第二次模拟考试数学(理)试题
【题文】已知

是虚数单位,复数

满足

,则

的虚部是( )
题号:3435201
题型:选择题
难易度:较易
日期:2017-03-20
来源:【全国市级联考word】河南省焦作市2017届高三下学期第二次模拟考试数学(理)试题
【题文】设全集

,集合

,

,则图中的阴影部分表示的集合为( )

题号:4880715
题型:选择题
难易度:一般
日期:2017-09-03
来源:【全国市级联考word】河南省焦作市2017届高三下学期第二次模拟考试数学(理)试题
【题文】函数f(x)=|x|+

(其中a∈R)的图象不可能是
题号:3435186
题型:填空题
难易度:困难
日期:2017-03-20
来源:【全国市级联考word】河南省焦作市2017届高三下学期第二次模拟考试数学(理)试题
【题文】在

中,内角

的对边分别为

,且

.

的外接圆半径为1,

.若边

上一点

满足

,且

,则

的面积为__________.
题号:3435187
题型:填空题
难易度:较易
日期:2017-03-20
来源:【全国市级联考word】河南省焦作市2017届高三下学期第二次模拟考试数学(理)试题
【题文】《孙子算经》是我国古代内容极其丰富的数学名著,书中有如下问题:“今有圆窖,周五丈四尺,深一丈八尺,问受粟几何?”其意思为:“有圆柱形容器,底面圆周长五丈四尺,高一丈八尺,求此容器能装多少斛米.”则该圆柱形容器能装米__________斛.(古制1丈=10尺,1斛=1.62立方尺,圆周率

)
题号:3435188
题型:填空题
难易度:较易
日期:2017-03-20
来源:【全国市级联考word】河南省焦作市2017届高三下学期第二次模拟考试数学(理)试题
【题文】若实数

,

满足

则

的取值范围是__________.
题号:3435189
题型:填空题
难易度:较易
日期:2017-03-20
来源:【全国市级联考word】河南省焦作市2017届高三下学期第二次模拟考试数学(理)试题
【题文】双曲线

的一条渐近线与直线

平行,则此双曲线的离心率为__________.
题号:3435179
题型:解答题
难易度:一般
日期:2017-03-20
来源:【全国市级联考word】河南省焦作市2017届高三下学期第二次模拟考试数学(理)试题
【题文】选修4-5:不等式选讲
已知函数

(

).
(Ⅰ)若

,求不等式

的解集;
(Ⅱ)若方程

有三个实根,求实数

的取值范围.
题号:3435180
题型:解答题
难易度:一般
日期:2017-03-20
来源:【全国市级联考word】河南省焦作市2017届高三下学期第二次模拟考试数学(理)试题
【题文】选修4-4:坐标系与参数方程
在平面直角坐标系

中,直线

的参数方程为

(

为参数).以坐标原点为极点,

轴正半轴为极轴建立极坐标系,圆

的极坐标方程为

.
(1)判断直线

与圆

的交点个数;
(2)若圆

与直线

交于

两点,求线段

的长度.
题号:3435181
题型:解答题
难易度:困难
日期:2017-03-20
来源:【全国市级联考word】河南省焦作市2017届高三下学期第二次模拟考试数学(理)试题
【题文】已知函数

在点

处的切线方程为

.
(1)求

的值,并讨论

在

上的增减性;
(2)若

,且

,求证:

.
(参考公式

)
题号:3435182
题型:解答题
难易度:较难
日期:2017-03-20
来源:【全国市级联考word】河南省焦作市2017届高三下学期第二次模拟考试数学(理)试题
【题文】已知圆

:

过椭圆

:

(

)的短轴端点,

,

分别是圆

与椭圆

上任意两点,且线段

长度的最大值为3.
(Ⅰ)求椭圆

的方程;
(Ⅱ)过点

作圆

的一条切线交椭圆

于

,

两点,求

的面积的最大值.
题号:3435183
题型:解答题
难易度:容易
日期:2017-03-20
来源:【全国市级联考word】河南省焦作市2017届高三下学期第二次模拟考试数学(理)试题
【题文】在三棱柱

中,

,侧面

是边长为2的正方形,点

分别在线段

上,且

.

(1)证明:平面

平面

;
(2)若

,求直线

与平面

所成角的正弦值.
题号:3435184
题型:解答题
难易度:一般
日期:2017-03-20
来源:【全国市级联考word】河南省焦作市2017届高三下学期第二次模拟考试数学(理)试题
【题文】某市为了制定合理的节电方案,供电局对居民用电情况进行了调查,通过抽样,获得了某年200户居民每户的月均用电量(单位:度),将数据按照

,

分成9组,制成了如图所示的频率直方图.

(1)求直方图中

的值并估计居民月均用电量的中位数;
(2)从样本里月均用电量不低于700度的用户中随机抽取4户,用

表示月均用电量不低于800度的用户数,求随机变量

的分布列及数学期望.
题号:3435185
题型:解答题
难易度:一般
日期:2017-03-20
来源:【全国市级联考word】河南省焦作市2017届高三下学期第二次模拟考试数学(理)试题
【题文】已知数列

的前

项和为

,且满足

(

).
(Ⅰ)求数列

的通项公式;
(Ⅱ)若

,求数列

的前

项和

.