适用年级:{{getGradeNameByProperty('高三|高考模拟|河南|2015年')}} 试卷类型:{{getTestPaperTypeName('高三|高考模拟|河南|2015年')}} 使用省份:{{getAreaName('高三|高考模拟|河南|2015年')}}
试卷年份:{{getYear('高三|高考模拟|河南|2015年')}}上传日期:2015-05-11题数:24
提示:单击题文可显示答案与解析。
题号:840242
题型:选择题
难易度:较易
日期:2015-05-11
来源:2015届河南省郑州市高中毕业年级第二次质量预测理科数学试卷(带解析)
【题文】已知双曲线

的左、右焦点分别是F
l,F
2,过F
2的直线交双
曲线的右支于P,Q两点,若|PF
1|=|F
1F
2|,且3|PF
2|="2" |QF
2|,则该双曲线的离心率为
题号:840243
题型:选择题
难易度:困难
日期:2015-05-11
来源:2015届河南省郑州市高中毕业年级第二次质量预测理科数学试卷(带解析)
【题文】如图,矩形ABCD中,AB=2AD,E为边AB的中点,将△ADE沿直线DE翻折成△A
1DE.若M为线段A
1C的中点,则在△ADE翻折过程中,下面四个命题中不正确的是

| A.|BM|是定值 |
| B.点M在某个球面上运动 |
| C.存在某个位置,使DE⊥A1 C |
| D.存在某个位置,使MB//平面A1DE |
题号:840244
题型:选择题
难易度:一般
日期:2015-05-11
来源:2015届河南省郑州市高中毕业年级第二次质量预测理科数学试卷(带解析)
【题文】在△ABC中,角A,B,C所对的边分别是a,b,c,已知sin (B十A)+sin(B-A)=
3sin2A,且

,则△ABC的面积是( )
A.

B.

C.

D.

或

题号:840245
题型:选择题
难易度:较难
日期:2015-05-11
来源:2015届河南省郑州市高中毕业年级第二次质量预测理科数学试卷(带解析)
【题文】已知函数f(x)=

,函数g(x) =" f" (x)一2x恰有三个不同的零点,则实数a的取值范围是( )
| A.[一1,3) | B.〔-3,一1〕 | C.[-3,3) | D.[一1,1) |
题号:840246
题型:选择题
难易度:较易
日期:2015-05-11
来源:2015届河南省郑州市高中毕业年级第二次质量预测理科数学试卷(带解析)
【题文】如图所示是一个几何体的三视图,则这个几何体外接球的表面积为()

题号:840247
题型:选择题
难易度:较易
日期:2015-05-11
来源:2015届河南省郑州市高中毕业年级第二次质量预测理科数学试卷(带解析)
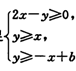
【题文】若实数x、y满足

,且x=2x+y的最小值为4,则实数b的值为( )
| A.1 | B.2 | C. | D.3 |
题号:840248
题型:选择题
难易度:较易
日期:2015-05-11
来源:2015届河南省郑州市高中毕业年级第二次质量预测理科数学试卷(带解析)
【题文】6.有四个关于三角函数的命题:

:sinx="siny" =>x+y=

或x=y,



其中真命题是( )
| A.p1,p3 | B.p2,p3 | C.p1,p4 | D.p2,p4 |
题号:840249
题型:选择题
难易度:一般
日期:2015-05-11
来源:2015届河南省郑州市高中毕业年级第二次质量预测理科数学试卷(带解析)
【题文】如图y=" f" (x)是可导函数,直线

: y=kx+2是曲线y=f(x)在x=3处的切线,令g(x)=xf(x),g

(x)是g(x)的导函数,则g

(3)=( )

题号:840250
题型:选择题
难易度:较易
日期:2015-05-11
来源:2015届河南省郑州市高中毕业年级第二次质量预测理科数学试卷(带解析)
【题文】某校开设A类选修课2门,B类选修课3门,一位同学从中选3门.若要求两类课程中各至少选一门,则不同的选法共有( )
题号:840251
题型:选择题
难易度:容易
日期:2015-05-11
来源:2015届河南省郑州市高中毕业年级第二次质量预测理科数学试卷(带解析)
【题文】已知甲、乙两组数据如茎叶图所示,若它们的中位数相同,平均数也相同,则图中的m,n的比值

=()

题号:840272
题型:选择题
难易度:容易
日期:2015-05-11
来源:2015届河南省郑州市高中毕业年级第二次质量预测理科数学试卷(带解析)
【题文】集合U={0,1,2,3,4},A={1,2},B={x

Z}x
2一5x+4<0},则C
u(AUB)=( )
A.{ 0,1,3,4} B.{1,2,3} C.{0,4} D.{ 0}
题号:840273
题型:选择题
难易度:较易
日期:2015-05-11
来源:2015届河南省郑州市高中毕业年级第二次质量预测理科数学试卷(带解析)
【题文】设i是虚数单位,复数

,则|z|=( )
| A.1 | B. | C. | D.2 |
题号:840238
题型:填空题
难易度:较易
日期:2015-05-11
来源:2015届河南省郑州市高中毕业年级第二次质量预测理科数学试卷(带解析)
题号:840239
题型:填空题
难易度:较易
日期:2015-05-11
来源:2015届河南省郑州市高中毕业年级第二次质量预测理科数学试卷(带解析)
【题文】执行如图所示的程序框图,输出的S值是
.

题号:840240
题型:填空题
难易度:较易
日期:2015-05-11
来源:2015届河南省郑州市高中毕业年级第二次质量预测理科数学试卷(带解析)
【题文】已知实数m是2和8的等比中项,则抛物线y=mx2的焦点坐标为 .
题号:840241
题型:填空题
难易度:容易
日期:2015-05-11
来源:2015届河南省郑州市高中毕业年级第二次质量预测理科数学试卷(带解析)
【题文】已知点

,则向量

在

方向上的投影为_________.
题号:840211
题型:解答题
难易度:一般
日期:2015-05-11
来源:2015届河南省郑州市高中毕业年级第二次质量预测理科数学试卷(带解析)
【题文】(本小题满分10分)选修4-5:不等式选讲
已知函数f(x)=|3x+2|
(Ⅰ)解不等式

,
(Ⅱ)已知m+n=1(m,n>0),若

恒成立,求实数a的取
值范围.
题号:840232
题型:解答题
难易度:较难
日期:2015-05-11
来源:2015届河南省郑州市高中毕业年级第二次质量预测理科数学试卷(带解析)
【题文】(本小题满分10分)选修4-1:几何证明选讲
如图,已知圆O是△ABC的外接圆,AB=BC,AD是BC边上的高,AE是圆O的直径.过点C作圆O的切线交BA的延长线于点F.

(Ⅰ)求证:AC·BC="AD·AE;"
(Ⅱ)若AF="2," CF=2

,求AE的长
题号:840233
题型:解答题
难易度:一般
日期:2015-05-11
来源:2015届河南省郑州市高中毕业年级第二次质量预测理科数学试卷(带解析)
【题文】(本小题满分12分)
已知函数f(x)=ax+ln(x-1),其中a为常数.
(Ⅰ)试讨论f (x)的单调区间,
(Ⅱ)若

时,存在x使得不等式



成立,求b的取值范围.
题号:840234
题型:解答题
难易度:一般
日期:2015-05-11
来源:2015届河南省郑州市高中毕业年级第二次质量预测理科数学试卷(带解析)
【题文】(本小题满分12分)设椭圆C:

,F
1,F
2为左、右焦点,B为短轴端点,且S
△BF1F2=4,离心率为

,O为坐标原点.
(Ⅰ)求椭圆C的方程,
(Ⅱ)是否存在圆心在原点的圆,使得该圆的任意一条切线与椭圆C恒有两个交点M,N,且满足

?若存在,求出该圆的方程,若不存在,说明理由.
题号:840235
题型:解答题
难易度:一般
日期:2015-05-11
来源:2015届河南省郑州市高中毕业年级第二次质量预测理科数学试卷(带解析)
【题文】(本小题满分12分)某商场每天(开始营业时)以每件150元的价格购人A商品若千件(A商品在商场的保鲜时间为10小时,该商场的营业时间也恰好为10小时),并开始以每件300元的价格出售,若前6小时内所购进的商品没有售完,则商场对没卖出的A商品将以每件100元的价格低价处理完毕(根据经验,4小时内完全能够把A商品低价处理完毕,且处理完毕后,当天不再购进A商品).该商场统计了100天A商品在每天的前6小时内的销售量,制成如下表格(注:视频率为概率).(其中x+y=70)

(Ⅰ)若某天该商场共购人6件该商品,在前6个小时中售出4件.若这些产品被6名
不同的顾客购买,现从这6名顾客中随机选2人进行服务回访,则恰好一个是以300元价格
购买的顾客,另一个以100元价格购买的顾客的概率是多少?
(Ⅱ)若商场每天在购进5件A商品时所获得的平均利润最大,求x的取值范围.
题号:840236
题型:解答题
难易度:一般
日期:2015-05-11
来源:2015届河南省郑州市高中毕业年级第二次质量预测理科数学试卷(带解析)
【题文】(本小题满分12分)如图,在三棱柱ABC-A
1B
1C
1中,四边形AA
1C
1C是边长为2的菱形,平面ABC ⊥平面AA
1 C
1C, ∠A
1AC=60
0, ∠BCA=90
0.

(Ⅰ)求证:A
1B⊥AC
1(Ⅱ)已知点E是AB的中点,BC=AC,求直线EC
1与平面平ABB
1A
1所成的角的正弦值。
题号:840237
题型:解答题
难易度:一般
日期:2015-05-11
来源:2015届河南省郑州市高中毕业年级第二次质量预测理科数学试卷(带解析)
【题文】(本小题满分12分)已知等差数列{

}的各项均为正数,

=1,且

成等比数列.
(Ⅰ)求

的通项公式,
(Ⅱ)设

,求数列{

}的前n项和T
n.
题号:4182679
题型:解答题
难易度:一般
日期:2015-05-11
来源:2015届河南省郑州市高中毕业年级第二次质量预测理科数学试卷(带解析)
【题文】(本小题满分10分)选修4-4:坐标系与参数方程
在直角坐标系xOy中,曲线M的参数方程为

(

为参数),
若以直角坐标系中的原点O为极点,x轴的正半轴为极轴建立极坐标系,曲线N的极坐标
方程为

(t为参数).
(Ⅰ)求曲线M和N的直角坐标方程,
(Ⅱ)若曲线N与曲线M有公共点,求t的取值范围.