适用年级:{{getGradeNameByProperty('高三|高考模拟|山东|2014年')}} 试卷类型:{{getTestPaperTypeName('高三|高考模拟|山东|2014年')}} 使用省份:{{getAreaName('高三|高考模拟|山东|2014年')}}
试卷年份:{{getYear('高三|高考模拟|山东|2014年')}}上传日期:2014-04-25题数:21
提示:单击题文可显示答案与解析。
题号:929329
题型:选择题
难易度:一般
日期:2014-04-25
来源:2014届山东省日照市高三3月第一次模拟考试理科数学试卷(带解析)
【题文】已知三点

,且

,则动点P到点C的距离小于

的概率为( )
题号:929330
题型:选择题
难易度:较易
日期:2014-04-25
来源:2014届山东省日照市高三3月第一次模拟考试理科数学试卷(带解析)
【题文】从8名女生和4名男生中,抽取3名学生参加某档电视节目,如果按性别比例分层抽样,则不同的抽取方法数为( )
题号:929331
题型:选择题
难易度:较易
日期:2014-04-25
来源:2014届山东省日照市高三3月第一次模拟考试理科数学试卷(带解析)
【题文】若

的弦AB的中点,则直线AB的方程是( )
题号:929372
题型:选择题
难易度:较易
日期:2014-04-25
来源:2014届山东省日照市高三3月第一次模拟考试理科数学试卷(带解析)
【题文】“

”是“

”的( )
| A.充分不必要条件 | B.必要不充分条件 |
| C.充要条件 | D.既不充分也不必要条件 |
题号:929373
题型:选择题
难易度:较易
日期:2014-04-25
来源:2014届山东省日照市高三3月第一次模拟考试理科数学试卷(带解析)
【题文】函数

的图象的一条对称轴的方程是( )
题号:929374
题型:选择题
难易度:一般
日期:2014-04-25
来源:2014届山东省日照市高三3月第一次模拟考试理科数学试卷(带解析)
题号:929375
题型:选择题
难易度:较易
日期:2014-04-25
来源:2014届山东省日照市高三3月第一次模拟考试理科数学试卷(带解析)
【题文】复数

( )
题号:929376
题型:选择题
难易度:一般
日期:2014-04-25
来源:2014届山东省日照市高三3月第一次模拟考试理科数学试卷(带解析)
【题文】已知集合

(e为自然对数的底数)

( )
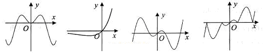
题号:3489319
题型:选择题
难易度:较难
日期:2014-05-04
来源:2014届山东省日照市高三3月第一次模拟考试理科数学试卷(带解析)
【题文】现有四个函数①

②

,③

,④

的部分图象如下,但顺序被打乱,则按照图象从左到右的顺序,对应的函数序号正确的一组是( )

| A.①④②③ | B.①④③② | C.④①②③ | D.③④②① |
题号:3489320
题型:选择题
难易度:较难
日期:2014-04-30
来源:2014届山东省日照市高三3月第一次模拟考试理科数学试卷(带解析)
【题文】已知定义在R上的函数

满足:

,

,则方程

在区间

上的所有实根之和为( )
题号:929324
题型:填空题
难易度:较难
日期:2014-04-25
来源:2014届山东省日照市高三3月第一次模拟考试理科数学试卷(带解析)
【题文】若关于x的不等式(组)

恒成立,则所有这样的解x构成的集合是____________.
题号:929325
题型:填空题
难易度:较难
日期:2014-04-25
来源:2014届山东省日照市高三3月第一次模拟考试理科数学试卷(带解析)
【题文】已知双曲正弦函数

和双曲作弦函数

与我们学过的正弦函数和余弦函数有许多类似的性质,请类比正弦函数和余弦函数的和角或差角公式,写出双曲正弦或双曲余弦函数的一个类似的正确结论______________.
题号:929326
题型:填空题
难易度:一般
日期:2014-04-25
来源:2014届山东省日照市高三3月第一次模拟考试理科数学试卷(带解析)
【题文】若双曲线

的实轴长、虚轴长、焦距成等差数列,则双曲线的离心率为__________.
题号:929327
题型:填空题
难易度:较易
日期:2014-04-25
来源:2014届山东省日照市高三3月第一次模拟考试理科数学试卷(带解析)
【题文】执行右面的框图,若输出p的值是24,则输入的正整数N应为________.

题号:929328
题型:填空题
难易度:一般
日期:2014-04-25
来源:2014届山东省日照市高三3月第一次模拟考试理科数学试卷(带解析)
【题文】若

展开式中的第5项为常数,则n等于__________.
题号:929319
题型:解答题
难易度:困难
日期:2014-04-25
来源:2014届山东省日照市高三3月第一次模拟考试理科数学试卷(带解析)
【题文】已知函数

..
(1)设曲线

处的切线为

,点(1,0)到直线l的距离为

,求a的值;
(2)若对于任意实数

恒成立,试确定

的取值范围;
(3)当

是否存在实数

处的切线与y轴垂直?若存在,求出

的值;若不存在,请说明理由.
题号:929320
题型:解答题
难易度:较难
日期:2014-04-25
来源:2014届山东省日照市高三3月第一次模拟考试理科数学试卷(带解析)
【题文】已知数列

是首项为

,公比

的等比数列,设

.

(1)求证数列

的前n项和

;
(2)若

对一切正整数n恒成立,求实数m的取值范围.
题号:929321
题型:解答题
难易度:较难
日期:2014-04-25
来源:2014届山东省日照市高三3月第一次模拟考试理科数学试卷(带解析)
【题文】如图,等腰梯形ABCD,AD//BC,P是平面ABCD外一点,P在平面ABCD的射影O恰在AD上,

.

(1)证明:

;
(2)求二面角A-BP-D的余弦值.
题号:929322
题型:解答题
难易度:一般
日期:2014-04-25
来源:2014届山东省日照市高三3月第一次模拟考试理科数学试卷(带解析)
【题文】寒假期间,我市某校学生会组织部分同学,用“10分制”随机调查“阳光花园”社区人们的幸福度,现从调查人群中随机抽取16名,如果所示的茎叶图记录了他们的幸福度分数(以小数点前的一位数字为茎,小数点后的一位数字为叶);若幸福度分数不低于8.5分,则该人的幸福度为“幸福”.

(1)求从这16人中随机选取3人,至少有2人为“幸福”的概率;
(2)以这16人的样本数据来估计整个社区的总体数据,若从该社区(人数很多)任选3人,记

表示抽到“幸福”的人数,求

的分布列及数学期望.
题号:929323
题型:解答题
难易度:较易
日期:2014-04-25
来源:2014届山东省日照市高三3月第一次模拟考试理科数学试卷(带解析)
【题文】已知函数

.
(1)求函数

的最小正周期;
(2)在

中,若

的值.
题号:3489321
题型:解答题
难易度:较难
日期:2014-05-04
来源:2014届山东省日照市高三3月第一次模拟考试理科数学试卷(带解析)
【题文】椭圆

的方程为

,离心率为

,且短轴一端点和两焦点构成的三角形面积为1,抛物线

的方程为

,抛物线的焦点F与椭圆的一个顶点重合.
(1)求椭圆

和抛物线

的方程;
(2)过点F的直线交抛物线

于不同两点A,B,交y轴于点N,已知

的值.
(3)直线

交椭圆

于不同两点P,Q,P,Q在x轴上的射影分别为P′,Q′,满足

(O为原点),若点S满足

,判定点S是否在椭圆

上,并说明理由.