适用年级:{{getGradeNameByProperty('高三|高考模拟|陕西|2012年')}} 试卷类型:{{getTestPaperTypeName('高三|高考模拟|陕西|2012年')}} 使用省份:{{getAreaName('高三|高考模拟|陕西|2012年')}}
试卷年份:{{getYear('高三|高考模拟|陕西|2012年')}}上传日期:2012-04-26题数:23
提示:单击题文可显示答案与解析。
题号:1086216
题型:选择题
难易度:较易
日期:2012-04-26
来源:2012届陕西省五校高三第三次联考理科数学(带解析)
【题文】已知点

、

,

是直线

上任意一点,以A、B为焦点的椭圆过点P.记椭圆离心率

关于

的函数为

,那么下列结论正确的是 ( )
A.

与

一一对应 B.函数

无最小值,有最大值
C.函数

是增函数 D.函数

有最小值,无最大值
题号:1086217
题型:选择题
难易度:较易
日期:2012-04-26
来源:2012届陕西省五校高三第三次联考理科数学(带解析)
题号:1086218
题型:选择题
难易度:容易
日期:2012-04-26
来源:2012届陕西省五校高三第三次联考理科数学(带解析)
【题文】已知函数

若存在

,则实数

的取值范围为( )
题号:1086219
题型:选择题
难易度:容易
日期:2012-04-26
来源:2012届陕西省五校高三第三次联考理科数学(带解析)
【题文】已知集合

,集合

集合A与B的关系是( )
题号:1086220
题型:选择题
难易度:较易
日期:2012-04-26
来源:2012届陕西省五校高三第三次联考理科数学(带解析)
【题文】在数列

中,

(

为虚数单位),


,则

的值为( )
题号:1086221
题型:选择题
难易度:容易
日期:2012-04-26
来源:2012届陕西省五校高三第三次联考理科数学(带解析)
【题文】已知

.若

是

的充分不必要条件,则实数

的取值范围是( )
题号:1086222
题型:选择题
难易度:容易
日期:2012-04-26
来源:2012届陕西省五校高三第三次联考理科数学(带解析)
【题文】已知

与

之间的几组数据如下表:
则

与

的线性回归方程

必过( )
A.

B.

C.

D.

题号:1086223
题型:选择题
难易度:容易
日期:2012-04-26
来源:2012届陕西省五校高三第三次联考理科数学(带解析)
【题文】命题“存在

”的否定是( )
题号:4198506
题型:选择题
难易度:较易
日期:2012-12-11
来源:2012届陕西省五校高三第三次联考理科数学(带解析)
【题文】函数

,则此函数图像在点

处的切线的倾斜角为 ( )
题号:4198507
题型:选择题
难易度:较易
日期:2012-05-23
来源:2012届陕西省五校高三第三次联考理科数学(带解析)
【题文】若变量

满足约束条件

,

,则

取最小值时,

二项展开式中的常数项为( )
题号:1086212
题型:填空题
难易度:较易
日期:2012-04-26
来源:2012届陕西省五校高三第三次联考理科数学(带解析)
题号:1086213
题型:填空题
难易度:较易
日期:2012-04-26
来源:2012届陕西省五校高三第三次联考理科数学(带解析)
【题文】圆

(

为参数)的极坐标方程为
.
题号:1086214
题型:填空题
难易度:容易
日期:2012-04-26
来源:2012届陕西省五校高三第三次联考理科数学(带解析)
【题文】如图,一个三棱锥的三视图的轮廓都是边长为1的正方形,则此三棱锥外接球的表面积
.

题号:1086215
题型:填空题
难易度:较难
日期:2012-04-26
来源:2012届陕西省五校高三第三次联考理科数学(带解析)
【题文】观察下列式子:

,


,


,由此可归纳出的一般结论是
.
题号:4198508
题型:填空题
难易度:较易
日期:2012-05-23
来源:2012届陕西省五校高三第三次联考理科数学(带解析)
【题文】阅读右面的程序,当分别输入

时,输出的值
.

题号:4198509
题型:填空题
难易度:容易
日期:2012-09-03
来源:2012届陕西省五校高三第三次联考理科数学(带解析)
【题文】一质点受到平面上的三个力

(单位:牛顿)的作用而处于平衡状态.已知

成

角,且

大小为2和4,则

的大小为
.
题号:4198510
题型:填空题
难易度:较易
日期:2012-07-19
来源:2012届陕西省五校高三第三次联考理科数学(带解析)
题号:1086188
题型:解答题
难易度:较易
日期:2012-04-26
来源:2012届陕西省五校高三第三次联考理科数学(带解析)
【题文】如图,在四棱锥

中,底面

为平行四边形,

底面

,

,

,

,

,E在棱

上, (Ⅰ) 当

时,求证:

平面

; (Ⅱ) 当二面角

的大小为

时,求直线

与平面

所成角的正弦值.

题号:1086189
题型:解答题
难易度:容易
日期:2012-04-26
来源:2012届陕西省五校高三第三次联考理科数学(带解析)
【题文】“剪刀、石头、布”游戏的规则是:出拳之前双方齐喊口令,然后在话音刚落时同时出拳,握紧的拳头代表“石头”,食指和中指伸出代表“剪刀”,五指伸开代表“布”.“石头”胜“剪刀”, “剪刀”胜“布”,而“布”又胜“石头”,如果所出的拳相同,则为和局.现甲乙二人通过“剪刀、石头、布”游戏进行比赛.
(Ⅰ) 设甲乙二人每局都随机出“剪刀”、“石头”、“布”中的某一个,求甲胜乙的概率;
(Ⅱ)据专家分析,乙有以下的出拳习惯:① 第一局不出“剪刀”;② 连续两局的出拳方法一定不一样,即如果本局出“剪刀”,则下局将不再出“剪刀”,而是选“石头”、“布”中的某一个.假设专家的分析是正确的,甲根据专家的分析出拳,保证每一局都不输给乙.在最多5局的比赛中,谁胜的局数多,谁获胜.游戏结束的条件是:一方胜3局或赛满5局,用X表示游戏结束时的游戏局数,求X的分布列和期望.
题号:1086210
题型:解答题
难易度:较易
日期:2012-04-26
来源:2012届陕西省五校高三第三次联考理科数学(带解析)
【题文】如图,已知

的半径是1,点
C在直径
AB的延长线上,

, 点
P是

上半圆上的动点, 以

为边作等边三角形

,且点
D与圆心分别在

的两侧.
(Ⅰ) 若

,试将四边形

的面积

表示成

的函数;
(Ⅱ) 求四边形

的面积的最大值.

题号:1086211
题型:解答题
难易度:较易
日期:2012-04-26
来源:2012届陕西省五校高三第三次联考理科数学(带解析)
【题文】已知四个正实数前三个数成等差数列,后三个数成等比数列,第一个与第三个的和为8,第二个与第四个的积为36.
(Ⅰ) 求此四数;
(Ⅱ)若前三数为等差数列

的前三项,后三数为等比数列

的前三项,令

,求数列

的前

项和

.
题号:4198511
题型:解答题
难易度:较易
日期:2012-05-23
来源:2012届陕西省五校高三第三次联考理科数学(带解析)
【题文】设动点

到定点

的距离比到

轴的距离大

.记点

的轨迹为曲线C.
(Ⅰ)求点

的轨迹方程;
(Ⅱ)设圆
M过

,且圆心
M在
P的轨迹上,

是圆
M 在

轴的截得的弦,当
M 运动时弦长

是否为定值?说明理由;
(Ⅲ)过

作互相垂直的两直线交曲线
C于
G、H、R、S,求四边形面

的最小值.
题号:4198512
题型:解答题
难易度:容易
日期:2012-05-23
来源:2012届陕西省五校高三第三次联考理科数学(带解析)
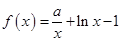
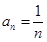
【题文】已知

,函数

(其中

为自然对数的底数).
(Ⅰ)求函数

在区间

上的最小值;
(Ⅱ)设数列

的通项

,

是前

项和,证明:

.