适用年级:{{getGradeNameByProperty('高三|高考模拟|陕西|2012年')}} 试卷类型:{{getTestPaperTypeName('高三|高考模拟|陕西|2012年')}} 使用省份:{{getAreaName('高三|高考模拟|陕西|2012年')}}
试卷年份:{{getYear('高三|高考模拟|陕西|2012年')}}上传日期:2012-08-22题数:23
提示:单击题文可显示答案与解析。
题号:1063627
题型:选择题
难易度:较易
日期:2012-08-22
来源:2012届陕西省宝鸡中学高三适应性考试理科数学试卷(带解析)
【题文】已知函

[-1,0]上有解的概概率为
题号:1063628
题型:选择题
难易度:较易
日期:2012-08-22
来源:2012届陕西省宝鸡中学高三适应性考试理科数学试卷(带解析)
题号:1063629
题型:选择题
难易度:较易
日期:2012-08-22
来源:2012届陕西省宝鸡中学高三适应性考试理科数学试卷(带解析)
【题文】在 △ABC中,

=
题号:1063630
题型:选择题
难易度:容易
日期:2012-08-22
来源:2012届陕西省宝鸡中学高三适应性考试理科数学试卷(带解析)
【题文】

=
题号:1063631
题型:选择题
难易度:较易
日期:2012-08-22
来源:2012届陕西省宝鸡中学高三适应性考试理科数学试卷(带解析)
【题文】已知集合M={y|y=x
2},N={y|y=x},则M∩N=
A. | B. | C.[0,1] | D.(0,1) |
题号:4196052
题型:选择题
难易度:容易
日期:2012-08-27
来源:2012届陕西省宝鸡中学高三适应性考试理科数学试卷(带解析)
【题文】i是虚数单位,若(3+i)(2+i)=a+bi(

),则a—b 的值是
题号:4196053
题型:选择题
难易度:容易
日期:2012-08-27
来源:2012届陕西省宝鸡中学高三适应性考试理科数学试卷(带解析)
【题文】设正项等差数列

的前n项和为

则S
5等于
题号:4196054
题型:选择题
难易度:较易
日期:2012-08-27
来源:2012届陕西省宝鸡中学高三适应性考试理科数学试卷(带解析)
【题文】如图所示,为一个几何体的主视图与左3视图,则此几何体的体积为

题号:4196055
题型:选择题
难易度:容易
日期:2012-08-27
来源:2012届陕西省宝鸡中学高三适应性考试理科数学试卷(带解析)
【题文】α,β,γ为不同的平面,m,n,l为不同的直线,则m⊥β的一个充分条件是
题号:4196056
题型:选择题
难易度:较易
日期:2012-08-27
来源:2012届陕西省宝鸡中学高三适应性考试理科数学试卷(带解析)
【题文】已知抛物线y
2=2px(p>0)上一点M(2,m)(m>0)到其焦点的距离为 4,则实数m的值是
A. | B.2 | C.4 | D.16 |
题号:1063623
题型:填空题
难易度:容易
日期:2012-08-22
来源:2012届陕西省宝鸡中学高三适应性考试理科数学试卷(带解析)
【题文】(不等式选讲选做题)若

恒成立,
则m的取值范围为
。
题号:1063624
题型:填空题
难易度:容易
日期:2012-08-22
来源:2012届陕西省宝鸡中学高三适应性考试理科数学试卷(带解析)
【题文】(坐标系与参数方程选做题)曲线

相交于A, B两点,则直线AB的方程为
题号:1063625
题型:填空题
难易度:容易
日期:2012-08-22
来源:2012届陕西省宝鸡中学高三适应性考试理科数学试卷(带解析)
【题文】假设我们要考察某公司生产的500克袋装牛奶的质量是否达标,现从800袋牛奶中抽取60袋进行检验,利用随机数表抽取样本,若规定:选取数据时,每行从左向右,如果数据个数不足,再转入下一行读数。如选出第8行第7列的数7,从选定的数7开始向右读,按照这种方法继续向右读,依次下去(下表为课本随机数表附表1的第6行至第 10行)

那么取出的前五个样本的编号是
题号:1063626
题型:填空题
难易度:容易
日期:2012-08-22
来源:2012届陕西省宝鸡中学高三适应性考试理科数学试卷(带解析)
【题文】

的二项展开式中的第四项的系数为
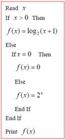
题号:4196057
题型:填空题
难易度:较易
日期:2012-08-27
来源:2012届陕西省宝鸡中学高三适应性考试理科数学试卷(带解析)
【题文】如右图表示一个算法,当输入值

时,输出值f(x) 为______。

题号:4196058
题型:填空题
难易度:容易
日期:2013-06-13
来源:2012届陕西省宝鸡中学高三适应性考试理科数学试卷(带解析)
【题文】有下列各式:

,

……
则按此规律可猜想此类不等式的一般形式为:__ _______________________.
题号:4196059
题型:填空题
难易度:一般
日期:2012-08-27
来源:2012届陕西省宝鸡中学高三适应性考试理科数学试卷(带解析)
【题文】(几何证明选做题)如图,圆O是△ABC的外接圆,过点C的切线交AB的延长线于点 D,CD=

,AB="BC=4," 则AC的长为

题号:1063619
题型:解答题
难易度:容易
日期:2012-08-22
来源:2012届陕西省宝鸡中学高三适应性考试理科数学试卷(带解析)
【题文】

(1)若函数 f(x)与 g(x)的图像在 x=x
0处的切线平行,求x
0的值
(2)当曲线

有公共切线时,求函数

上的最值
(3)求证:当m>-2时,对一切正整数n,不等式f(x)> g(x)在区间 [n,n+1]上恒成立
题号:1063620
题型:解答题
难易度:较易
日期:2012-08-22
来源:2012届陕西省宝鸡中学高三适应性考试理科数学试卷(带解析)
【题文】5名工人独立地工作,假定每名工人在1小时内平均12分钟需要电力(即任一时刻需要电力的概率为12/60)
(1)设X为某一时刻需要电力的工人数,求 X的分布列及期望;
(2)如果同一时刻最多能提供3名工人需要的电力,求电力超负荷的概率,并解释实际意义.
题号:1063621
题型:解答题
难易度:容易
日期:2012-08-22
来源:2012届陕西省宝鸡中学高三适应性考试理科数学试卷(带解析)
【题文】已知等比数列{an}的首项为a,公比为 q,其前n项和为Sn用a和q表示Sn,并证明你的结论.
题号:1063622
题型:解答题
难易度:容易
日期:2012-08-22
来源:2012届陕西省宝鸡中学高三适应性考试理科数学试卷(带解析)
【题文】如图所示,多面体EF﹣ABCD中,底面ABCD为等腰梯形,AB∥CD,四边形ACFE为矩形,且平面ACFE⊥平面ABCD,AD=DC=BC=CF=1,AC⊥BC,∠ADC=120°
(1)求证:BC⊥AF
(2)求平面BDF与平面CDF所成夹角的余弦值.

题号:4196060
题型:解答题
难易度:较易
日期:2012-08-27
来源:2012届陕西省宝鸡中学高三适应性考试理科数学试卷(带解析)
【题文】已知向量m=(cosx,sinx),n=(cosx,cosx)(x∈R),设函数f(x)=m·n
(1)求 f(x)的解析式,并求最小正周期.
(2)若函数 g(x)的图像是由函数 f(x)的图像向右平移

个单位得到的,求g(x)的最大值及使g(x)取得最大值时x的值.
题号:4196061
题型:解答题
难易度:较易
日期:2012-08-27
来源:2012届陕西省宝鸡中学高三适应性考试理科数学试卷(带解析)
【题文】若椭圆C:

上有一动点P,P到椭圆C的两焦点 F
1,F
2的距离之和等于2

,△PF
1F
2s的面积最大值为1
(I)求椭圆的方程
(II)若过点M(2,0)的直线l与椭圆C交于不同两点A、B,

(O为坐标原点)且

| ,求实数t的取值范围.