适用年级:{{getGradeNameByProperty('高三|高考模拟|陕西|2015年')}} 试卷类型:{{getTestPaperTypeName('高三|高考模拟|陕西|2015年')}} 使用省份:{{getAreaName('高三|高考模拟|陕西|2015年')}}
试卷年份:{{getYear('高三|高考模拟|陕西|2015年')}}上传日期:2015-06-29题数:22
提示:单击题文可显示答案与解析。
题号:830234
题型:选择题
难易度:较易
日期:2015-06-29
来源:【百强校】2015届陕西省西安市高新一中高三5月模拟考试文科数学试卷(带解析)
题号:830235
题型:选择题
难易度:容易
日期:2015-06-29
来源:【百强校】2015届陕西省西安市高新一中高三5月模拟考试文科数学试卷(带解析)
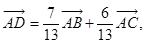
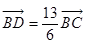
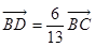
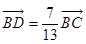
【题文】已知D是

ABC所在平面内一点,

则( )
题号:830236
题型:选择题
难易度:较易
日期:2015-06-29
来源:【百强校】2015届陕西省西安市高新一中高三5月模拟考试文科数学试卷(带解析)
【题文】若一个底面是正三角形的三棱柱的正视图如图所示,其顶点都在一个球面上,则该球的表面积为( )

题号:830237
题型:选择题
难易度:一般
日期:2015-06-29
来源:【百强校】2015届陕西省西安市高新一中高三5月模拟考试文科数学试卷(带解析)
【题文】将

图像按向量

平移,则平移后所得函数的周期及图象
的一个对称中心分别为( )
题号:830238
题型:选择题
难易度:一般
日期:2015-06-29
来源:【百强校】2015届陕西省西安市高新一中高三5月模拟考试文科数学试卷(带解析)
【题文】已知等比数列{

}中,各项都是正数,且

,

成等差数列,则

题号:830239
题型:选择题
难易度:一般
日期:2015-06-29
来源:【百强校】2015届陕西省西安市高新一中高三5月模拟考试文科数学试卷(带解析)
【题文】已知圆

的圆心为抛物线

的焦点,且与直线

相切,则该圆的方程为
题号:830240
题型:选择题
难易度:较易
日期:2015-06-29
来源:【百强校】2015届陕西省西安市高新一中高三5月模拟考试文科数学试卷(带解析)
【题文】有一段演绎推理是这样的:“直线平行于平面,则平行于平面内所有直线:已知直线

,直线

,直线b∥平面α,则b∥a”的结论显然是错误的,这是因为
| A.大前提错误 | B.小前提错误 |
| C.推理形式错误 | D.非以上错误 |
题号:830241
题型:选择题
难易度:较易
日期:2015-06-29
来源:【百强校】2015届陕西省西安市高新一中高三5月模拟考试文科数学试卷(带解析)
【题文】下面四个条件中,使

成立的充分不必要条件是( )
题号:830242
题型:选择题
难易度:一般
日期:2015-06-29
来源:【百强校】2015届陕西省西安市高新一中高三5月模拟考试文科数学试卷(带解析)
题号:830243
题型:选择题
难易度:较易
日期:2015-06-29
来源:【百强校】2015届陕西省西安市高新一中高三5月模拟考试文科数学试卷(带解析)
【题文】i 是虚数单位,复数

= ( )
| A.2-i | B.2+i | C.-1 -2i | D.-1+2i |
题号:830208
题型:填空题
难易度:一般
日期:2015-06-29
来源:【百强校】2015届陕西省西安市高新一中高三5月模拟考试文科数学试卷(带解析)
【题文】(几何证明选讲)如图,过点

作圆

的割线

与切线

,

为切点,连接

,

的平分线与

分别交于点

,若

,则
.

题号:830209
题型:填空题
难易度:一般
日期:2015-06-29
来源:【百强校】2015届陕西省西安市高新一中高三5月模拟考试文科数学试卷(带解析)
【题文】(极坐标与参数方程选讲)直角坐标系xOy中,圆C的参数方程是

为参数),以原点为极点,x轴的正半轴为极轴建立坐标系,则圆心C的极坐标是
.
题号:830210
题型:填空题
难易度:一般
日期:2015-06-29
来源:【百强校】2015届陕西省西安市高新一中高三5月模拟考试文科数学试卷(带解析)
【题文】(不等式选讲)已知函数

的定义域为R,则实数

的取值范围是
.
题号:830211
题型:填空题
难易度:一般
日期:2015-06-29
来源:【百强校】2015届陕西省西安市高新一中高三5月模拟考试文科数学试卷(带解析)
【题文】若对于函数

,现给出四个命题:
①b=0时,

为奇函数;
②y=

的图像关于(o,b)对称;
③b=-1时,方程

=0有且只有一个实数根;
④b=-1时,不等式

>0的解集为空集.
其中正确的命题是
.(写出所有正确命题的编号)
题号:830232
题型:填空题
难易度:较易
日期:2015-06-29
来源:【百强校】2015届陕西省西安市高新一中高三5月模拟考试文科数学试卷(带解析)
【题文】设变量

满足约束条件:

,则目标函数

的最小值为
.
题号:830233
题型:填空题
难易度:容易
日期:2015-06-29
来源:【百强校】2015届陕西省西安市高新一中高三5月模拟考试文科数学试卷(带解析)
【题文】课题组进行城市空气质量调查,按地域把24个城市分成甲、乙、丙三组,对应的城市的个数分别为

、

、

.若用分层抽样的方法抽取

个城市,则乙组中应抽取的城市数为
.
题号:830202
题型:解答题
难易度:困难
日期:2015-06-29
来源:【百强校】2015届陕西省西安市高新一中高三5月模拟考试文科数学试卷(带解析)
【题文】(本题满分13分)已知中心在原点,焦点在坐标轴上的椭圆

的方程为

它的离心率为

,一个焦点是

,过直线

上一点引椭圆

的两条切线,切点分别是A、B.
(Ⅰ)求椭圆

的方程;
(Ⅱ)若在椭圆


上的点

处的切线方程是

.求证:直线AB恒过定点,并求出定点的坐标;
(Ⅲ)记点C为(Ⅱ)中直线AB恒过的定点,问否存在实数

,使得

成立,若成立求出

的值,若不存在,请说明理由
题号:830203
题型:解答题
难易度:较难
日期:2015-06-29
来源:【百强校】2015届陕西省西安市高新一中高三5月模拟考试文科数学试卷(带解析)
【题文】(本题满分13分)已知函数

.
(Ⅰ)讨论函数

在定义域内的极值点的个数;
(Ⅱ)若函数

在

处取得极值,对任意的

恒成立,求实数

的取值范围.
题号:830204
题型:解答题
难易度:较易
日期:2015-06-29
来源:【百强校】2015届陕西省西安市高新一中高三5月模拟考试文科数学试卷(带解析)
【题文】(本题满分12分)在边长为

的菱形

中,

.现沿对角线

把△

折起,折起后使

的余弦值为

.
(Ⅰ)求证:平面

⊥平面

;
(Ⅱ)若

是

的中点,求三棱锥

的体积.

题号:830205
题型:解答题
难易度:一般
日期:2015-06-29
来源:【百强校】2015届陕西省西安市高新一中高三5月模拟考试文科数学试卷(带解析)
【题文】(本题满分12分)如图,港口A北偏东30°方向的C处有一检查站,港口正东方向的B处有一轮船,距离检查站31海里,该轮船从B处沿正西方向航行20海里后到达D处观测站,已知观测站与检查站距离21海里,问此时轮船离港口A还有多远?

题号:830206
题型:解答题
难易度:较易
日期:2015-06-29
来源:【百强校】2015届陕西省西安市高新一中高三5月模拟考试文科数学试卷(带解析)
【题文】(本题满分12分)甲、乙两名考生在填报志愿时都选中了

、

、

、

四所需要面试的院校,这四所院校的面试安排在同一时间.因此甲、乙都只能在这四所院校中选择一所做志愿,假设每位同学选择各个院校是等可能的,试求:
(Ⅰ)甲、乙选择同一所院校的概率;
(Ⅱ)院校

、

至少有一所被选择的概率.
题号:830207
题型:解答题
难易度:困难
日期:2015-06-29
来源:【百强校】2015届陕西省西安市高新一中高三5月模拟考试文科数学试卷(带解析)
【题文】(本题满分12分)已知函数


(

)均在函数

的图象上。
(Ⅰ)求数列

的通项公式

;
(Ⅱ)令

证明:
