适用年级:{{getGradeNameByProperty('高三|高考模拟|江苏|2012年')}} 试卷类型:{{getTestPaperTypeName('高三|高考模拟|江苏|2012年')}} 使用省份:{{getAreaName('高三|高考模拟|江苏|2012年')}}
试卷年份:{{getYear('高三|高考模拟|江苏|2012年')}}上传日期:2012-03-13题数:20
提示:单击题文可显示答案与解析。
题号:1093577
题型:填空题
难易度:较易
日期:2012-03-13
来源:2012届江苏省如皋中学高三下学期质量检测数学试卷
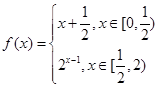
【题文】已知函数


若存在

,当

时,

,则

的取值范围是
▲ .
题号:1093578
题型:填空题
难易度:较易
日期:2012-03-13
来源:2012届江苏省如皋中学高三下学期质量检测数学试卷
题号:1093579
题型:填空题
难易度:较易
日期:2012-03-13
来源:2012届江苏省如皋中学高三下学期质量检测数学试卷
题号:1093580
题型:填空题
难易度:容易
日期:2012-03-13
来源:2012届江苏省如皋中学高三下学期质量检测数学试卷
【题文】在△
ABC中,若

,则边
AB的长等于
▲ .
题号:1093581
题型:填空题
难易度:较易
日期:2012-03-13
来源:2012届江苏省如皋中学高三下学期质量检测数学试卷
【题文】矩形ABCD由两个正方形拼成,则∠CAE的正切值为____.

题号:1093582
题型:填空题
难易度:较易
日期:2012-03-13
来源:2012届江苏省如皋中学高三下学期质量检测数学试卷
【题文】设正三棱锥的侧面积等于底面积的2倍,且该正三棱锥的高为

,则其表面积等于
▲ .
题号:1093583
题型:填空题
难易度:容易
日期:2012-03-13
来源:2012届江苏省如皋中学高三下学期质量检测数学试卷
题号:1093584
题型:填空题
难易度:容易
日期:2012-03-13
来源:2012届江苏省如皋中学高三下学期质量检测数学试卷
【题文】若

是实数(

是虚数单位),则实数

的值为
▲ .
题号:3711947
题型:填空题
难易度:容易
日期:2013-04-09
来源:2012届江苏省如皋中学高三下学期质量检测数学试卷
【题文】已知全集
U=
R,集合
A=

,

,若

,则实数
a的取值范围是
▲ .
题号:3711948
题型:填空题
难易度:较易
日期:2012-03-13
来源:2012届江苏省如皋中学高三下学期质量检测数学试卷
【题文】设数列

是首项为0的递增数列,(

),



,满足:对于任意的

总有两个不同的根,则数列

的通项公式为
▲ .
题号:3711949
题型:填空题
难易度:
日期:2012-03-13
来源:2012届江苏省如皋中学高三下学期质量检测数学试卷
【题文】一个社会调查机构就某地居民的月收入情况调查了1000人,并根据所得数据绘制了样本频率分布直方图(如图所示),则月收入在[2000,3500

范围内的人数为
▲ .

题号:3711950
题型:填空题
难易度:
日期:2012-03-13
来源:2012届江苏省如皋中学高三下学期质量检测数学试卷
【题文】根据如图所示的伪代码,可知输出S的值为
▲ .

题号:3711951
题型:填空题
难易度:
日期:2012-03-13
来源:2012届江苏省如皋中学高三下学期质量检测数学试卷
【题文】已知椭圆的方程为

,过椭圆的右焦点且与x轴垂直的直线与椭圆交于P、Q两点,椭圆的右准线与x轴交于点M,若

为正三角形,则椭圆的离心率等于
▲
.
题号:3711952
题型:填空题
难易度:
日期:2012-03-13
来源:2012届江苏省如皋中学高三下学期质量检测数学试卷
【题文】若函数

在

上有最小值,则实数

的取值范围是
▲ .
题号:1093574
题型:解答题
难易度:较易
日期:2012-03-13
来源:2012届江苏省如皋中学高三下学期质量检测数学试卷
【题文】
设数列

、

(1)求数列

的通项公式;
(2)对一切

,证明:

成立;
(3)记数列

、

、

题号:1093575
题型:解答题
难易度:较易
日期:2012-03-13
来源:2012届江苏省如皋中学高三下学期质量检测数学试卷
【题文】已知函数

,其中e是自然数的底数,

.
(1)当

时,解不等式

;
(2)当

时,求整数k的所有值,使方程

在[k,k+1]上有解;
(3)若

在[-1,1]上是单调增函数,求

的取值范围.
题号:1093576
题型:解答题
难易度:较易
日期:2012-03-13
来源:2012届江苏省如皋中学高三下学期质量检测数学试卷
【题文】心理学家研究某位学生的学习情况发现:若这位学生刚学完的知识存留量记为1,则

天后

的存留量

;若在

天时进行第一次复习,则此时知识存留量比未复习情况下增加一倍(复习时间忽略不计),其后存储量

随时间变化的曲线恰为直线的一部分,其斜率为

存留量随时间变化的曲线如图所示.当进行第一次复习后的存留量与不复习的存留量相差最大时,则称此时此刻为“二次复习最佳时机点”.
(1)若

,求“二次最佳时机点”;
(2)若出现了“二次复习最佳时机点”,求

的取值范围.

题号:3711953
题型:解答题
难易度:
日期:2012-03-13
来源:2012届江苏省如皋中学高三下学期质量检测数学试卷
【题文】)已知向量

=(

,1),

=(

,

),
f(
x)=

.
(1)若

,求

的值;
(2)在△
ABC中,角
A,
B,
C的对边分别是
a,
b,
c且满足

,求函数

的取值范围.
题号:3711954
题型:解答题
难易度:
日期:2012-03-13
来源:2012届江苏省如皋中学高三下学期质量检测数学试卷
【题文】如图,在直三棱柱

中,

,

分别是

的中点,且

.
(Ⅰ)求证:

;
(Ⅱ)求证:平面

平面

.

题号:3711955
题型:解答题
难易度:
日期:2012-03-13
来源:2012届江苏省如皋中学高三下学期质量检测数学试卷
【题文】如图,椭圆

的中心在原点,焦点在

轴上,

分别是椭圆

的左、右焦点,

是椭圆短轴的一个端点,过

的直线

与椭圆交于

两点,

的面积为

,

的周长为

.
(1)求椭圆

的方程;
(2)设点

的坐标为

,是否存在椭圆上的点

及以

为圆心的一个圆,使得该圆与直线

都相切,如存在,求出

点坐标及圆的方程,如不存在,请说明理由.
