的图象如图所示,则
的解析式可能是( )
A.![]() |
B.![]() |
C.![]() |
D.![]() |
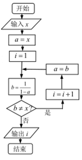
,则输出的
( )
| A.2 | B.3 | C.4 | D.5 |
| A.甲 | B.乙 | C.丙 | D.丁 |
是椭圆与双曲线的公共焦点,
是它们的一个公共点,且
,线段
的垂直平分线过
,若椭圆的离心率为
,双曲线的离心率为
,则
的最小值为( )| A.6 | B.3 | C.![]() | D.![]() |
中,点
分别在边
上,且满足
,
,若
,
,则
( )A.![]() | B.0 | C.![]() | D.7 |
满足约束条件
,则
的最大值是( )A.![]() | B.![]() | C.![]() | D.![]() |
(
为虚数单位)的共轭复数对应的点位于( )| A.第一象限 | B.第二象限 | C.第三象限 | D.第四象限 |
在区间
上是增函数,则实数
的取值范围为( )A.![]() | B.![]() | C.![]() | D.![]() |
取3,其体积为
(立方寸),则图中的
为( )
| A.1.2 | B.1.6 | C.1.8 | D.2.4 |
,若
,
,则实数
的取值范围是( )A.![]() | B.![]() | C.![]() | D.![]() |
(
)的等比数列
的前
项和为
,若
,
,则
( )| A.-2 | B.-1 | C.![]() | D.![]() |
,
,则
( )A.![]() | B.![]() | C.![]() | D.![]() |
中,
,现将
沿矩形的对角线
所在的直线进行翻折,在翻折的过程中,给出下列结论:
与直线
垂直;
与直线
垂直;
与直线
垂直.
的前
项和为
,已知
,
为整数,且
,则数列
的前9项和为__________.
将圆
平分,且与直线
垂直,则
的方程为__________.
与抛物线
:
相交于
,
两点,
是线段
的中点,过
作
轴的垂线交
于点
.
在点
处的切线与
平行;
使
?若存在,求
的值;若不存在,说明理由.
中,
,
,侧面
为等边三角形,
,
.
平面
;
的高.
的内角
的对边分别为
,已知
,
,
;
,求
的面积.
(吨),用水量不超过
的部分按平价收费,超过
的部分按议价收费,为了了解全市民月用水量的分布情况,通过抽样,获得了100位居民某年的月用水量(单位:吨),将数据按照
,
,…,
分成9组,制成了如图所示的频率分布直方图.
的值;
的居民每月的用水量不超过标准
(吨),估计
的值,并说明理由;
,记
的解集为
.
;
时,证明:
.
的单调性;
,若对
,
,求
的取值范围.