适用年级:{{getGradeNameByProperty('高三|高考模拟|河南|2016年')}} 试卷类型:{{getTestPaperTypeName('高三|高考模拟|河南|2016年')}} 使用省份:{{getAreaName('高三|高考模拟|河南|2016年')}}
试卷年份:{{getYear('高三|高考模拟|河南|2016年')}}上传日期:2016-07-15题数:24
提示:单击题文可显示答案与解析。
题号:728846
题型:选择题
难易度:一般
日期:2016-07-15
来源:【百强校】2016届河南省南阳一中高三第三次模拟文科数学试卷(带解析)
【题文】设

,

分别是双曲线

(

,

)的左、右焦点,

是

的右支上的点,射线

平分

交

轴于点

,过原点

作

的平行线交

于点

,若

,则

的离心率为()
题号:728847
题型:选择题
难易度:较易
日期:2016-07-15
来源:【百强校】2016届河南省南阳一中高三第三次模拟文科数学试卷(带解析)
【题文】已知定义在

上的可导函数

的导函数为

,满足

,且

为偶函数,

,则不等式

的解集为( )
A.(-2,+ ) | B.(0.+ ) | C.(1, ) | D.(4,+ ) |
题号:728848
题型:选择题
难易度:一般
日期:2016-07-15
来源:【百强校】2016届河南省南阳一中高三第三次模拟文科数学试卷(带解析)
【题文】如图,边长为1的菱形

中,

,沿

将△

翻折,得到三棱锥

,
则当三棱锥

体积最大时,异面直线

与

所成的角的余弦值为( )

题号:728849
题型:选择题
难易度:较易
日期:2016-07-15
来源:【百强校】2016届河南省南阳一中高三第三次模拟文科数学试卷(带解析)
【题文】已知

是等差数列,公差

不为零,前

项和是

,若

,

,

成等比数列,则( )
题号:728850
题型:选择题
难易度:一般
日期:2016-07-15
来源:【百强校】2016届河南省南阳一中高三第三次模拟文科数学试卷(带解析)
【题文】执行如图所示的程序框图,若输入a=3,则输出i的值是( )

题号:728851
题型:选择题
难易度:较易
日期:2016-07-15
来源:【百强校】2016届河南省南阳一中高三第三次模拟文科数学试卷(带解析)
题号:728852
题型:选择题
难易度:一般
日期:2016-07-15
来源:【百强校】2016届河南省南阳一中高三第三次模拟文科数学试卷(带解析)
【题文】过点

可作圆

的两条切线,则实数a的取值范围为( )
题号:728853
题型:选择题
难易度:较易
日期:2016-07-15
来源:【百强校】2016届河南省南阳一中高三第三次模拟文科数学试卷(带解析)
【题文】若向量

、

满足

,

与

的夹角为60°,

在向量

上的投影等于( )
题号:728854
题型:选择题
难易度:较易
日期:2016-07-15
来源:【百强校】2016届河南省南阳一中高三第三次模拟文科数学试卷(带解析)
【题文】双曲线


的顶点到渐近线的距离与焦点到渐近线的距离之比为( )
题号:728855
题型:选择题
难易度:容易
日期:2016-07-15
来源:【百强校】2016届河南省南阳一中高三第三次模拟文科数学试卷(带解析)
【题文】设命题p:“若

,则

”,命题q:“若

,则

”,则( )
A.“ ”为真命题 |
B.“ ”为真命题 |
C.“ ”为真命题 |
| D.以上都不对 |
题号:728856
题型:选择题
难易度:较易
日期:2016-07-15
来源:【百强校】2016届河南省南阳一中高三第三次模拟文科数学试卷(带解析)
题号:728857
题型:选择题
难易度:较易
日期:2016-07-15
来源:【百强校】2016届河南省南阳一中高三第三次模拟文科数学试卷(带解析)
题号:728842
题型:填空题
难易度:一般
日期:2016-07-15
来源:【百强校】2016届河南省南阳一中高三第三次模拟文科数学试卷(带解析)
【题文】已知

为△ABC 内一点,且

,则

的面积之比为
.
题号:728843
题型:填空题
难易度:较易
日期:2016-07-15
来源:【百强校】2016届河南省南阳一中高三第三次模拟文科数学试卷(带解析)
【题文】在

中,已知

,给出以下四个论断:
①

②

③

④

,其中正确的是
.
题号:728844
题型:填空题
难易度:较难
日期:2016-07-15
来源:【百强校】2016届河南省南阳一中高三第三次模拟文科数学试卷(带解析)
【题文】若不等式

所表示的平面区域为

,不等式组

表示的平面区域为

,现随机向区域

内抛一粒豆子,则豆子落在区域

内的概率为________.
题号:728845
题型:填空题
难易度:较易
日期:2016-07-15
来源:【百强校】2016届河南省南阳一中高三第三次模拟文科数学试卷(带解析)
【题文】如图,矩形O′A′B′C′是水平放置的一个平面图形的直观图,其中O′A′=6,O′C′=2,则原图形OABC的面积为________.

题号:728814
题型:解答题
难易度:一般
日期:2016-07-15
来源:【百强校】2016届河南省南阳一中高三第三次模拟文科数学试卷(带解析)
【题文】选修4-5:不等式选讲
设函数f(x)=

的最大值为M.
(1)求实数M的值;
(2)求关于

的不等式

≤M的解集.
题号:728815
题型:解答题
难易度:较易
日期:2016-07-15
来源:【百强校】2016届河南省南阳一中高三第三次模拟文科数学试卷(带解析)
【题文】选修4-4:坐标系与参数方程
已知曲线C的极坐标方程是ρ=4cosθ.以极点为平面直角坐标系的原点,极轴为x轴的正半轴,建立平面直角坐标系,直l的参数方程是

(t是参数)
(1)将曲线C的极坐标方程化为直角坐标方程;
(2)若直线l与曲线C相交于A、B两点,且|AB|=

,求直线的倾斜角α的值.
题号:728816
题型:解答题
难易度:一般
日期:2016-07-15
来源:【百强校】2016届河南省南阳一中高三第三次模拟文科数学试卷(带解析)
【题文】选修4-1:几何证明选讲
如图,圆M与圆N交于A,B两点,以A为切点作两圆的切线分别交圆M和圆N于C,D两点,延长延长DB交圆M于点E,延长CB交圆N于点F.已知BC=5,DB=10.

(1)求AB的长;
(2)求

.
题号:728817
题型:解答题
难易度:一般
日期:2016-07-15
来源:【百强校】2016届河南省南阳一中高三第三次模拟文科数学试卷(带解析)
【题文】已知函数

.
(1)若曲线

在点(2,g(2))处的切线与直线x + 2y-1 = 0平行,求实数a的值;
(2)若

在定义域上是增函数,求实数b的取值范围;
(3)设m、n∈R
*,且m≠n,求证:

.
题号:728838
题型:解答题
难易度:较难
日期:2016-07-15
来源:【百强校】2016届河南省南阳一中高三第三次模拟文科数学试卷(带解析)
【题文】在平面直角坐标系xOy中,一动圆经过点

且与直线

相切,设该动圆圆心的轨迹为曲线E.
(1)求曲线E的方程;
(2)设P是曲线E上的动点,点B、C在y轴上,△PBC的内切圆的方程为

,求△PBC面积的最小值.
题号:728839
题型:解答题
难易度:一般
日期:2016-07-15
来源:【百强校】2016届河南省南阳一中高三第三次模拟文科数学试卷(带解析)
【题文】已知某几何体的直观图和三视图如下图所示,其正视图为矩形,侧视图为等腰直角三角形,俯视图为直角梯形.

(1)求证:BN丄平面C
1B
1N;
(2)设M为AB中点,在BC边上找一点P,使MP//平面CNB
1,并求

的值;
(3)求点A到平面CB
1N的距离.
题号:728840
题型:解答题
难易度:一般
日期:2016-07-15
来源:【百强校】2016届河南省南阳一中高三第三次模拟文科数学试卷(带解析)
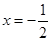
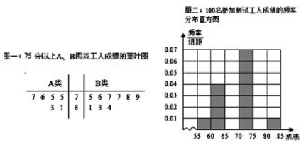
【题文】某工厂有工人500名,记35岁以上(含35岁)的为

类工人,不足35岁的为

类工人,为调查该厂工人的个人文化素质状况,现用分层抽样的方法从

,

两类工人中分别抽取了40人、60人进行测试.
(1)求该工厂

,

两类工人各有多少人?
(2)经过测试,得到以下三个数据图表:


图一:75分以上

,

两类工人成绩的茎叶图(茎、叶分别是十位和个位上的数字)
①先填写频率分布表(表一)中的六个空格,然后将频率分布直方图(图二)补充完整;
②该厂拟定从参加考试的79分以上(含79分)的

类工人中随机抽取2人参加高级技工培训班,求抽到的2人分数都在80分以上的概率.
题号:728841
题型:解答题
难易度:较易
日期:2016-07-15
来源:【百强校】2016届河南省南阳一中高三第三次模拟文科数学试卷(带解析)
【题文】已知数列

的前

项和

.
(Ⅰ)求数列

的通项公式;
(Ⅱ)设数列

的通项

,求数列

的前

项和

.