适用年级:{{getGradeNameByProperty('高三|高考模拟|河南|2016年')}} 试卷类型:{{getTestPaperTypeName('高三|高考模拟|河南|2016年')}} 使用省份:{{getAreaName('高三|高考模拟|河南|2016年')}}
试卷年份:{{getYear('高三|高考模拟|河南|2016年')}}上传日期:2016-06-07题数:24
提示:单击题文可显示答案与解析。
题号:742056
题型:选择题
难易度:一般
日期:2016-06-07
来源:【百强校】2016届河南省商丘市高三第三次模拟文科数学试卷(带解析)
【题文】德国著名数学家狄利克雷在数学领域成就显著,以其名命名的函数

被称为狄利克雷函数,其中

为实数集,

为有理数集,则关于函数

有如下四个命题:①

;②函数

是偶函数;③任取一个不为零的有理数

,

对任意的

恒成立;④存在三个点

使得

为等边三角形.其中真命题的个数为( )
题号:742057
题型:选择题
难易度:较易
日期:2016-06-07
来源:【百强校】2016届河南省商丘市高三第三次模拟文科数学试卷(带解析)
【题文】已知数列

,则

( )
题号:742058
题型:选择题
难易度:较易
日期:2016-06-07
来源:【百强校】2016届河南省商丘市高三第三次模拟文科数学试卷(带解析)
【题文】曲线

与曲线

有公共点,且在公共点处的切线相同,则

的值为( )
题号:742059
题型:选择题
难易度:一般
日期:2016-06-07
来源:【百强校】2016届河南省商丘市高三第三次模拟文科数学试卷(带解析)
【题文】如图,网格纸上小正方形的边长为

,粗实线画出的是某多面体的三视图,则该多面体的各面中,面积最大的值是( )

题号:742060
题型:选择题
难易度:较易
日期:2016-06-07
来源:【百强校】2016届河南省商丘市高三第三次模拟文科数学试卷(带解析)
【题文】已知抛物线

与双曲线

的一个交点为

,

为抛物线的焦点,若

,则该双曲线的渐近线方程为( )
题号:742061
题型:选择题
难易度:较难
日期:2016-06-07
来源:【百强校】2016届河南省商丘市高三第三次模拟文科数学试卷(带解析)
【题文】函数

的部分图象如图所示,则

的解析式可以为()

题号:742062
题型:选择题
难易度:一般
日期:2016-06-07
来源:【百强校】2016届河南省商丘市高三第三次模拟文科数学试卷(带解析)
题号:742063
题型:选择题
难易度:较易
日期:2016-06-07
来源:【百强校】2016届河南省商丘市高三第三次模拟文科数学试卷(带解析)
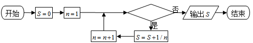
【题文】要计算

的结果,下面程序框图中的判断框内可以填( )

题号:742064
题型:选择题
难易度:一般
日期:2016-06-07
来源:【百强校】2016届河南省商丘市高三第三次模拟文科数学试卷(带解析)
题号:742065
题型:选择题
难易度:一般
日期:2016-06-07
来源:【百强校】2016届河南省商丘市高三第三次模拟文科数学试卷(带解析)
【题文】下列函数中,满足

的单调递增函数是( )
题号:742066
题型:选择题
难易度:较易
日期:2016-06-07
来源:【百强校】2016届河南省商丘市高三第三次模拟文科数学试卷(带解析)
【题文】若复数

(其中

是虚数单位)的实部与虚部相等,则

( )
题号:742067
题型:选择题
难易度:一般
日期:2016-06-07
来源:【百强校】2016届河南省商丘市高三第三次模拟文科数学试卷(带解析)
题号:742052
题型:填空题
难易度:一般
日期:2016-06-07
来源:【百强校】2016届河南省商丘市高三第三次模拟文科数学试卷(带解析)
【题文】设函数

.有下列五个命题:
①若对任意

,关于

的不等式

恒成立,则

;
②若存在

,使得不等式

成立,则

;
③若对任意

及任意

,不等式

恒成立,则

;
④若对任意

,存在

,使得不等式

成立,则

;
⑤若存在

及

,使得不等式

成立,则

.
其中,所有正确结论的序号为______.
题号:742053
题型:填空题
难易度:一般
日期:2016-06-07
来源:【百强校】2016届河南省商丘市高三第三次模拟文科数学试卷(带解析)
【题文】已知抛物线

的焦点恰好是椭圆

的右焦点

,且这两条曲线交点的连线过点

,则该椭圆的离心率为______.
题号:742054
题型:填空题
难易度:较难
日期:2016-06-07
来源:【百强校】2016届河南省商丘市高三第三次模拟文科数学试卷(带解析)
【题文】在明朝程大位《算法统宗》中有这样的一首歌谣:“远看巍巍塔七层,红光点点倍加增,共灯三百八十一.请问尖头几盏灯”.这首古诗描述的这个宝塔其古称浮屠,本题说它一共有

层,每层悬挂的红灯数是上一层的

倍,共有

盏灯,问塔顶有几盏灯?你算出顶层有______盏灯.
题号:742055
题型:填空题
难易度:较难
日期:2016-06-07
来源:【百强校】2016届河南省商丘市高三第三次模拟文科数学试卷(带解析)
【题文】已知

的取值如下表所示:从散点图分析,

与

线性相关,且

,则

_______.

题号:742044
题型:解答题
难易度:一般
日期:2016-06-07
来源:【百强校】2016届河南省商丘市高三第三次模拟文科数学试卷(带解析)
【题文】设

的最大值为

.
(Ⅰ)求

;
(Ⅱ)若

,求

的最大值.
题号:742045
题型:解答题
难易度:一般
日期:2016-06-07
来源:【百强校】2016届河南省商丘市高三第三次模拟文科数学试卷(带解析)
【题文】已知曲线

的参数方程是

,以坐标原点为极点,

轴的正半轴为极轴建立极坐标系,

的极坐标分别为

.
(Ⅰ)求直线

的直角坐标方程;
(Ⅱ)设

为曲线

上的点,求点

到直线

距离的最大值.
题号:742046
题型:解答题
难易度:一般
日期:2016-06-07
来源:【百强校】2016届河南省商丘市高三第三次模拟文科数学试卷(带解析)
【题文】已知四边形

为圆

的内接四边形,且

,其对角线

与

相交于点

.过点

作圆

的切线交

的延长线于点

.

(Ⅰ)求证:

;
(Ⅱ)若

,求证:

.
题号:742047
题型:解答题
难易度:一般
日期:2016-06-07
来源:【百强校】2016届河南省商丘市高三第三次模拟文科数学试卷(带解析)
【题文】已知函数

.
(Ⅰ)求函数

的单调区间和极值;
(Ⅱ)若

时,

恒成立,求实数

的取值范围.
题号:742048
题型:解答题
难易度:一般
日期:2016-06-07
来源:【百强校】2016届河南省商丘市高三第三次模拟文科数学试卷(带解析)
【题文】过点

作直线与圆

交于

两点,在线段

上取满足

的点

.
(Ⅰ)求

点的轨迹方程;
(Ⅱ)设直线

与圆

交于

两点,求

为圆心)面积的最大值.
题号:742049
题型:解答题
难易度:一般
日期:2016-06-07
来源:【百强校】2016届河南省商丘市高三第三次模拟文科数学试卷(带解析)
【题文】如图,在四棱锥

中,底面

是菱形,

,

,

底面

,

是

的中点,

是

的中点.

(Ⅰ)求证:

平面

;
(Ⅱ)求三棱锥

的体积.
题号:742050
题型:解答题
难易度:一般
日期:2016-06-07
来源:【百强校】2016届河南省商丘市高三第三次模拟文科数学试卷(带解析)
【题文】如图所示,茎叶图记录了甲、乙两组各四名同学完成某道数学题的得分情况,该题满分为

分.已知甲、乙两组的平均成绩相同,乙组某个数据的个位数模糊,记为

.

(Ⅰ)求

的值,并判断哪组学生成绩更稳定;
(Ⅱ)在甲、乙两组中各抽出一名同学,求这两名同学的得分之和低于

分的概率.
题号:742051
题型:解答题
难易度:一般
日期:2016-06-07
来源:【百强校】2016届河南省商丘市高三第三次模拟文科数学试卷(带解析)
【题文】在

中,

分别为内角

的对边,且

.
(Ⅰ)求角

的大小;
(Ⅱ)若

的面积为

,求边长

的最小值.