适用年级:{{getGradeNameByProperty('高三|高考模拟|山东|2016年')}} 试卷类型:{{getTestPaperTypeName('高三|高考模拟|山东|2016年')}} 使用省份:{{getAreaName('高三|高考模拟|山东|2016年')}}
试卷年份:{{getYear('高三|高考模拟|山东|2016年')}}上传日期:2016-05-31题数:21
提示:单击题文可显示答案与解析。
题号:744167
题型:选择题
难易度:一般
日期:2016-05-31
来源:【百强校】2016届山东省滨州市高三第二次模拟考试理科数学试卷(带解析)
【题文】已知抛物线

的焦点到双曲线

的渐近线的距离不大于

,则双曲线

的离心率的取值范围是( )
题号:744168
题型:选择题
难易度:较易
日期:2016-05-31
来源:【百强校】2016届山东省滨州市高三第二次模拟考试理科数学试卷(带解析)
【题文】将函数

的图象向右平移

个单位后得到函数

的图象.若对满足

的

,有

,则

( )
题号:744169
题型:选择题
难易度:较易
日期:2016-05-31
来源:【百强校】2016届山东省滨州市高三第二次模拟考试理科数学试卷(带解析)
【题文】一个盒子里装有标号为

的

张标签,随机地选取

张标签,则取出的

张标签的标号的平均数是

的概率为( )
题号:744170
题型:选择题
难易度:一般
日期:2016-05-31
来源:【百强校】2016届山东省滨州市高三第二次模拟考试理科数学试卷(带解析)
【题文】若函数

为奇函数,则

的解集为()
题号:744171
题型:选择题
难易度:一般
日期:2016-05-31
来源:【百强校】2016届山东省滨州市高三第二次模拟考试理科数学试卷(带解析)
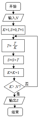
【题文】执行如图所示的程序框图,如果输入的

,那么输出的

( )

题号:744172
题型:选择题
难易度:一般
日期:2016-05-31
来源:【百强校】2016届山东省滨州市高三第二次模拟考试理科数学试卷(带解析)
【题文】在

中,

为边

上的任意一点,点

在线段

上,且满足

,若

,则

的值为( )
题号:744173
题型:选择题
难易度:一般
日期:2016-05-31
来源:【百强校】2016届山东省滨州市高三第二次模拟考试理科数学试卷(带解析)
【题文】设

且

,则“

”是“

”的( )
| A.充分不必要条件 | B.必要不充分条件 |
| C.充要条件 | D.既不充分也不必要条件 |
题号:744174
题型:选择题
难易度:一般
日期:2016-05-31
来源:【百强校】2016届山东省滨州市高三第二次模拟考试理科数学试卷(带解析)
题号:744175
题型:选择题
难易度:较易
日期:2016-05-31
来源:【百强校】2016届山东省滨州市高三第二次模拟考试理科数学试卷(带解析)
题号:744176
题型:选择题
难易度:较易
日期:2016-05-31
来源:【百强校】2016届山东省滨州市高三第二次模拟考试理科数学试卷(带解析)
【题文】复数

为虚数单位)的共轭复数对应的点位于( )
题号:744162
题型:填空题
难易度:较难
日期:2016-05-31
来源:【百强校】2016届山东省滨州市高三第二次模拟考试理科数学试卷(带解析)
【题文】已知函数

,若存在互不相等的实数

满足

,则

的取值范围是_____.
题号:744163
题型:填空题
难易度:一般
日期:2016-05-31
来源:【百强校】2016届山东省滨州市高三第二次模拟考试理科数学试卷(带解析)
【题文】如图,网格纸上小正方形的边长为

,粗实线画出的是某多面体的三视图,则该多面体的体积为_____.

题号:744164
题型:填空题
难易度:较易
日期:2016-05-31
来源:【百强校】2016届山东省滨州市高三第二次模拟考试理科数学试卷(带解析)
【题文】已知不等式

的解集不是空集,则实数

的取值范围是______.
题号:744165
题型:填空题
难易度:较易
日期:2016-05-31
来源:【百强校】2016届山东省滨州市高三第二次模拟考试理科数学试卷(带解析)
【题文】为了研究某种细菌在特定环境下,随时间变化的繁殖情况,得到的实验数据如下表,并由此计算得回归直线方程为

,后来因工作人员不慎将下表中的实验数据

丢失.
天数 (天)
| 3
| 4
| 5
| 6
| 7
|
繁殖个数y(千个)
| c
| 3
| 4
| 4.5
| 6
|
则上表中丢失的实验数据

的值为______.
题号:744166
题型:填空题
难易度:较易
日期:2016-05-31
来源:【百强校】2016届山东省滨州市高三第二次模拟考试理科数学试卷(带解析)
【题文】函数

的定义域为______.
题号:744136
题型:解答题
难易度:一般
日期:2016-05-31
来源:【百强校】2016届山东省滨州市高三第二次模拟考试理科数学试卷(带解析)
【题文】已知函数

在

处取得极值

.
(Ⅰ)求

的值;
(Ⅱ)若对任意的

,都有

成立(其中

是函数

的导函数),求实数

的最小值;
(Ⅲ)证明:

.
题号:744137
题型:解答题
难易度:较易
日期:2016-05-31
来源:【百强校】2016届山东省滨州市高三第二次模拟考试理科数学试卷(带解析)
【题文】已知点

是圆

上的任意一点,点

为圆

的圆心,点

与点

关于原点对称,线段

的垂直平分线与线段

交于点

.
(Ⅰ)求动点

的轨迹

的方程;
(Ⅱ)设点

,若直线

轴,且与曲线

交于另一点

,直线

与直线

交于点

.
(1)证明:点

恒在曲线

上;
(2)求

面积的最大值.
题号:744158
题型:解答题
难易度:较难
日期:2016-05-31
来源:【百强校】2016届山东省滨州市高三第二次模拟考试理科数学试卷(带解析)
【题文】已知数列

的前

项和

.
(Ⅰ)求数列

的通项公式;
(Ⅱ)设

,求数列

的前

项和

.
题号:744159
题型:解答题
难易度:较难
日期:2016-05-31
来源:【百强校】2016届山东省滨州市高三第二次模拟考试理科数学试卷(带解析)
【题文】如图,在多面体

中,

是等边三角形,

是等腰直角三角形,

,平面

平面

,

平面

.

(Ⅰ)求证:

;
(Ⅱ)若

,求直线

与平面

所成的角的正弦值.
题号:744160
题型:解答题
难易度:较易
日期:2016-05-31
来源:【百强校】2016届山东省滨州市高三第二次模拟考试理科数学试卷(带解析)
【题文】小王创建了一个由他和甲、乙、丙共

人组成的微信群,并向该群发红包,每次发红包的个数为

个(小王自己不抢),假设甲、乙、丙

人每次抢得红包的概率相同.
(Ⅰ)若小王发

次红包,求甲恰有

次抢得红包的概率;
(Ⅱ)若小王发

次红包,其中第

,

次,每次发

元的红包,第

次发

元的红包,记乙抢得所有红包的钱数之和为

,求

的分布列和数学期望.
题号:744161
题型:解答题
难易度:一般
日期:2016-05-31
来源:【百强校】2016届山东省滨州市高三第二次模拟考试理科数学试卷(带解析)
【题文】如图,在

中,点

在

边上,

.

(Ⅰ)求

的值;
(Ⅱ)若

,求

的面积.