适用年级:{{getGradeNameByProperty('高三|高考模拟|吉林|2014年')}} 试卷类型:{{getTestPaperTypeName('高三|高考模拟|吉林|2014年')}} 使用省份:{{getAreaName('高三|高考模拟|吉林|2014年')}}
试卷年份:{{getYear('高三|高考模拟|吉林|2014年')}}上传日期:2014-04-25题数:23
提示:单击题文可显示答案与解析。
题号:928378
题型:选择题
难易度:容易
日期:2014-04-25
来源:2014届吉林省长春市高中毕业班第一次调研测试理科试卷(带解析)
题号:928390
题型:选择题
难易度:一般
日期:2014-04-25
来源:2014届吉林省长春市高中毕业班第一次调研测试理科试卷(带解析)
【题文】若函数y=f(x)图象上的任意一点p的坐标(x,y)满足条件|x|≥|y|,则称函数具有性质S,那么下列函数中具有性质S的是( )
| A.f(x)=tanx | B. -1 |
| C.f(x)=sinx | D.f(x)= ln(x+1) |
题号:928391
题型:选择题
难易度:容易
日期:2014-04-25
来源:2014届吉林省长春市高中毕业班第一次调研测试理科试卷(带解析)
【题文】一个半径为1有球体经过切割后,剩下部分几何体的三视图如图所示,则剩下部分几何体的表面积为( )


题号:928432
题型:选择题
难易度:较难
日期:2014-04-25
来源:2014届吉林省长春市高中毕业班第一次调研测试理科试卷(带解析)
【题文】已知双曲线

的右顶点、左焦点分别为A、F,点B(0,-b),
若

,则双曲线的离心率值为( )
(A)

(B)

(C)

(D)

题号:928433
题型:选择题
难易度:一般
日期:2014-04-25
来源:2014届吉林省长春市高中毕业班第一次调研测试理科试卷(带解析)
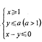
【题文】实数x,y满足

,若函数z=x+y的最大值为4,则实数a的值为( )
| A.2 | B.3 | C. | D.4 |
题号:928434
题型:选择题
难易度:一般
日期:2014-04-25
来源:2014届吉林省长春市高中毕业班第一次调研测试理科试卷(带解析)
【题文】定义某种运算

,运算原理如图所示,则式子

的值为( )

题号:928435
题型:选择题
难易度:一般
日期:2014-04-25
来源:2014届吉林省长春市高中毕业班第一次调研测试理科试卷(带解析)
【题文】等比数列

中,

前三项和为

,则公比q的值是( )
题号:928436
题型:选择题
难易度:容易
日期:2014-04-25
来源:2014届吉林省长春市高中毕业班第一次调研测试理科试卷(带解析)
【题文】抛物线

的焦点到准线的距离是( )
| A.2 | B.1 | C. | D. |
题号:928437
题型:选择题
难易度:较易
日期:2014-04-25
来源:2014届吉林省长春市高中毕业班第一次调研测试理科试卷(带解析)
【题文】函数f(x)=(sinx+cosx)
2 的一条对称轴的方程是( )

题号:928438
题型:选择题
难易度:一般
日期:2014-04-25
来源:2014届吉林省长春市高中毕业班第一次调研测试理科试卷(带解析)
【题文】已知集合

,集合N="{" x|lg(3-x)>0},则

( )
| A.{x|2<x<3} | B.{x|1<x<3} | C.{x|1<x<2} | D. |
题号:4186408
题型:选择题
难易度:较易
日期:2014-05-06
来源:2014届吉林省长春市高中毕业班第一次调研测试理科试卷(带解析)
【题文】已知三条不重合的直线m,n,l 和两个不重合的平面α,β ,下列命题正确的是:( )
A.若m//n,n α,则m//α |
B.若α⊥β, α β="m," n⊥m ,则n⊥α. |
| C.若l⊥n ,m⊥n,则l//m |
| D.若l⊥α,m⊥β, 且l⊥m ,则α⊥β |
题号:928386
题型:填空题
难易度:一般
日期:2014-04-25
来源:2014届吉林省长春市高中毕业班第一次调研测试理科试卷(带解析)
【题文】定义[x]表示不超过x的最大整数,例如:[1.5]=1,[-1.5]=-2,若f(x)=sin(x-[x]),则下列结论中
①y=f(x)是奇是函数②.y=f(x)是周期函数,周期为2

③..y=f(x)的最小值为0,无最大值④.y=f(x)无最小值,最大值为sin1.正确的序号为.
题号:928387
题型:填空题
难易度:较难
日期:2014-04-25
来源:2014届吉林省长春市高中毕业班第一次调研测试理科试卷(带解析)
【题文】已知数列

,圆

,
圆

,若圆C
2平分圆C
1的周长,则

的所有项的和为.
题号:928388
题型:填空题
难易度:较易
日期:2014-04-25
来源:2014届吉林省长春市高中毕业班第一次调研测试理科试卷(带解析)
【题文】已知三棱柱ABC-A
1B
1C
1底面是边长为

的正三角形,侧棱垂直于底面,且该三棱柱的外接球表面积为12

,则该三棱柱的体积为.
题号:928389
题型:填空题
难易度:容易
日期:2014-04-25
来源:2014届吉林省长春市高中毕业班第一次调研测试理科试卷(带解析)
【题文】在正三角形ABC中,D是BC上的点,AB=3,BD=1,则

=___
题号:928379
题型:解答题
难易度:较难
日期:2014-04-25
来源:2014届吉林省长春市高中毕业班第一次调研测试理科试卷(带解析)
【题文】已知f(x)=|x+1|+|x-1|,不等式f(x)的解集为M.
(1)求M;
(2)当a,b

M时,证明:2|a+b|<|4+ab|.
题号:928380
题型:解答题
难易度:较难
日期:2014-04-25
来源:2014届吉林省长春市高中毕业班第一次调研测试理科试卷(带解析)
【题文】以直角坐标系的原点为极点O,

轴正半轴为极轴,已知点P的直角坐标为(1,-5),点C的极坐标为

,若直线l经过点P,且倾斜角为

,圆C的半径为4.
(1).求直线
l的参数方程及圆C的极坐标方程;
(2).试判断直线
l与圆C有位置关系.
题号:928381
题型:解答题
难易度:一般
日期:2014-04-25
来源:2014届吉林省长春市高中毕业班第一次调研测试理科试卷(带解析)
【题文】如图,四边形为边长为
a的正方形,以D为圆心,DA为半径的圆弧与以BC为直径的圆O交于F,连接CF并延长交AB于点E.
(1).求证:E为AB的中点;
(2).求线段FB的长.
题号:928382
题型:解答题
难易度:困难
日期:2014-04-25
来源:2014届吉林省长春市高中毕业班第一次调研测试理科试卷(带解析)
【题文】已知函数

,

.
(1)a≥-2时,求F(x)=f(x)-g(x)的单调区间;
(2)设h(x)=f(x)+g(x),且h(x)有两个极值点为

,其中

,求

的最小值.
题号:928383
题型:解答题
难易度:较难
日期:2014-04-25
来源:2014届吉林省长春市高中毕业班第一次调研测试理科试卷(带解析)
【题文】已知椭圆

(a>b>0)的左焦为F,右顶点为A,上顶点为B,O为坐标原点,M为椭圆上任意一点,过F,B,A三点的圆的圆心为(p,q).
(1).当p+q≤0时,求椭圆的离心率的取值范围;
(2).若D(b+1,0),在(1)的条件下,当椭圆的离心率最小时,

的最小值为

,求椭圆的方程.
题号:928385
题型:解答题
难易度:一般
日期:2014-04-25
来源:2014届吉林省长春市高中毕业班第一次调研测试理科试卷(带解析)
【题文】设等差数列

的前n项和为

,且

,
(1).求数列

的通项公式;
(2).若

成等比数列,求正整数n的值.
题号:4186409
题型:解答题
难易度:较难
日期:2014-05-07
来源:2014届吉林省长春市高中毕业班第一次调研测试理科试卷(带解析)
【题文】如图所示,正方形AA
1D
1D与矩形ABCD所在平面互相垂直,AB=2AD=2,点E为AB的中点,

(1).求证:D
1E⊥A
1D;
(2).在线段AB上是否存在点M,使二面角D
1-MC-D的大小为

?,若存在,求出AM的长,若不存在,说明理由
题号:4881145
题型:解答题
难易度:较难
日期:2017-09-01
来源:2014届吉林省长春市高中毕业班第一次调研测试理科试卷(带解析)
【题文】已知向量

,

,设函数

.
(1)求函数

的最小正周期;
(2)已知

分别为三角形

的内角对应的三边长,

为锐角,

,

,且

恰是函数

在

上的最大值,求

和三角形

的面积.