适用年级:{{getGradeNameByProperty('高三|高考模拟|陕西|2013年')}} 试卷类型:{{getTestPaperTypeName('高三|高考模拟|陕西|2013年')}} 使用省份:{{getAreaName('高三|高考模拟|陕西|2013年')}}
试卷年份:{{getYear('高三|高考模拟|陕西|2013年')}}上传日期:2013-04-25题数:21
提示:单击题文可显示答案与解析。
题号:1004818
题型:选择题
难易度:容易
日期:2013-04-25
来源:2013届陕西省师大附中高三第四次模拟考试理科数学试卷(带解析)
【题文】定义在

上的函数

是减函数,且函数

的图象关于原点成中心对称,若

,

满足不等式

.则当

时,

的取值范围是( )
题号:1004819
题型:选择题
难易度:较易
日期:2013-04-25
来源:2013届陕西省师大附中高三第四次模拟考试理科数学试卷(带解析)
【题文】已知实数

成等比数列,且函数

时取到极大值

,则

等于( )
题号:1004820
题型:选择题
难易度:较易
日期:2013-04-25
来源:2013届陕西省师大附中高三第四次模拟考试理科数学试卷(带解析)
【题文】如果执行如图的程序框图,那么输出的值是( )

题号:1004821
题型:选择题
难易度:较易
日期:2013-04-25
来源:2013届陕西省师大附中高三第四次模拟考试理科数学试卷(带解析)
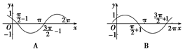
【题文】把函数

的图象上所有点的横坐标伸长到原来的2倍(纵坐标不变),然后向左平移1个单位长度,再向下平移 1个单位长度,得到的图象是


题号:1004822
题型:选择题
难易度:较易
日期:2013-04-25
来源:2013届陕西省师大附中高三第四次模拟考试理科数学试卷(带解析)
【题文】已知复数

,则()
A. | B.z的实部为1 | C.z的虚部为﹣1 | D.z的共轭复数为1+i |
题号:1004823
题型:选择题
难易度:较易
日期:2013-04-25
来源:2013届陕西省师大附中高三第四次模拟考试理科数学试卷(带解析)
【题文】已知全集
U={

,1,2,3,4},集合
A={1,2,3},
B={2,4},则(∁
UA)∪
B为( )
| A.{1,2,4} | B.{2,3,4} |
C.{ ,2,4} | D.{ ,2,3,4} |
题号:4191768
题型:选择题
难易度:容易
日期:2013-04-26
来源:2013届陕西省师大附中高三第四次模拟考试理科数学试卷(带解析)
【题文】已知双曲线

的一个焦点与抛物线

的焦点重合,且双曲线的离心率等于

,则该双曲线的方程为( )
题号:4191769
题型:选择题
难易度:较易
日期:2013-04-25
来源:2013届陕西省师大附中高三第四次模拟考试理科数学试卷(带解析)
【题文】已知

的展开式的各项系数和为32,则展开式中

的系数为( )
题号:4191770
题型:选择题
难易度:较易
日期:2013-04-26
来源:2013届陕西省师大附中高三第四次模拟考试理科数学试卷(带解析)
【题文】采用系统抽样方法从960人中抽取32人做问卷调查,为此将他们随机编号为1,2,……,960,分组后在第一组采用简单随机抽样的方法抽到的号码为9.抽到的32人中,编号落入区间[1,450]的人做问卷A,编号落入区间[451,750]的人做问卷B,其余的人做问卷C.则抽到的人中,做问卷C的人数为
A.7 B. 9 C. 10 D.15
题号:4191771
题型:选择题
难易度:容易
日期:2013-09-16
来源:2013届陕西省师大附中高三第四次模拟考试理科数学试卷(带解析)
【题文】在区间

内随机取两个数分别记为

,则使得函数

有零点的概率为( )
题号:1004813
题型:填空题
难易度:较易
日期:2013-04-25
来源:2013届陕西省师大附中高三第四次模拟考试理科数学试卷(带解析)
【题文】A.(不等式选做题)若不存在实数

使

成立,则实数

的取值集合是__________.
B. (几何证明选做题) )如图,已知
AB和
AC是圆的两条弦,过点
B作圆的切线与
AC的延长线相交于点
D.过点
C作
BD的平行线与圆相交于点
E,与
AB相交于点
F,
AF=3,
FB=1,
EF=

,则线段
CD的长为________.

C. (坐标系与参数方程选做题) 已知直线
:
(t为参数)与圆
C2:
(

为参数)的位置关系不可能是________.
题号:1004814
题型:填空题
难易度:较易
日期:2013-04-25
来源:2013届陕西省师大附中高三第四次模拟考试理科数学试卷(带解析)
【题文】已知

,

,如果

与

的夹角为锐角,则

的取值范围是
.
题号:1004815
题型:填空题
难易度:较易
日期:2013-04-25
来源:2013届陕西省师大附中高三第四次模拟考试理科数学试卷(带解析)
【题文】一个几何体的三视图如图所示,则该几何体的体积为
.

题号:1004816
题型:填空题
难易度:较易
日期:2013-04-25
来源:2013届陕西省师大附中高三第四次模拟考试理科数学试卷(带解析)
【题文】已知函数

满足:当x≥4时,

=

;当x<4时

=

,则

=______.
题号:1004817
题型:填空题
难易度:一般
日期:2013-04-25
来源:2013届陕西省师大附中高三第四次模拟考试理科数学试卷(带解析)
【题文】已知等差数列

的前n项和为

,

,则数列

的前100项和为________.
题号:1004771
题型:解答题
难易度:较易
日期:2013-04-25
来源:2013届陕西省师大附中高三第四次模拟考试理科数学试卷(带解析)
【题文】如图,四棱锥

的底面

为一直角梯形,其中

,

底面

,

是

的中点.

(Ⅰ)求证:

//平面

;
(Ⅱ)若

平面

,求平面

与平面

夹角的余弦值.
题号:1004812
题型:解答题
难易度:较易
日期:2013-04-25
来源:2013届陕西省师大附中高三第四次模拟考试理科数学试卷(带解析)
【题文】已知

的三个内角

、

、

的对边分别为

、

、

,且

.
(Ⅰ) 求

的值;
(Ⅱ)若

,求

周长的最大值.
题号:4191772
题型:解答题
难易度:较易
日期:2013-04-26
来源:2013届陕西省师大附中高三第四次模拟考试理科数学试卷(带解析)
【题文】已知函数

.
(Ⅰ)设函数

的图像的顶点的纵坐标构成数列

,求证:

为等差数列;
(Ⅱ)设函数

的图像的顶点到

轴的距离构成数列

,求

的前

项和

.
题号:4191773
题型:解答题
难易度:容易
日期:2013-04-26
来源:2013届陕西省师大附中高三第四次模拟考试理科数学试卷(带解析)
【题文】某品牌汽车4S店对最近100位采用分期付款的购车者进行统计,统计结果如下表所示:
付款方式
| 分1期
| 分2期
| 分3期
| 分4期
| 分5期
|
频数
| 40
| 20
| 
| 10
| 
|
已知分3期付款的频率为0.2,4s店经销一辆该品牌的汽车,顾客分1期付款,其利润为1万元,分2期或3期付款其利润为1.5万元,分4期或5期付款,其利润为2万元,用
Y表示经销一辆汽车的利润。
(Ⅰ)求上表中

的值;
(Ⅱ)若以频率作为概率,求事件

:“购买该品牌汽车的3位顾客中,至多有一位采用3期付款”的概率

;
(Ⅲ)求
Y的分布列及数学期望
EY.
题号:4191774
题型:解答题
难易度:较易
日期:2013-09-13
来源:2013届陕西省师大附中高三第四次模拟考试理科数学试卷(带解析)
【题文】如图,
F1,
F2是离心率为

的椭圆
C:

(
a>
b>0)的左、右焦点,直线

:
x=-

将线段
F1F2分成两段,其长度之比为1 : 3.设
A,
B是椭圆
C上的两个动点,线段
AB的中垂线与
C交于
P,
Q两点,线段
AB的中点
M在直线
l上.

(Ⅰ) 求椭圆
C的方程;
(Ⅱ) 求

的取值范围.
题号:4191775
题型:解答题
难易度:容易
日期:2013-04-26
来源:2013届陕西省师大附中高三第四次模拟考试理科数学试卷(带解析)
【题文】已知函数

.
(Ⅰ)若曲线

在

和

处的切线互相平行,求

的值;
(Ⅱ)求

的单调区间;
(Ⅲ)设

,若对任意

,均存在

,使得

,求

的取值范围.