适用年级:{{getGradeNameByProperty('高三|高考模拟|河南|2012年')}} 试卷类型:{{getTestPaperTypeName('高三|高考模拟|河南|2012年')}} 使用省份:{{getAreaName('高三|高考模拟|河南|2012年')}}
试卷年份:{{getYear('高三|高考模拟|河南|2012年')}}上传日期:2012-04-05题数:23
提示:单击题文可显示答案与解析。
题号:1089105
题型:选择题
难易度:较易
日期:2012-04-05
来源:2012届河南省豫北六校高三第二次精英联赛考试理科数学试卷
【题文】设变量x,y满足:

的最大值为( )
| A.8 | B.3 | C. | D. |
题号:1089106
题型:选择题
难易度:较易
日期:2012-04-05
来源:2012届河南省豫北六校高三第二次精英联赛考试理科数学试卷
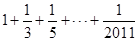
【题文】如图给出的是计算

的值的一个程序框图,其中判断框内应填入的条件是( )

题号:1089107
题型:选择题
难易度:容易
日期:2012-04-05
来源:2012届河南省豫北六校高三第二次精英联赛考试理科数学试卷
【题文】设复数

的共轭复数为

,若

(

为虚数单位)则

的值为
题号:4198916
题型:选择题
难易度:容易
日期:2012-11-08
来源:2012届河南省豫北六校高三第二次精英联赛考试理科数学试卷
【题文】已知双曲线

的渐近线均和圆

相切,且双曲线的右焦点为圆C的圆心,则该双曲线的方程为
题号:4198917
题型:选择题
难易度:容易
日期:2012-11-08
来源:2012届河南省豫北六校高三第二次精英联赛考试理科数学试卷
【题文】下列命题中正确命题的个数是
(1)命题“若

,则x = 1”的逆否命题为“若x ≠ 1则

”;
(2)设回归直线方程

=1+2x中,

x平均增加1个单位时,

平均增加2个单位 ;
(3)若

为假命题,则

均为假命题 ;
(4)对命题

:

使得

,则


均有

;
(5)设随机变量

服从正态分布N(0,1),若

,则

题号:4198918
题型:选择题
难易度:较易
日期:2012-11-08
来源:2012届河南省豫北六校高三第二次精英联赛考试理科数学试卷
题号:4198919
题型:选择题
难易度:较易
日期:2012-11-08
来源:2012届河南省豫北六校高三第二次精英联赛考试理科数学试卷
题号:4198920
题型:选择题
难易度:较易
日期:2012-11-08
来源:2012届河南省豫北六校高三第二次精英联赛考试理科数学试卷
【题文】在三棱锥S—ABC中,AB⊥BC,AB=BC=

,SA=SC=2,,二面角S—AC—B的余弦值是

,若S、A、B、C都在同一球面上,则该球的表面积是( )
A、

B、

C、24

D、6

题号:4198922
题型:选择题
难易度:
日期:2012-04-05
来源:2012届河南省豫北六校高三第二次精英联赛考试理科数学试卷
【题文】把函数y=sin(x+

)图像上各点的横坐标缩短为原来的

倍(纵坐标不变),再将图像向右平移

个单位,那么所得图像的一条对称轴方程为 ( )
题号:4198923
题型:选择题
难易度:
日期:2012-04-05
来源:2012届河南省豫北六校高三第二次精英联赛考试理科数学试卷
【题文】如图,三棱柱ABC-A
1B
1C
1的侧棱长和底面边长均为2,且侧棱AA
1
底面ABC,其正(主)视图是边长为2的正方形,则此三棱柱侧(左)视图的面积为( )

题号:4198924
题型:选择题
难易度:
日期:2012-04-05
来源:2012届河南省豫北六校高三第二次精英联赛考试理科数学试卷
题号:1089103
题型:填空题
难易度:容易
日期:2012-04-05
来源:2012届河南省豫北六校高三第二次精英联赛考试理科数学试卷
【题文】已知集合

,记和

中所有不同值的个数为

.如当

时,由

,

,

,

,

,得

.对于集合

,若实数

成等差数列,则

=
.
题号:4198921
题型:填空题
难易度:容易
日期:2012-11-08
来源:2012届河南省豫北六校高三第二次精英联赛考试理科数学试卷
【题文】已知

是抛物线

的焦点,过

且斜率为

的直线交

于

两点.设

<

,若

,则λ的值为
题号:4198925
题型:填空题
难易度:
日期:2012-04-05
来源:2012届河南省豫北六校高三第二次精英联赛考试理科数学试卷
【题文】某高校进行自主招生面试时的程序如下:共设3道题,每道题答对给10分、答错倒扣5分(每道题都必须回答,但相互不影响).设某学生对每道题答对的概率都为

,则该学生在面试时得分的期望值为
分.
题号:4198926
题型:填空题
难易度:
日期:2012-04-05
来源:2012届河南省豫北六校高三第二次精英联赛考试理科数学试卷
【题文】若

、

为两条不重合的直线,

、

为两个不重合的平面,给出下列命题
①若

、

都平行于平面

,则

、

一定不是相交直线;②若

、

为都垂直于平面

,则

、

一定是平行直线;③已知

、

互相垂直,

、

互相垂直,若

;④

、

在平面

内的射影互相垂直,则

、

互相垂直。其中的假命题的序号是
题号:1089099
题型:解答题
难易度:容易
日期:2012-04-05
来源:2012届河南省豫北六校高三第二次精英联赛考试理科数学试卷
【题文】在极坐标系中,圆C的极坐标方程为

,以极点为原点,极轴为x轴的正半轴建立平面直角坐标系,直线

的参数方程为

(t为参数),求直线

被圆C所截得的弦长.
题号:1089100
题型:解答题
难易度:较易
日期:2012-04-05
来源:2012届河南省豫北六校高三第二次精英联赛考试理科数学试卷
【题文】已知四边形

满足

∥

,

,

是

的中点,将

沿着

翻折成

,使面

面

,

为

的中点.

(Ⅰ)求四棱

的体积;
(Ⅱ)证明:

∥面

;
(Ⅲ)求面

与面

所成二面角的余弦值.
题号:1089101
题型:解答题
难易度:较易
日期:2012-04-05
来源:2012届河南省豫北六校高三第二次精英联赛考试理科数学试卷
【题文】某中学将100名高一新生分成水平相同的甲、乙两个“平行班”,每班50人.陈老师采用A、B两种不同的教学方式分别在甲、乙两个班级进行教改实验.为了解教学效果,期末考试后,陈老师对甲、乙两个班级的学生成绩进行统计分析,画出频率分布直方图(如右图).记成绩不低于90分者为“成绩优秀”.

(I)从乙班随机抽取2名学生的成绩,记“成绩优秀”的个数为

,求

的分布列和数学期望;
(II)根据频率分布直方图填写下面

列联表,并判断是否有95%的把握认为“成绩优秀”与教学方式有关。
题号:1089102
题型:解答题
难易度:容易
日期:2012-04-05
来源:2012届河南省豫北六校高三第二次精英联赛考试理科数学试卷
【题文】已知各项都是正数的等比数列

,满足

(I)证明数列

是等差数列;
(II)若

,当

时, 不等式

对

的正整数恒成立,求

的取值范围.
题号:3858623
题型:解答题
难易度:容易
日期:2013-06-20
来源:2012届河南省豫北六校高三第二次精英联赛考试理科数学试卷
【题文】如图,已知PA与圆O相切于点A,经过点O的割线PBC交圆O于点B、C,

的平分线分别交AB、AC于点D、E.
(Ⅰ)证明:

(Ⅱ)若AC=AP,求

的值

题号:4198927
题型:解答题
难易度:
日期:2012-04-05
来源:2012届河南省豫北六校高三第二次精英联赛考试理科数学试卷
【题文】如图,曲线

是以原点O为中心、

为焦点的椭圆的一部分,曲线

是以O为顶点、

为焦点的抛物线的一部分,A是曲线

和

的交点且

为钝角,若

,

.
(Ⅰ)求曲线

和

的方程;
(Ⅱ)过

作一条与

轴不垂直的直线,分别与曲线

依次交于B、C、D、E四点,若G为CD中点、H为BE中点,问

是否为定值?若是求出定值;若不是说明理由.
题号:4198928
题型:解答题
难易度:
日期:2012-04-05
来源:2012届河南省豫北六校高三第二次精英联赛考试理科数学试卷
【题文】已知函数

,

.
(Ⅰ)判定

在

上的单调性;
(Ⅱ)求

在

上的最小值;
(Ⅲ)若

,

,求实数

的取值范围.
题号:4198929
题型:解答题
难易度:
日期:2012-04-05
来源:2012届河南省豫北六校高三第二次精英联赛考试理科数学试卷
【题文】设函数

.
(Ⅰ)解不等式

;
(Ⅱ)对于实数

,若

,求证

.