[切换地区]

2012届东北四校高三第一次高考模拟考试理科数学

适用年级:{{getGradeNameByProperty('高三|高考模拟|吉林|2012年')}} 试卷类型:{{getTestPaperTypeName('高三|高考模拟|吉林|2012年')}} 使用省份:{{getAreaName('高三|高考模拟|吉林|2012年')}}
试卷年份:{{getYear('高三|高考模拟|吉林|2012年')}}上传日期:2012-03-22题数:24
浏览次数:477
提示:单击题文可显示答案与解析。
1学币
题号:1090730 题型:选择题 难易度:较易 日期:2012-03-22 来源:2012届东北四校高三第一次高考模拟考试理科数学
【题文】.已知定义在R上的奇函数,设其导函数,当时,恒有,令,则满足的实数x的取值范围是(   )
A.(-1,2)B.C.D.(-2,1)

【答案】

【解析】

登录学易云,内容更精彩! 抱歉,未登录用户无法看答案与解析!

立即登录 还不是学易云用户?

题号:1090731 题型:选择题 难易度:容易 日期:2012-03-22 来源:2012届东北四校高三第一次高考模拟考试理科数学
【题文】某程序框图如右图所示,则输出的结果是(   )
A.43B.44
C.45D.46

【答案】

【解析】

登录学易云,内容更精彩! 抱歉,未登录用户无法看答案与解析!

立即登录 还不是学易云用户?

题号:1090732 题型:选择题 难易度:容易 日期:2012-03-22 来源:2012届东北四校高三第一次高考模拟考试理科数学
【题文】若,则a的值是(   )
A.2B.3
C.4D.6

【答案】

【解析】

登录学易云,内容更精彩! 抱歉,未登录用户无法看答案与解析!

立即登录 还不是学易云用户?

题号:4199285 题型:选择题 难易度:容易 日期:2012-08-15 来源:2012届东北四校高三第一次高考模拟考试理科数学
【题文】集合中含有的元素个数为(   )
A.4B.6C.8D.12

【答案】

【解析】

登录学易云,内容更精彩! 抱歉,未登录用户无法看答案与解析!

立即登录 还不是学易云用户?

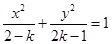
题号:4199286 题型:选择题 难易度:容易 日期:2012-08-15 来源:2012届东北四校高三第一次高考模拟考试理科数学
【题文】已知方程表示焦点在y轴上的椭圆,则实数k的取值范围是(   )
A.B.C.D.

【答案】

【解析】

登录学易云,内容更精彩! 抱歉,未登录用户无法看答案与解析!

立即登录 还不是学易云用户?

题号:4199287 题型:选择题 难易度:容易 日期:2013-01-29 来源:2012届东北四校高三第一次高考模拟考试理科数学
【题文】下列有关命题的说法中,正确的是(   )
A.命题“若,则”的否命题为“若,则
B.命题“若”的逆命题为真命题
C.命题“”的否定是“
D.“”是“”的充分不必要条件

【答案】

【解析】

登录学易云,内容更精彩! 抱歉,未登录用户无法看答案与解析!

立即登录 还不是学易云用户?

题号:4199288 题型:选择题 难易度:容易 日期:2012-07-27 来源:2012届东北四校高三第一次高考模拟考试理科数学
【题文】是指大气中直径小于或等于2.5微米的颗粒物,也称为可
入肺颗粒物,右图是据北京某日早7点至晚8点甲、乙两个
监测点统计的数据(单位:毫克/每立方米)列出的茎叶图,则
甲、乙两地浓度的中位数较低的是(   )
A.甲B.乙C.甲乙相等D.无法确定

【答案】

【解析】

登录学易云,内容更精彩! 抱歉,未登录用户无法看答案与解析!

立即登录 还不是学易云用户?

题号:4199289 题型:选择题 难易度:容易 日期:2012-08-15 来源:2012届东北四校高三第一次高考模拟考试理科数学
【题文】在中,是AB边上的一点,CD=2,的面积为4,则AC的长为                

【答案】

【解析】

登录学易云,内容更精彩! 抱歉,未登录用户无法看答案与解析!

立即登录 还不是学易云用户?

题号:4199290 题型:选择题 难易度:较易 日期:2012-05-23 来源:2012届东北四校高三第一次高考模拟考试理科数学
【题文】一个几何体的三视图及尺寸如下图所示,其中正视图是直角三角形,侧视图是半圆,俯视图是等腰三角形,该几何体的表面积是(   )
A.
B.
C.
D.

【答案】

【解析】

登录学易云,内容更精彩! 抱歉,未登录用户无法看答案与解析!

立即登录 还不是学易云用户?

题号:4199291 题型:选择题 难易度:容易 日期:2012-05-23 来源:2012届东北四校高三第一次高考模拟考试理科数学
【题文】过双曲线的右焦点F作实轴所在直线的垂线,交双曲线于A,B两点,设双曲线的左顶点M,若是直角三角形,则此双曲线的离心率e的值为(   )
A.B.2C.D.

【答案】

【解析】

登录学易云,内容更精彩! 抱歉,未登录用户无法看答案与解析!

立即登录 还不是学易云用户?

题号:4199292 题型:选择题 难易度:容易 日期:2012-07-10 来源:2012届东北四校高三第一次高考模拟考试理科数学
【题文】.如下图,给定两个平面向量,它们的夹角为,点C在以O为圆心的圆弧AB上,且(其中),则满足的概率为(   )
A.B.
C.D.

【答案】

【解析】

登录学易云,内容更精彩! 抱歉,未登录用户无法看答案与解析!

立即登录 还不是学易云用户?

题号:4199293 题型:选择题 难易度:容易 日期:2012-10-26 来源:2012届东北四校高三第一次高考模拟考试理科数学
【题文】已知,且函数恰有3个不同的零点,则实数a的取值范围是(   )
A.[-4,0]B.C.D.

【答案】

【解析】

登录学易云,内容更精彩! 抱歉,未登录用户无法看答案与解析!

立即登录 还不是学易云用户?

题号:1090708 题型:填空题 难易度:容易 日期:2012-03-22 来源:2012届东北四校高三第一次高考模拟考试理科数学
【题文】已知函数,若的一个单调递增区间,则的值为                 

【答案】

【解析】

登录学易云,内容更精彩! 抱歉,未登录用户无法看答案与解析!

立即登录 还不是学易云用户?

题号:1090709 题型:填空题 难易度:容易 日期:2012-03-22 来源:2012届东北四校高三第一次高考模拟考试理科数学
【题文】已知i为虚数单位,则复数的虚部是       

【答案】

【解析】

登录学易云,内容更精彩! 抱歉,未登录用户无法看答案与解析!

立即登录 还不是学易云用户?

题号:4199294 题型:填空题 难易度:容易 日期:2013-05-20 来源:2012届东北四校高三第一次高考模拟考试理科数学
【题文】给出下列不等式:,…,则按此规律可猜想第n个不等式为      

【答案】

【解析】

登录学易云,内容更精彩! 抱歉,未登录用户无法看答案与解析!

立即登录 还不是学易云用户?

题号:4199295 题型:填空题 难易度:容易 日期:2012-08-15 来源:2012届东北四校高三第一次高考模拟考试理科数学
【题文】在中,是AB边上的一点,CD=2,的面积为4,则AC的长为                

【答案】

【解析】

登录学易云,内容更精彩! 抱歉,未登录用户无法看答案与解析!

立即登录 还不是学易云用户?

题号:1090707 题型:解答题 难易度:容易 日期:2012-03-22 来源:2012届东北四校高三第一次高考模拟考试理科数学
【题文】(本小题满分12分)
已知为等比数列,为等差数列的前n项和,
(1)求的通项公式;
(2)设,求

【答案】

【解析】

登录学易云,内容更精彩! 抱歉,未登录用户无法看答案与解析!

立即登录 还不是学易云用户?

题号:4199296 题型:解答题 难易度:容易 日期:2012-07-27 来源:2012届东北四校高三第一次高考模拟考试理科数学
【题文】(本小题满分12分)
哈尔滨冰雪大世界每年冬天都会吸引大批游客,现准备在景区内开设经营热饮等食品的店铺若干。根据以往对500名40岁以下(含40岁)人员和500名40岁以上人员的统计调查,有如下一系列数据:40岁以下(含40岁)人员购买热饮等食品的有260人,不购买热饮食品的有240人;40岁以上人员购买热饮等食品的有220人,不购买热饮等食品的有280人,请根据以上数据作出22列联表,并运用独立性检验思想,判断购买热饮等食品与年龄(按上述统计中的年龄分类方式)是否有关系?
注:要求达到99.9%的把握才能认定为有关系。
s

【答案】

【解析】

登录学易云,内容更精彩! 抱歉,未登录用户无法看答案与解析!

立即登录 还不是学易云用户?

题号:4199297 题型:解答题 难易度:较易 日期:2012-07-27 来源:2012届东北四校高三第一次高考模拟考试理科数学
【题文】(本小题满分12分)
已知斜三棱柱ABC—A1B1C1的底面是正三角形,侧面ABB1A1是菱形,且,M是A1B1的中点,
(1)求证:平面ABC;
(2)求二面角A1—BB­1—C的余弦值。

【答案】

【解析】

登录学易云,内容更精彩! 抱歉,未登录用户无法看答案与解析!

立即登录 还不是学易云用户?

题号:4199298 题型:解答题 难易度:容易 日期:2012-07-27 来源:2012届东北四校高三第一次高考模拟考试理科数学
【题文】(本小题满分12分)
已知椭圆M的中心为坐标原点 ,且焦点在x轴上,若M的一个顶点恰好是抛物线的焦点,M的离心率,过M的右焦点F作不与坐标轴垂直的直线,交M于A,B两点。
(1)求椭圆M的标准方程;
(2)设点N(t,0)是一个动点,且,求实数t的取值范围。

【答案】

【解析】

登录学易云,内容更精彩! 抱歉,未登录用户无法看答案与解析!

立即登录 还不是学易云用户?

题号:4199299 题型:解答题 难易度:容易 日期:2012-07-27 来源:2012届东北四校高三第一次高考模拟考试理科数学
【题文】(本小题满分12分)
已知函数处取得极值为2,设函数图象上任意一点处的切线斜率为k。
(1)求k的取值范围;
(2)若对于任意,存在k,使得,求证:

【答案】

【解析】

登录学易云,内容更精彩! 抱歉,未登录用户无法看答案与解析!

立即登录 还不是学易云用户?

题号:4199300 题型:解答题 难易度:容易 日期:2012-07-27 来源:2012届东北四校高三第一次高考模拟考试理科数学
【题文】(本小题满分10分)选修41:几何证明选讲
如图,相交于A、B两点,AB是的直径,过A点作的切线交于点E,并与BO1的延长线交于点P,PB分别与交于C,D两点。
求证:(1)PA·PD=PE·PC;
(2)AD=AE。

【答案】

【解析】

登录学易云,内容更精彩! 抱歉,未登录用户无法看答案与解析!

立即登录 还不是学易云用户?

题号:4199301 题型:解答题 难易度:较易 日期:2012-07-27 来源:2012届东北四校高三第一次高考模拟考试理科数学
【题文】.(本小题满分10分)选修4—4:坐标系与参数方程
在极坐标系中,曲线,过点A(5,α)(α为锐角且)作平行于的直线,且与曲线L分别交于B,C两点。(1)以极点为原点,极轴为x轴的正半轴,取与极坐标相同单位长度,建立平面直角坐标系,写出曲线L和直线的普通方程;(2)求|BC|的长。

【答案】

【解析】

登录学易云,内容更精彩! 抱歉,未登录用户无法看答案与解析!

立即登录 还不是学易云用户?

题号:4199302 题型:解答题 难易度:较易 日期:2012-07-19 来源:2012届东北四校高三第一次高考模拟考试理科数学
【题文】(本小题满分10分)选修4—5:不等式选讲
已知关于x的不等式(其中)。
(1)当a=4时,求不等式的解集;
(2)若不等式有解,求实数a的取值范围。

【答案】

【解析】

登录学易云,内容更精彩! 抱歉,未登录用户无法看答案与解析!

立即登录 还不是学易云用户?