适用年级:{{getGradeNameByProperty('高三|高考模拟|安徽|2012年')}} 试卷类型:{{getTestPaperTypeName('高三|高考模拟|安徽|2012年')}} 使用省份:{{getAreaName('高三|高考模拟|安徽|2012年')}}
试卷年份:{{getYear('高三|高考模拟|安徽|2012年')}}上传日期:2012-03-20题数:21
提示:单击题文可显示答案与解析。
题号:1091786
题型:选择题
难易度:较易
日期:2012-03-20
来源:2012届安徽省江南十校高三素质教育联考理科数学试卷(带解析)
【题文】若不等式组

表示的平面区三角形,则实数K的取值范围是
题号:1091787
题型:选择题
难易度:容易
日期:2012-03-20
来源:2012届安徽省江南十校高三素质教育联考理科数学试卷(带解析)
【题文】已知定义在上的函数

,其导函数

双图象如图所示,则下列叙述正确的是()

题号:1091788
题型:选择题
难易度:较易
日期:2012-03-20
来源:2012届安徽省江南十校高三素质教育联考理科数学试卷(带解析)
【题文】沿一个正方体三个面的对角线截得的几何体如图所示,则该几何体的左视图为()

题号:1091789
题型:选择题
难易度:容易
日期:2012-03-20
来源:2012届安徽省江南十校高三素质教育联考理科数学试卷(带解析)
【题文】设函数

在及上有定义对雅定的正数M,定义函数

则称函数

为

的“孪生函数”.若给定函数

,则

的值为( )
| A.2 | B.1 | C. | D. |
题号:1091810
题型:选择题
难易度:容易
日期:2012-03-20
来源:2012届安徽省江南十校高三素质教育联考理科数学试卷(带解析)
【题文】现有甲、乙、丙、丁四名义工到三个不同的社区参加公益活动.若每个社区至少一名义工,则甲、乙两人被分到不同社区的概率为()
题号:1091811
题型:选择题
难易度:较易
日期:2012-03-20
来源:2012届安徽省江南十校高三素质教育联考理科数学试卷(带解析)
【题文】若双曲线

的一个焦点为(2,0),则它的离心率为( )
题号:1091812
题型:选择题
难易度:容易
日期:2012-03-20
来源:2012届安徽省江南十校高三素质教育联考理科数学试卷(带解析)
【题文】己知

为虚数单位,若(1-2i)(a +i)为纯虚数,则a的值等于( )
题号:4199658
题型:选择题
难易度:较易
日期:2012-05-23
来源:2012届安徽省江南十校高三素质教育联考理科数学试卷(带解析)
题号:4199659
题型:选择题
难易度:较易
日期:2012-07-20
来源:2012届安徽省江南十校高三素质教育联考理科数学试卷(带解析)
【题文】巳知函数.

有两个不同的零点

且方程,

有两个不同的实根

.若把这四个数按从小到大排列构成等差数列,则实数m的值为( )
题号:4199664
题型:选择题
难易度:
日期:2012-03-20
来源:2012届安徽省江南十校高三素质教育联考理科数学试卷(带解析)
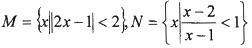
【题文】已知集合

,则

等于( )
题号:1091784
题型:填空题
难易度:容易
日期:2012-03-20
来源:2012届安徽省江南十校高三素质教育联考理科数学试卷(带解析)
【题文】如图是一副直角三角板.现将两三角板拼成直二面角,得到四面体ABCD,则下列叙述正确的是. _________
①
;②平面BCD的法向量与平面ACD的法向量垂直;③异面直线BC与AD所成的角为60%④四面体有外接球;⑤直线DC与平面ABC所成的角为30
0
题号:1091785
题型:填空题
难易度:容易
日期:2012-03-20
来源:2012届安徽省江南十校高三素质教育联考理科数学试卷(带解析)
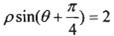
【题文】在极坐标系中,直线

被圆

所截得的弦长为________
题号:4199660
题型:填空题
难易度:较易
日期:2012-08-27
来源:2012届安徽省江南十校高三素质教育联考理科数学试卷(带解析)
【题文】根据《中华人民共和国道路交通安全法》规定:车辆驾驶员血液酒精浓度在20〜80mg/100mL(不含80)之间,属于酒后驾车;血液酒精浓度在80mg/100mL(含80)以上时,属醉酒驾车.据有关报道,在某个时期某地区查处酒后驾车和醉酒驾车共500人,如图是对这500人血液中酒精含量进行检测所得结果的频率分布直方图,则属于醉酒驾车的人数约为_________.

题号:4199661
题型:填空题
难易度:容易
日期:2013-04-07
来源:2012届安徽省江南十校高三素质教育联考理科数学试卷(带解析)
【题文】某程序框图如图所示,该程序运行后输出的n的值是________

题号:4199662
题型:填空题
难易度:较易
日期:2012-03-20
来源:2012届安徽省江南十校高三素质教育联考理科数学试卷(带解析)
【题文】如衝放置的正方形ABCD,AB= 1.A,D分别在X轴、y轴的正半轴(含原点)上滑动,则

的最大值是_________.

题号:1091779
题型:解答题
难易度:较易
日期:2012-03-20
来源:2012届安徽省江南十校高三素质教育联考理科数学试卷(带解析)
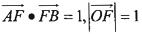
【题文】如图,椭圆的中心在坐标原点,长轴端点为A,B,右焦点为F,且

.
(I) 求椭圆的标准方程;
(II)过椭圆的右焦点F作直线

,直线l
1与椭圆分别交于点M,N,直线l
2与椭圆分别交于点P,Q,且

,求四边形MPNQ的面积S的最小值.

题号:1091780
题型:解答题
难易度:较易
日期:2012-03-20
来源:2012届安徽省江南十校高三素质教育联考理科数学试卷(带解析)
【题文】设M是由满足下列条件的函数

构成的集合:①方程,

有实数根②函数

的导数

满足

.
(I) 若函数

为集合M中的任意一个元素,证明:方程

只有一个实数根;
(II) 判断函数

是否是集合M中的元素,并说明理由;
(III) 设函数

为集合M中的任意一个元素,对于定义域中任意

,当

,且

时,证明:

.
题号:1091781
题型:解答题
难易度:较易
日期:2012-03-20
来源:2012届安徽省江南十校高三素质教育联考理科数学试卷(带解析)
【题文】“低碳经济”是促进社会可持续发展的推进器.某企业现有100万元资金可用于投资,如果投资“传统型”经济项目,一年后可能获利20%,可能损失10%,也可能不赔不赚,这三种情况发生的概率分别为

;如果投资“低碳型”经济项目,一年后可能获利30%,也
可能损失20%,这两种情况发生的概率分别为a和n (其中a + b =1 )如果把100万元投资“传统型”经济项目,用

表示投资收益(投资收益=回收资金一投资资金),求

的概率分布及均值(数学期望)

;(II)如果把100万元投资“低碳型”经济项目,预测其投资收益均值会不低于投资“传统型”经济项目的投资收益均值,求a的取值范围
题号:1091782
题型:解答题
难易度:较易
日期:2012-03-20
来源:2012届安徽省江南十校高三素质教育联考理科数学试卷(带解析)
【题文】在等比数列

中,

,且

,又

的等比中项为16.
(I) 求数列

的通项公式:
(II) 设

,数列

的前项和为

,是否存在正整数k,使得

对任意

恒成立.若存在,求出正整数k的最小值;不存在,请说明理由.
题号:1091783
题型:解答题
难易度:较易
日期:2012-03-20
来源:2012届安徽省江南十校高三素质教育联考理科数学试卷(带解析)
【题文】设函数

,(w为常数,且m >0),已知函数f(x)的最大值为2.
(I)求函数

的单调递减区间;
(II)已知a,b,c是

的三边,且

.若,

,求B的值.
题号:4199663
题型:解答题
难易度:容易
日期:2013-06-25
来源:2012届安徽省江南十校高三素质教育联考理科数学试卷(带解析)
【题文】如图,在多面体ABCDEFG中,四边形ABCD是边长为2的正方形,平面ABG、平面ADF、平面CDE都与平面ABCD垂直,且ΔABG, ΔADF,ΔCDE都是正三角形.
(I)求证:AC// EF;
(II) 求多面体ABCDEFG的体积.
