适用年级:{{getGradeNameByProperty('高三|高考模拟|安徽|2012年')}} 试卷类型:{{getTestPaperTypeName('高三|高考模拟|安徽|2012年')}} 使用省份:{{getAreaName('高三|高考模拟|安徽|2012年')}}
试卷年份:{{getYear('高三|高考模拟|安徽|2012年')}}上传日期:2012-02-22题数:21
提示:单击题文可显示答案与解析。
题号:1096598
题型:选择题
难易度:较易
日期:2012-02-22
来源:2012届安徽省东至县高三一模理科数学试卷
题号:1096599
题型:选择题
难易度:较易
日期:2012-02-22
来源:2012届安徽省东至县高三一模理科数学试卷
【题文】已知函数

,

,若当

时,

恒成立,则实数

的取值范围是( )
题号:1096600
题型:选择题
难易度:容易
日期:2012-02-22
来源:2012届安徽省东至县高三一模理科数学试卷
【题文】设

是满足条件

的任意正整数,则对各项不为0的数列

,

是数列

为等比数列的( )条件.
| A.充分不必要 | B.必要不充分 | C.充要条件 | D.既不充分也不必要 |
题号:1096601
题型:选择题
难易度:较易
日期:2012-02-22
来源:2012届安徽省东至县高三一模理科数学试卷
题号:1096602
题型:选择题
难易度:容易
日期:2012-02-22
来源:2012届安徽省东至县高三一模理科数学试卷
【题文】设

为定义在

上的奇函数,当

时,

(

为常数),则

=( )
题号:1096603
题型:选择题
难易度:较易
日期:2012-02-22
来源:2012届安徽省东至县高三一模理科数学试卷
题号:4201565
题型:选择题
难易度:
日期:2012-02-22
来源:2012届安徽省东至县高三一模理科数学试卷
【题文】

是定义域为

的增函数,且值域为

,则下列函数中为减函数的是( )
题号:4201566
题型:选择题
难易度:
日期:2012-02-22
来源:2012届安徽省东至县高三一模理科数学试卷
【题文】已知

和点

满足

,若存在实数

使得

成立,则

=( )
题号:4201567
题型:选择题
难易度:
日期:2012-02-22
来源:2012届安徽省东至县高三一模理科数学试卷
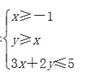
【题文】若变量
x,
y满足约束条件

,则
z=2
x+
y的最大值为( )
题号:4201568
题型:选择题
难易度:
日期:2012-02-22
来源:2012届安徽省东至县高三一模理科数学试卷
【题文】已知二次函数

的导函数为

,

,f(x)与
x轴恰有一个交点,则

的最小值为 ( )
题号:1096594
题型:填空题
难易度:较易
日期:2012-02-22
来源:2012届安徽省东至县高三一模理科数学试卷
【题文】若函数

的值域是定义域的子集,那么

叫做“集中函数”,则下列函数:



可以称为“集中函数”的是____________(请把符合条件的序号全部填在横线上).
题号:1096595
题型:填空题
难易度:容易
日期:2012-02-22
来源:2012届安徽省东至县高三一模理科数学试卷
【题文】定积分

的值为______________.
题号:1096596
题型:填空题
难易度:较易
日期:2012-02-22
来源:2012届安徽省东至县高三一模理科数学试卷
【题文】已知

是非零向量,且夹角为

,则向量

的模为_____________.
题号:1096597
题型:填空题
难易度:容易
日期:2012-02-22
来源:2012届安徽省东至县高三一模理科数学试卷
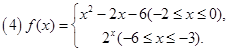
【题文】已知函数

则


的值为____________.
题号:4201569
题型:填空题
难易度:
日期:2012-02-22
来源:2012届安徽省东至县高三一模理科数学试卷
【题文】把一个函数图像按向量

平移后,得到的图象的表达式为

,则原函数的解析式为
.
题号:1096590
题型:解答题
难易度:一般
日期:2012-02-22
来源:2012届安徽省东至县高三一模理科数学试卷
【题文】设等差数列

的前

项和为

,且

,

.
(Ⅰ)求

的值及

的通项公式;
(Ⅱ)证明:

.
题号:1096591
题型:解答题
难易度:一般
日期:2012-02-22
来源:2012届安徽省东至县高三一模理科数学试卷
【题文】已知向量

,若

=

(Ⅰ)当

时,求

在区间

上的取值范围;
(Ⅱ)当

时,

,求

的值.
题号:1096592
题型:解答题
难易度:一般
日期:2012-02-22
来源:2012届安徽省东至县高三一模理科数学试卷
【题文】已知命题

:不等式

恒成立 ;命题

:函数

的定义域为

,若“

”为真,“

”为假,求

的取值范围。
题号:1096593
题型:解答题
难易度:一般
日期:2012-02-22
来源:2012届安徽省东至县高三一模理科数学试卷
【题文】已知集合
A=

,
B=

.
(Ⅰ)当
a=2时,求
A
B;
(Ⅱ)求使

的实数
a的取值范围.
题号:4201570
题型:解答题
难易度:
日期:2012-02-22
来源:2012届安徽省东至县高三一模理科数学试卷
【题文】在△ABC中,a, b, c分别为内角A, B, C的对边,且

(Ⅰ)求A的大小; (Ⅱ)求

的最大值.
题号:4201571
题型:解答题
难易度:
日期:2012-02-22
来源:2012届安徽省东至县高三一模理科数学试卷
【题文】已知

是定义在

上的奇函数,且

,若

时有

(Ⅰ)判断

在

上的单调性,并证明你的结论;
(Ⅱ)解不等式:

;
(Ⅲ)若

对所有

,

恒成立,求实数

的取值范围.