适用年级:{{getGradeNameByProperty('高三|高考模拟|安徽|2016年')}} 试卷类型:{{getTestPaperTypeName('高三|高考模拟|安徽|2016年')}} 使用省份:{{getAreaName('高三|高考模拟|安徽|2016年')}}
试卷年份:{{getYear('高三|高考模拟|安徽|2016年')}}上传日期:2016-05-31题数:24
提示:单击题文可显示答案与解析。
题号:745032
题型:选择题
难易度:较难
日期:2016-05-31
来源:【百强校】2016届安徽省淮南市高三下学期二模文科数学试卷(带解析)
【题文】已知

为定义在

上的单调递增函数,

是其导函数,若对任意

的总有

,则下列大小关系一定正确的是( )
题号:745033
题型:选择题
难易度:较易
日期:2016-05-31
来源:【百强校】2016届安徽省淮南市高三下学期二模文科数学试卷(带解析)
【题文】一个三棱锥的三视图如图所示,则该棱锥的外接球的体积为( )

题号:745034
题型:选择题
难易度:一般
日期:2016-05-31
来源:【百强校】2016届安徽省淮南市高三下学期二模文科数学试卷(带解析)
【题文】在

中,点

在线段

的延长线上,且

,点

在线段

上(与点

不重合),若

,则

的取值范围是( )
题号:745035
题型:选择题
难易度:容易
日期:2016-05-31
来源:【百强校】2016届安徽省淮南市高三下学期二模文科数学试卷(带解析)
题号:745036
题型:选择题
难易度:一般
日期:2016-05-31
来源:【百强校】2016届安徽省淮南市高三下学期二模文科数学试卷(带解析)
【题文】若执行如图所示的程序框图,输入

,则输出的数

等于( )

题号:745037
题型:选择题
难易度:较易
日期:2016-05-31
来源:【百强校】2016届安徽省淮南市高三下学期二模文科数学试卷(带解析)
【题文】欧阳修《卖油翁》中写到:(翁)乃取一葫芦置于地,以钱覆其口,徐以杓酌油沥之,自钱孔人,而前不湿.可见,“行行出状元”,卖油翁的技艺让人叹为观止.若铜钱是直径为3

的圆,中间有边长为1

的正方形孔,若随机向铜钱上滴一滴油(油滴的大小忽略不计),则油滴正好落在孔中的概率是( )
题号:745058
题型:选择题
难易度:一般
日期:2016-05-31
来源:【百强校】2016届安徽省淮南市高三下学期二模文科数学试卷(带解析)
【题文】函数

的图象大致为( )

题号:745059
题型:选择题
难易度:一般
日期:2016-05-31
来源:【百强校】2016届安徽省淮南市高三下学期二模文科数学试卷(带解析)
【题文】以双曲线

的左右焦点为焦点,离心率为

的椭圆的标准方程为( )
题号:745060
题型:选择题
难易度:较易
日期:2016-05-31
来源:【百强校】2016届安徽省淮南市高三下学期二模文科数学试卷(带解析)
【题文】已知数列

满足:

,且

,则

前10项和等于( )
题号:745061
题型:选择题
难易度:较易
日期:2016-05-31
来源:【百强校】2016届安徽省淮南市高三下学期二模文科数学试卷(带解析)
【题文】“

”是“直线

与直线

垂直”的( )
| A.充分不必要条件 | B.必要不充分条件 |
| C.充要条件 | D.既不充分也不必要条件 |
题号:745062
题型:选择题
难易度:较易
日期:2016-05-31
来源:【百强校】2016届安徽省淮南市高三下学期二模文科数学试卷(带解析)
【题文】已知

,则

的值为( )
A. | B.2 | C. | D.-2 |
题号:745063
题型:选择题
难易度:一般
日期:2016-05-31
来源:【百强校】2016届安徽省淮南市高三下学期二模文科数学试卷(带解析)
题号:745028
题型:填空题
难易度:较易
日期:2016-05-31
来源:【百强校】2016届安徽省淮南市高三下学期二模文科数学试卷(带解析)
【题文】设数列

的前

项和为

,若

为常数,则称数列

为“精致数列”. 已知等差数列

的首项为1,公差不为0,若数列

为“精致数列”,则数列

的通项公式为
.
题号:745029
题型:填空题
难易度:一般
日期:2016-05-31
来源:【百强校】2016届安徽省淮南市高三下学期二模文科数学试卷(带解析)
【题文】过点

引直线

与圆

相交于

两点,

为坐标原点,当

面积取最大值时,直线

的斜率为
.
题号:745030
题型:填空题
难易度:较易
日期:2016-05-31
来源:【百强校】2016届安徽省淮南市高三下学期二模文科数学试卷(带解析)
【题文】函数

的单调递减区间是
.
题号:745031
题型:填空题
难易度:较易
日期:2016-05-31
来源:【百强校】2016届安徽省淮南市高三下学期二模文科数学试卷(带解析)
【题文】已知复数

,则
.
题号:745020
题型:解答题
难易度:一般
日期:2016-05-31
来源:【百强校】2016届安徽省淮南市高三下学期二模文科数学试卷(带解析)
【题文】设函数

.
(1)当

时,求不等式

的解集;
(2)若对任意

,不等式

的解集为空集,求实数

的取值范围.
题号:745021
题型:解答题
难易度:较易
日期:2016-05-31
来源:【百强校】2016届安徽省淮南市高三下学期二模文科数学试卷(带解析)
【题文】已知直线

(

为参数),曲线

(

为参数).
(1)设

与

相交于

两点,求

;
(2)若把曲线

上各点的横坐标压缩为原来的

,纵坐标压缩为原来的

,得到曲线

,设点

是曲线

上的一个动点,求它的直线

的距离的最小值.
题号:745022
题型:解答题
难易度:较易
日期:2016-05-31
来源:【百强校】2016届安徽省淮南市高三下学期二模文科数学试卷(带解析)
【题文】已知在

中,

,以

为直径的圆

交

于

,过

点作圆

的切线交

于

,求证:

(1)

;
(2)

.
题号:745023
题型:解答题
难易度:较难
日期:2016-05-31
来源:【百强校】2016届安徽省淮南市高三下学期二模文科数学试卷(带解析)
【题文】已知函数

,

,令

.
(1)当

时,求

的极值;
(2)当

时,若对任意

,使得

恒成立,求

的取值范围.
题号:745024
题型:解答题
难易度:较易
日期:2016-05-31
来源:【百强校】2016届安徽省淮南市高三下学期二模文科数学试卷(带解析)
【题文】已知椭圆


的两个焦点为

,其短轴长是

,原点

到过点

和

两点的直线的距离为

.
(1)求椭圆

的方程;
(2)若点

是定直线

上的两个动点,且

,证明:以

为直径的圆过定点,并求
定点的坐标.
题号:745025
题型:解答题
难易度:较易
日期:2016-05-31
来源:【百强校】2016届安徽省淮南市高三下学期二模文科数学试卷(带解析)
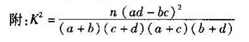
【题文】为了传承经典,促进课外阅读,某市从高中年级和初中年级各随机抽取40名同学进行有关对“四大名著”常识了解的竞赛.下图1和图2分别是高中和初中年级参加竞赛的学生成绩按

,

,

,

分组,得到频率分布直方图.

(1)若初中年级成绩在

之间的学生中恰有4名女同学,现从成绩在该组的初中年级的学生任选2名同学,求其中至少有1名男同学的概率;
(2)完成下列

列联表,并回答是否有99%的把握认为“两个学段的学生对‘四大名著’的了解有差异”?



题号:745026
题型:解答题
难易度:一般
日期:2016-05-31
来源:【百强校】2016届安徽省淮南市高三下学期二模文科数学试卷(带解析)
【题文】如图,三棱柱

中,

平面

,

分别为

的中点,点

在棱

上,且

.

(1)求证:

平面

;
(2)在棱

上是否存在一个点

,使得平面

将三棱柱分割成的两部分体积之比为

,若存在,指出点

的位置;若不存在,说明理由.
题号:745027
题型:解答题
难易度:一般
日期:2016-05-31
来源:【百强校】2016届安徽省淮南市高三下学期二模文科数学试卷(带解析)
【题文】在

中,边

分别是内角

所对的边,且满足

,设

的最大值为

.
(1)求

的值;
(2)当

,又

,求

的长.