[切换地区]

2012届安徽省江南十校高三素质教育联考文科数学试卷(带解析)

适用年级:{{getGradeNameByProperty('高三|高考模拟|安徽|2012年')}} 试卷类型:{{getTestPaperTypeName('高三|高考模拟|安徽|2012年')}} 使用省份:{{getAreaName('高三|高考模拟|安徽|2012年')}}
试卷年份:{{getYear('高三|高考模拟|安徽|2012年')}}上传日期:2012-03-20题数:21
浏览次数:544
提示:单击题文可显示答案与解析。
1学币
题号:1091775 题型:选择题 难易度:容易 日期:2012-03-20 来源:2012届安徽省江南十校高三素质教育联考文科数学试卷(带解析)
【题文】已知定直线l与平面a成60°角,点P是平面a内的一动点,且点p到直线l的距离为3,则动点P的轨迹是( )
A.圆B.椭圆的一部分C.抛物线的一部分D.椭圆

【答案】

【解析】

登录学易云,内容更精彩! 抱歉,未登录用户无法看答案与解析!

立即登录 还不是学易云用户?

题号:1091776 题型:选择题 难易度:容易 日期:2012-03-20 来源:2012届安徽省江南十校高三素质教育联考文科数学试卷(带解析)
【题文】在中,角A,B,C所对的边分别为a,b,c,已知,C=,="(" )
A.30°B.450C.45°或 1350D.60°

【答案】

【解析】

登录学易云,内容更精彩! 抱歉,未登录用户无法看答案与解析!

立即登录 还不是学易云用户?

题号:1091777 题型:选择题 难易度:较易 日期:2012-03-20 来源:2012届安徽省江南十校高三素质教育联考文科数学试卷(带解析)
【题文】据第六次全国人口普查的数据,得到我国人口的年龄频率分布直方图如下图所示:那么在一个总人口数为300万的城市中,年龄在[20,60)之间的人口数大约有( )
A.158万B.166万C.174万D.132万

【答案】

【解析】

登录学易云,内容更精彩! 抱歉,未登录用户无法看答案与解析!

立即登录 还不是学易云用户?

题号:1091778 题型:选择题 难易度:容易 日期:2012-03-20 来源:2012届安徽省江南十校高三素质教育联考文科数学试卷(带解析)
【题文】在下图的表格中,如果每格填上一个数后,每一横行成等差数列,每一纵列成等比数列,那么的值为( )
A.1B.2C.3D.4

【答案】

【解析】

登录学易云,内容更精彩! 抱歉,未登录用户无法看答案与解析!

立即登录 还不是学易云用户?

题号:4199651 题型:选择题 难易度:容易 日期:2012-03-20 来源:2012届安徽省江南十校高三素质教育联考文科数学试卷(带解析)
【题文】命题P:若,则的夹角为锐角;命题q若函数上都是减函数,则上是减函数,下列说法中正确的是( )
A.“p或q ”是真命题B.“ p或q”是假命题
C.为假命题D.为假命题

【答案】

【解析】

登录学易云,内容更精彩! 抱歉,未登录用户无法看答案与解析!

立即登录 还不是学易云用户?

题号:4199652 题型:选择题 难易度:较易 日期:2012-03-20 来源:2012届安徽省江南十校高三素质教育联考文科数学试卷(带解析)
【题文】下面框图所给的程序运行结果为s= 28,那么判断框中应填入的关于k的条件是()
A.B.C.D.

【答案】

【解析】

登录学易云,内容更精彩! 抱歉,未登录用户无法看答案与解析!

立即登录 还不是学易云用户?

题号:4199653 题型:选择题 难易度:较易 日期:2012-03-20 来源:2012届安徽省江南十校高三素质教育联考文科数学试卷(带解析)
【题文】已知关于X的方程的解集为P,则P中所有元素的和可能是( )
A.3,6,9 B.6,9,12 C.9,12,15D.6,12,15

【答案】

【解析】

登录学易云,内容更精彩! 抱歉,未登录用户无法看答案与解析!

立即登录 还不是学易云用户?

题号:4199654 题型:选择题 难易度: 日期:2012-03-20 来源:2012届安徽省江南十校高三素质教育联考文科数学试卷(带解析)
【题文】已知i为虚数单位,复数,则复数z在复平面上的对应点位于( )
A.第一象限B.第二象限C.第三象限D.第四象限

【答案】

【解析】

登录学易云,内容更精彩! 抱歉,未登录用户无法看答案与解析!

立即登录 还不是学易云用户?

题号:4199655 题型:选择题 难易度: 日期:2012-03-20 来源:2012届安徽省江南十校高三素质教育联考文科数学试卷(带解析)
【题文】若集合,则="(" )
A.B.C.D.

【答案】

【解析】

登录学易云,内容更精彩! 抱歉,未登录用户无法看答案与解析!

立即登录 还不是学易云用户?

题号:4199656 题型:选择题 难易度: 日期:2012-03-20 来源:2012届安徽省江南十校高三素质教育联考文科数学试卷(带解析)
【题文】已知x,y满足记目标函数z =" +" 的最大值为7,最小值为1,则b,c的值分别为( )
A.-1,-4B.-1,-3C.-2,-1D.-1,-2

【答案】

【解析】

登录学易云,内容更精彩! 抱歉,未登录用户无法看答案与解析!

立即登录 还不是学易云用户?

题号:1091770 题型:填空题 难易度:较易 日期:2012-03-20 来源:2012届安徽省江南十校高三素质教育联考文科数学试卷(带解析)
【题文】如图,正方体棱长为1,点,且,有以下四个结论:
,②;③.;④MN与是异面直线、其中正确结论的序号是________ (注:把你认为正确命题的序号都填上)

【答案】

【解析】

登录学易云,内容更精彩! 抱歉,未登录用户无法看答案与解析!

立即登录 还不是学易云用户?

题号:1091771 题型:填空题 难易度:较易 日期:2012-03-20 来源:2012届安徽省江南十校高三素质教育联考文科数学试卷(带解析)
【题文】令.如果对,满足为整数,则称k为“好数”,那么区间[l,2012]内所有的“好数”的和M=________.

【答案】

【解析】

登录学易云,内容更精彩! 抱歉,未登录用户无法看答案与解析!

立即登录 还不是学易云用户?

题号:1091772 题型:填空题 难易度:容易 日期:2012-03-20 来源:2012届安徽省江南十校高三素质教育联考文科数学试卷(带解析)
【题文】定义在[-2,2]上的奇函数在(0,2]上的图象如图所示,则不等式的解集为________,

【答案】

【解析】

登录学易云,内容更精彩! 抱歉,未登录用户无法看答案与解析!

立即登录 还不是学易云用户?

题号:1091773 题型:填空题 难易度:较易 日期:2012-03-20 来源:2012届安徽省江南十校高三素质教育联考文科数学试卷(带解析)
【题文】若某多面体的三视图(单位:cm)如图所示,其中正视图与俯视图均为等腰三角形,则此多面体的表面积为________cm2.v

【答案】

【解析】

登录学易云,内容更精彩! 抱歉,未登录用户无法看答案与解析!

立即登录 还不是学易云用户?

题号:1091774 题型:填空题 难易度:容易 日期:2012-03-20 来源:2012届安徽省江南十校高三素质教育联考文科数学试卷(带解析)
【题文】若,且,则的夹角是_______

【答案】

【解析】

登录学易云,内容更精彩! 抱歉,未登录用户无法看答案与解析!

立即登录 还不是学易云用户?

题号:1091765 题型:解答题 难易度:较易 日期:2012-03-20 来源:2012届安徽省江南十校高三素质教育联考文科数学试卷(带解析)
【题文】设M是由满足下列条件的函数f(X)构成的集合:
①方程有实数根;
②函数的导数 (满足
(I )若函数为集合M中的任一元素,试证明万程只有一个实根
(II)   判断函^是否是集合M中的元素,并说明理由;
(III)  “对于(II)中函数定义域内的任一区间,都存在,使得”,请利用函数的图象说明这一结论.

【答案】

【解析】

登录学易云,内容更精彩! 抱歉,未登录用户无法看答案与解析!

立即登录 还不是学易云用户?

题号:1091766 题型:解答题 难易度:较易 日期:2012-03-20 来源:2012届安徽省江南十校高三素质教育联考文科数学试卷(带解析)
【题文】若数列满足:
(I) 证明数列是等差数列;.
(II) 求使成立的最小的正整数n

【答案】

【解析】

登录学易云,内容更精彩! 抱歉,未登录用户无法看答案与解析!

立即登录 还不是学易云用户?

题号:1091767 题型:解答题 难易度:较易 日期:2012-03-20 来源:2012届安徽省江南十校高三素质教育联考文科数学试卷(带解析)
【题文】如图1所示,在边长为12的正方形中,点B、C在线段AD上,且AB = 3,BC = 4,作分别交于点B,P,作分别交于点,将该正方形沿折叠,使得重合,构成如图2所示的三棱柱
(I )求证:平面
(II)求多面体的体积.

【答案】

【解析】

登录学易云,内容更精彩! 抱歉,未登录用户无法看答案与解析!

立即登录 还不是学易云用户?

题号:1091768 题型:解答题 难易度:较易 日期:2012-03-20 来源:2012届安徽省江南十校高三素质教育联考文科数学试卷(带解析)
【题文】2011.年广州亚运会的一组志愿者全部通晓中文,并且每个志愿者还都通晓英语、日语和韩语中的一种(但无人通晓两种外语).已知从中任抽一人,其通晓中文和英语的概率为,通晓中文和日语的概率为.若通晓中文和韩语的人数不超过3人.
(I )求这组志愿者的人数;
(II)现从这组志愿者中选出通晓英语的志愿者1名,通晓韩语的志愿者1名,若甲通晓英语,乙通晓韩语,求甲和乙不全被选中的概率.

【答案】

【解析】

登录学易云,内容更精彩! 抱歉,未登录用户无法看答案与解析!

立即登录 还不是学易云用户?

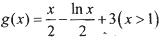
题号:1091769 题型:解答题 难易度:容易 日期:2012-03-20 来源:2012届安徽省江南十校高三素质教育联考文科数学试卷(带解析)
【题文】己知函数.
(I )若,,求的值;
(II)求函数的最大值和单调递增区间.

【答案】

【解析】

登录学易云,内容更精彩! 抱歉,未登录用户无法看答案与解析!

立即登录 还不是学易云用户?

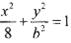
题号:4199657 题型:解答题 难易度: 日期:2012-03-20 来源:2012届安徽省江南十校高三素质教育联考文科数学试卷(带解析)
【题文】已知焦点在X轴上的椭圆C为.,F1、F2分别是椭圆C的左、右焦点,离心率e=.
(I )求椭圆C的方程;
(II) 设点Q的坐标为(1,0),椭圆上是否存在一点P,使得直线都与以Q为圆心的一个圆相切,如存在,求出P点坐标及圆的方程,如不存在,请说明理由.

【答案】

【解析】

登录学易云,内容更精彩! 抱歉,未登录用户无法看答案与解析!

立即登录 还不是学易云用户?