适用年级:{{getGradeNameByProperty('高三|高考模拟|安徽|2011年')}} 试卷类型:{{getTestPaperTypeName('高三|高考模拟|安徽|2011年')}} 使用省份:{{getAreaName('高三|高考模拟|安徽|2011年')}}
试卷年份:{{getYear('高三|高考模拟|安徽|2011年')}}上传日期:2011-04-06题数:21
提示:单击题文可显示答案与解析。
题号:1163808
题型:选择题
难易度:一般
日期:2011-04-06
来源:2011届安徽省合肥市高三第二次质量检测考试数学理卷
【题文】 一个盒子内部有如图所示的六个小格子,现有桔子,苹果和香蕉各两个,将这六个水果随机地放人这六个格子里,每个格子放一个,放好之后每行、每列的水果种类各不相同的概率是( )

题号:1163809
题型:选择题
难易度:一般
日期:2011-04-06
来源:2011届安徽省合肥市高三第二次质量检测考试数学理卷
【题文】 已知

,则Sin2a的值为( )
题号:1163810
题型:选择题
难易度:一般
日期:2011-04-06
来源:2011届安徽省合肥市高三第二次质量检测考试数学理卷
【题文】 在直角坐标系中,以坐标原点为极点x轴的正半轴为极轴建立极坐标系.直线I的参数方程是.

(r为参数),曲线C的极坐标方程是

=2,直线l与曲线C交于A、B,则|AB| ="(" )
A.

B.

C. 4 D.

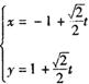
题号:1163811
题型:选择题
难易度:一般
日期:2011-04-06
来源:2011届安徽省合肥市高三第二次质量检测考试数学理卷
【题文】下列各坐标系中是一个函数与其导函数的图象,其中一定错误的是()

题号:1163812
题型:选择题
难易度:一般
日期:2011-04-06
来源:2011届安徽省合肥市高三第二次质量检测考试数学理卷
【题文】 设复数

,其中i为虚数单位,

,则|z|的取值范围是()
题号:1163813
题型:选择题
难易度:一般
日期:2011-04-06
来源:2011届安徽省合肥市高三第二次质量检测考试数学理卷
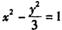
【题文】双曲线

的一个焦点到它的渐近线的距离为( )
| A.1 | B. | C. | D.2 |
题号:1163814
题型:选择题
难易度:一般
日期:2011-04-06
来源:2011届安徽省合肥市高三第二次质量检测考试数学理卷
题号:4211164
题型:选择题
难易度:一般
日期:2013-05-14
来源:2011届安徽省合肥市高三第二次质量检测考试数学理卷
【题文】ΔABC中,角A,B,C所对的边分别为a,b,c若

<cosA,则

ABC为( )

| A.钝角三角形 | B.直角三角形 | C.锐角三角形 | D.等边三角形 |
题号:4211165
题型:选择题
难易度:一般
日期:2013-01-16
来源:2011届安徽省合肥市高三第二次质量检测考试数学理卷
【题文】一个四棱锥的三视图如图所示,其侧视图是等边三角形.该四棱锥的体积等于( )

A.

B.


C.

D

题号:4211166
题型:选择题
难易度:一般
日期:2011-04-06
来源:2011届安徽省合肥市高三第二次质量检测考试数学理卷
【题文】 a<1是不等式|x-|+|x|>a (

)恒成立的(

)
A.充分不必要条件 B.必要不充分条件C.充要条

件D

.既不充分也不必要条件
题号:1163803
题型:填空题
难易度:一般
日期:2011-04-06
来源:2011届安徽省合肥市高三第二次质量检测考试数学理卷
【题文】 下列说法中,

正确的有__________ (把所有正确的序号都填上).
①“

,使

”的否定是“

,使

”;
②函数

的最小正周期是

;
③命题“函数

在

处有极值,则

=0”的否命题是真命题;

④已知函数

是函数.

在R上的导函数,若

是偶函数,则

是奇函数;
⑤

等于.

题号:1163804
题型:填空题
难易度:一般
日期:2011-04-06
来源:2011届安徽省合肥市高三第二次质量检测考试数学理卷
【题文】 程序框图如图,运行此程序,输出结果b=__________

题号:1163805
题型:填空题
难易度:一般
日期:2011-04-06
来源:2011届安徽省合肥市高三第二次质量检测考试数学理卷
【题文】点M(x,y)是不等式组

表示的平面区域

内的一动点,使y的值取得最小的点为

,则

为坐标原点)的取值范围是__________
题号:1163806
题型:填空题
难易度:一般
日期:2011-04-06
来源:2011届安徽省合肥市高三第二次质量检测考试数学理卷
【题文】 小王每月除去所有日常开支,大约结余a元.小王决定采用零存整取的方式把余钱积蓄起来,每月初存人银行a元.存期1年(存12次),到期取出本和息.假设一年期零存整取的月利率为r,每期存款按单利计息.那么,小王存款到期利息为__________元.
题号:1163807
题型:填空题
难易度:一般
日期:2011-04-06
来源:2011届安徽省合肥市高三第二次质量检测考试数学理卷
【题文】随机变量

服从正态分布"(0,1),若 P(

<1) ="0.8413" 则P(-1<

<0)="_____"
题号:1159379
题型:解答题
难易度:一般
日期:2011-04-06
来源:2011届安徽省合肥市高三第二次质量检测考试数学理卷
【题文】 (本小题满分12分)
如图,四边形ABCD为正方形,四边形BDEF为矩形,AB=2BF,E丄平面ABCD,G为EF中点.

(1)求证:CF//平面
(2) 求证:平面ASG丄平面CDG;
(3)求二面角C—FG—B的余弦值.
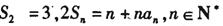
题号:1163758
题型:解答题
难易度:一般
日期:2011-04-06
来源:2011届安徽省合肥市高三第二次质量检测考试数学理卷
【题文】 (本小题满分14分)
已知数列

的前n项和

满足

.
(2) 求

的通项公式,并求数列

的前n项和

;
(3) 设

,证明:

题号:1163759
题型:解答题
难易度:一般
日期:2011-04-06
来源:2011届安徽省合肥市高三第二次质量检测考试数学理卷
【题文】本小题满分13分)
高三年级在综合素质评价的某个维度的测评中,依据评分细则,学生之间相互打分,最终将所有的数据合成一个分数,满分100分.按照大于等于80分为优秀,小于80分为合格.为了解学生在该维度的测评结果,从毕业班中随机抽出一个班的数据.该班共有60名学生,得到如下的列联表.

(2)

能否在犯错误的概率不超过0.10的前提下认为性别与测评结果有关系?
(3)

如果想了解全年级学生该维度的表现情况,采取简单随机抽样的方式在全校学生中抽取少数一部分人来分析,请你选择一个合适的抽样方法,并解释理由;
(4) 学生代表、教师代表、家长代表、教务员四人,分别对测评结果是优秀的20名学生进行检查,检查他们是否躲优秀的相4名检查人员各自纖立的舰20学生中随机抽取一名,设其中男生的人数为随机变量x,求随机变量x的分布列期望.
题号:1163760
题型:解答题
难易度:一般
日期:2011-04-06
来源:2011届安徽省合肥市高三第二次质量检测考试数学理卷
【题文】. (本小題满分12分)
已知函数

的图象过点P( 1,2),且在点P处的切线与直线x-3y=0垂直.
(2) 若

,试求函数f(x)的单调区间;
(3) 若a>0,b>0且(

,m),(n,

)是f(x)的单调递

增区间,试求n-m-2c的范围
题号:1163761
题型:解答题
难易度:一般
日期:2011-04-06
来源:2011届安徽省合肥市高三第二次质量检测考试数学理卷
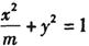
【题文】(本小题满分12分)
已知椭圆C:

的左、右焦点分别为F1 ,F2,若椭圆上总存在点P,使得点P在以F1,F2为直径的圆上.
(1) 求椭圆离心率的取值范围;
(2) 若AB是椭圆C的任意一条不垂直x轴的弦,M为弦的中点,且满足

(其中

分别表示直线AB、OM的斜率,0为坐标原点),求满足题意的椭圆C的方程.
题号:1163802
题型:解答题
难易度:一般
日期:2011-04-06
来源:2011届安徽省合肥市高三第二次质量检测考试数学理卷
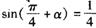
【题文】 (本小题满分

12分)
将函数

的图像上各点的横坐标缩短为原来的

(纵坐标不变),再向左平移

个单位后,得到的图像与函数g(x)="sin" 2x的图像重合.
(1) 写出函数y =f(x)的图像的一条对称轴方程;
(2) 若A为三角形的内角,且

•,求

的值