适用年级:{{getGradeNameByProperty('高三|高考模拟|山东|2011年')}} 试卷类型:{{getTestPaperTypeName('高三|高考模拟|山东|2011年')}} 使用省份:{{getAreaName('高三|高考模拟|山东|2011年')}}
试卷年份:{{getYear('高三|高考模拟|山东|2011年')}}上传日期:2011-10-21题数:21
提示:单击题文可显示答案与解析。
题号:1135070
题型:选择题
难易度:较易
日期:2011-10-21
来源:2012届山东省曲阜一中高三第一次摸底考试理科数学
【题文】设a,b,c为实数,

.
记集合S=

若cardS,cardT分别为集合元素S,
T的元素个数,则下列结论不可能的是( )
(A)cardS=1, cardT=0 (B)cardS=1, cardT=1
(C)cardS=2, cardT=2 (D cardS="2," cardT=3
题号:1135071
题型:选择题
难易度:一般
日期:2011-10-21
来源:2012届山东省曲阜一中高三第一次摸底考试理科数学
【题文】
已知以
F1(-2,0),
F2(2,0)为焦点的椭圆与直线
x+
y+4=0有且仅有一个交
点,则椭圆的长轴长为( )
题号:1135072
题型:选择题
难易度:一般
日期:2011-10-21
来源:2012届山东省曲阜一中高三第一次摸底考试理科数学
【题文】设斜率为2的直线
l过抛物线
y2=
ax(
a≠0)的焦点
F,且和
y轴交于点
A,若△
OAF(
O为坐标原点)的面积为4,则抛物线的方程为( )
| A.y2=±4x | B.y2=±8 | C.y2=4x | D.y2=8x |
题号:1135073
题型:选择题
难易度:一般
日期:2011-10-21
来源:2012届山东省曲阜一中高三第一次摸底考试理科数学
【题文】某企业去年销售收入1000万元,年成本为生产成本500万元与年广告成本200万元两部分.若年利润必须按
p%纳税,且年广告费超出年销售收入2%的部分也按
p%纳税,其他不纳税.已知该企业去年共纳税120万元.则税率
p%为( )
题号:1135074
题型:选择题
难易度:较易
日期:2011-10-21
来源:2012届山东省曲阜一中高三第一次摸底考试理科数学
【题文】若

,则

的定义域为( )
题号:3489452
题型:选择题
难易度:较易
日期:2011-10-21
来源:2012届山东省曲阜一中高三第一次摸底考试理科数学
【题文】已知
f(
x)=,则如图中函数的图象错误的是( )

题号:3489456
题型:选择题
难易度:
日期:2011-10-21
来源:2012届山东省曲阜一中高三第一次摸底考试理科数学
【题文】下列函数中值域为正实数的是( )
| A.y=-5x | B.y=()1-x | C.y= | D.y= |
题号:3489457
题型:选择题
难易度:
日期:2011-10-21
来源:2012届山东省曲阜一中高三第一次摸底考试理科数学
【题文】已知幂函数y=f(x)的图象经过点,则f(2)=( )
A. B.4 C. D.
题号:3489458
题型:选择题
难易度:
日期:2011-10-21
来源:2012届山东省曲阜一中高三第一次摸底考试理科数学
【题文】已知定义在R上的奇函数
f(
x)满足
f(
x-4)=-
f(
x),且在区间[0,2]上是增函数,则( )
| A.f(-25)<f(11)<f(80) | B.f(80)<f(11)<f(-25) |
| C.f(11)<f(80)<f(-25) | D.f(-25)<f(80)<f(11) |
题号:3489459
题型:选择题
难易度:
日期:2011-10-21
来源:2012届山东省曲阜一中高三第一次摸底考试理科数学
【题文】
f(
x)是定义在(0,+∞)上的非负可导函数,且满足

,对任意正数
a,
b,若
a<
b,则必有( )
| A.af(b)<bf(a) | B.bf(a) <af(b) | C.af(a)<bf (b) | D.bf (b) <a f(a) |
题号:1135067
题型:填空题
难易度:较易
日期:2011-10-21
来源:2012届山东省曲阜一中高三第一次摸底考试理科数学
【题文】为了保证信息安全,传输必须使用加密方式,有一种方式其加密、解密原理如下:
明文密文密文明文
已知加密为y=ax-2(x为明文、y为密文),如果明文“3”通过加密后得到密文为“6”,再发送,接收方通过解密得到明文“3”,若接收方接到密文为“14”,则原发的明文是________.
题号:1135068
题型:填空题
难易度:一般
日期:2011-10-21
来源:2012届山东省曲阜一中高三第一次摸底考试理科数学
【题文】已知点M是抛物线y2=4x上的一点,F为抛物线的焦点,A在圆C:(x-4)2+(y-1)2=1上,则|MA|+|MF|的最小值为________
题号:1135069
题型:填空题
难易度:较易
日期:2011-10-21
来源:2012届山东省曲阜一中高三第一次摸底考试理科数学
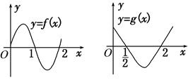
【题文】.已知定义在[0,+∞)上的函数
y=
f(
x)和
y=
g(
x)的图象如图所示,则不等式
f(
x)·
g(
x)>0的解集是____________.

题号:3489453
题型:填空题
难易度:一般
日期:2013-06-25
来源:2012届山东省曲阜一中高三第一次摸底考试理科数学
【题文】给出定义:

若函数
f(
x)在
D上可导,即
f′(
x)存在,且导函数
f′(
x)在
D上也可导,则称
f(
x)在
D上存在二阶导函数,记
f″(
x)=(
f′(
x))′.若
f″(
x)<0在
D
上恒成立,则称
f(
x)在
D上为凸函数.以下四个函数在(0,)

上不是凸函数的是________.(把你认为正确的序号都填上)
①
f(
x)=sin
x+cos
x;②
f(
x)=ln
x-2
x;③
f(
x)=-
x3+2
x-1;④
f(
x)=
xe
x.
题号:3489460
题型:填空题
难易度:
日期:2011-10-21
来源:2012届山东省曲阜一中高三第一次摸底考试理科数学
【题文】.由x=0,x=5,y=︱x -3︱与y=0围成封闭图形的面积为____________。科。网Z。X。X。K]
题号:1135036
题型:解答题
难易度:一般
日期:2011-10-21
来源:2012届山东省曲阜一中高三第一次摸底考试理科数学
【题文】已知中心在原点的双曲线
C的右焦点为(2,0),实轴长为2.
(1)求双曲线
C的方程;
(2)若直线
l:
y=
kx+与双曲线
C左支交于
A、
B两点,求
k的取值范围;

(3)在(2)的条件下,线段
AB的垂直平分线
l0与
y轴交于
M(0,
m),求
m的取值范围.
[来源:学科网]
题号:1135065
题型:解答题
难易度:一般
日期:2011-10-21
来源:2012届山东省曲阜一中高三第一次摸底考试理科数学
【题文】 若函数
f(
x)=
ax3
-
bx+4,当
x=2时,函数
f(
x)有极值-.
(1)求函数的解析式;
(2)若关于
x的方程
f(
x)=
k有三个根,求实数
k的取值范围
题号:1135066
题型:解答题
难易度:一般
日期:2011-10-21
来源:2012届山东省曲阜一中高三第一次摸底考试理科数学
【题文】
设A={x︱
x2+4x=0},B={x︱
x2+2(a+1)x+
a2-1=0},若A∩

B=B,求a的取值集合。
题号:3489454
题型:解答题
难易度:一般
日期:2012-10-24
来源:2012届山东省曲阜一中高三第一次摸底考试理科数学
【题文】某民营企业生产A,B两种产品,根据市场调查和预测,A产品的利润与投资成正比,其关系如图1,B产品的利润与投资的算术平方根成正比,其关系如图2(注:利润与投资单位是万元)
(1)分别将A,B两种产品的利润表示为投资的函数,并写出它们的函数关系式。
(2)该企业已筹集到10万元资金,并全部投入A,B两种产品的生产,问:怎样分配这10万元投资,才能是企业获得最大利润,其最大利润约为多少万元。(

精确到1万元)。

题号:3489455
题型:解答题
难易度:较难
日期:2012-09-03
来源:2012届山东省曲阜一中高三第一次摸底考试理科数学
【题文】.已知函数

,其中

(1)设函数

,若

在区间

上不是单调函数,求

的取值范围.
(2)设函数


是否存在

,对任意给定的非零实数

,存在唯一的非零
实数

使得

成立,若存在,求

的值,若不存在,请说明理由.
题号:3489461
题型:解答题
难易度:
日期:2011-10-21
来源:2012届山东省曲阜一中高三第一次摸底考试理科数学
【题文】 已知过抛物线

的焦点,斜率为

的直线交抛物线于


(

)两点,且

.
(1)求该抛物线的方程;
(2)

为坐标原点,

为抛物线上一点,若

,求

的值