适用年级:{{getGradeNameByProperty('高三|高考模拟|重庆|2011年')}} 试卷类型:{{getTestPaperTypeName('高三|高考模拟|重庆|2011年')}} 使用省份:{{getAreaName('高三|高考模拟|重庆|2011年')}}
试卷年份:{{getYear('高三|高考模拟|重庆|2011年')}}上传日期:2011-06-02题数:21
提示:单击题文可显示答案与解析。
题号:1144835
题型:选择题
难易度:较难
日期:2011-06-02
来源:2011届重庆一中高三考前最后一次考试理数试卷
【题文】过点

,且横、纵截距的绝对值相等的直线的条数为 ( )
题号:1144856
题型:选择题
难易度:较难
日期:2011-06-02
来源:2011届重庆一中高三考前最后一次考试理数试卷
题号:1144857
题型:选择题
难易度:较难
日期:2011-06-02
来源:2011届重庆一中高三考前最后一次考试理数试卷
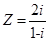
【题文】已知复数

,则

= ( )
题号:1144858
题型:选择题
难易度:较难
日期:2011-06-02
来源:2011届重庆一中高三考前最后一次考试理数试卷
【题文】已知集合M=

,集合

为自然对数的底数),则

= ( )
题号:3486785
题型:选择题
难易度:较难
日期:2011-06-02
来源:2011届重庆一中高三考前最后一次考试理数试卷
【题文】在(0,

)内,使

成立的

的取值范围为 ( )
题号:3486786
题型:选择题
难易度:较难
日期:2011-06-02
来源:2011届重庆一中高三考前最后一次考试理数试卷
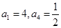
【题文】已知数列{

}(n=

)满足

,且当


时,

. 若

,

,则符合条件的数列{

}的个数是 ( )
题号:3486787
题型:选择题
难易度:较难
日期:2011-06-02
来源:2011届重庆一中高三考前最后一次考试理数试卷
【题文】一个总体共有600个个体,随机编号为001,002,… ,600.采用系统抽样的方法抽取一个容量为50的样本,且随机抽得的号码为003.这600个个体分三组,从001到300在第1组,从301到495在第2组,从496到600在第3组.则第3组被抽中的个数为 ( )
题号:3486788
题型:选择题
难易度:较难
日期:2011-06-02
来源:2011届重庆一中高三考前最后一次考试理数试卷
【题文】

为互不相等的正数,且

,则下列关系中可能成立的是( )
题号:3486789
题型:选择题
难易度:较难
日期:2011-06-02
来源:2011届重庆一中高三考前最后一次考试理数试卷
【题文】在棱锥

中,侧棱PA、PB、PC两两垂直,Q为底面

内一点,若点Q到三个侧面的距离分别为1、2、3,则以线段PQ为直径的球的表面积为 ( )
A.

B.

C.

D.

题号:3486790
题型:选择题
难易度:较难
日期:2011-06-02
来源:2011届重庆一中高三考前最后一次考试理数试卷
【题文】在直角梯形ABCD中,


,动点

在以点C为圆心,且与直线BD相切的圆内运动,设

,则

的取值范围是
题号:1144831
题型:填空题
难易度:较难
日期:2011-06-02
来源:2011届重庆一中高三考前最后一次考试理数试卷
【题文】

ABC的三边

和面积

满足:


,且

ABC的外接圆的周长为

,则面积

的最大值等于
.
题号:1144832
题型:填空题
难易度:较难
日期:2011-06-02
来源:2011届重庆一中高三考前最后一次考试理数试卷
【题文】已知

分别是双曲线

的左、右焦点,以

为直径的圆与双曲线在第一象限的交点为P,则当

的面积等于

时,双曲线的离心率为
.
题号:1144833
题型:填空题
难易度:较难
日期:2011-06-02
来源:2011届重庆一中高三考前最后一次考试理数试卷
【题文】函数

的最大值等于
.
题号:1144834
题型:填空题
难易度:较难
日期:2011-06-02
来源:2011届重庆一中高三考前最后一次考试理数试卷
题号:3486791
题型:填空题
难易度:较难
日期:2011-06-02
来源:2011届重庆一中高三考前最后一次考试理数试卷
【题文】
题号:1144826
题型:解答题
难易度:较难
日期:2011-06-02
来源:2011届重庆一中高三考前最后一次考试理数试卷
【题文】(本小题满分12分)
设A

,B

是椭圆

上的两点,

为坐标原点.
(Ⅰ)设

,

,


.求证:点M在椭圆上;
(Ⅱ)若

,求

的最小值.
题号:1144827
题型:解答题
难易度:较难
日期:2011-06-02
来源:2011届重庆一中高三考前最后一次考试理数试卷
【题文】(本小题满分12分)
已知斜三棱柱

,

,

,

在底面

上的射影恰
为

的中点

,

为

的中点,

.
(I)求证:

平面

;
(II)求二面角

余弦值的大小.

题号:1144828
题型:解答题
难易度:较难
日期:2011-06-02
来源:2011届重庆一中高三考前最后一次考试理数试卷
【题文】(本小题满分13分)
已知函数


(Ⅰ)当

时,求函数

的最大值;
(Ⅱ)当

时,曲线

在点

处的切线

与

有且只有一个公共
点,求

的值.
题号:1144829
题型:解答题
难易度:较难
日期:2011-06-02
来源:2011届重庆一中高三考前最后一次考试理数试卷
【题文】(本小题满分13分)
重庆电视台的一个智力游戏节目中,有一道将中国四大名著A、B、C、D与它们的作者
连线的题目,每本名著只能与一名作者连线,每名作者也只能与一本名著连线.每连对
一个得3分,连错得

分,一名观众随意连线,将他的得分记作ξ.
(Ⅰ)求该观众得分ξ为正数的概率;
(Ⅱ)求ξ的分布列及数学期望.
题号:1144830
题型:解答题
难易度:较难
日期:2011-06-02
来源:2011届重庆一中高三考前最后一次考试理数试卷
【题文】(本小题满分13分) 已知函数

,求
(Ⅰ)函数

的定义域和值域;
(Ⅱ)写出函数

的最小正周期和单调递增区间.
题号:3486792
题型:解答题
难易度:较难
日期:2011-06-02
来源:2011届重庆一中高三考前最后一次考试理数试卷
【题文】(本小题满分12分)
若实数列

满足

,则称数列

为凸数列.
(Ⅰ)判断数列

是否是凸数列?
(Ⅱ)若数列

为凸数列,


求证:

;

设

是数列

的前

项和,求证:

.