适用年级:{{getGradeNameByProperty('高三|高考模拟|重庆|2011年')}} 试卷类型:{{getTestPaperTypeName('高三|高考模拟|重庆|2011年')}} 使用省份:{{getAreaName('高三|高考模拟|重庆|2011年')}}
试卷年份:{{getYear('高三|高考模拟|重庆|2011年')}}上传日期:2011-05-22题数:21
提示:单击题文可显示答案与解析。
题号:1147539
题型:选择题
难易度:一般
日期:2011-05-22
来源:2011届重庆市高三高考前冲刺试卷理数
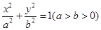
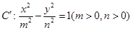
【题文】.光线被曲线反射,等效于被曲线在反射点处的切线反射.已知光线从椭圆的一个焦点出发,被椭圆反射后要回到椭圆的另一个焦点;光线从双曲线的一个焦点出发被双曲线反射后的反射光线等效于从另一个焦点发出;如题10图,椭圆


与双曲线

有公共焦点,现一光线从它们的左焦点出发,在椭圆与双曲线间连续反射,则光线经过

次反射后回到左焦点所经过的路径长为

题号:1147540
题型:选择题
难易度:一般
日期:2011-05-22
来源:2011届重庆市高三高考前冲刺试卷理数
【题文】 已知直线

与函数

的图象恰有三个公共点

,其
中

,则有
题号:1147541
题型:选择题
难易度:一般
日期:2011-05-22
来源:2011届重庆市高三高考前冲刺试卷理数
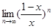
【题文】若

存在,则实数

的取值范围是
题号:1147542
题型:选择题
难易度:一般
日期:2011-05-22
来源:2011届重庆市高三高考前冲刺试卷理数
题号:1147543
题型:选择题
难易度:一般
日期:2011-05-22
来源:2011届重庆市高三高考前冲刺试卷理数
【题文】 已知条件

,条件

,则

是

的
| A.充分不必要条件 | B.必要不充分条件 |
| C.充要条件 | D.既不充分也不必要条件 |
题号:1147544
题型:选择题
难易度:一般
日期:2011-05-22
来源:2011届重庆市高三高考前冲刺试卷理数
题号:1147545
题型:选择题
难易度:一般
日期:2011-05-22
来源:2011届重庆市高三高考前冲刺试卷理数
【题文】 2名男生和2名女生站成一排,则2名男生相邻的概率为
题号:3419340
题型:选择题
难易度:一般
日期:2017-03-15
来源:2011届重庆市高三高考前冲刺试卷理数
【题文】复数

的虚部为( )
题号:3561104
题型:选择题
难易度:一般
日期:2011-05-22
来源:2011届重庆市高三高考前冲刺试卷理数
【题文】 已知全集

,则

题号:3561105
题型:选择题
难易度:一般
日期:2011-05-22
来源:2011届重庆市高三高考前冲刺试卷理数
【题文】 已知半径为

的球的球面上有三个点,其中任意两点间的球面距离都等于

,且经过这三

个点的小圆周长为

,则

题号:1147537
题型:填空题
难易度:一般
日期:2011-05-22
来源:2011届重庆市高三高考前冲刺试卷理数
【题文】如题14图,已知正三棱柱

的所有棱长均为

,截面

和

相交于

,则三棱锥

的体积为 .

题号:1147538
题型:填空题
难易度:一般
日期:2011-05-22
来源:2011届重庆市高三高考前冲刺试卷理数
【题文】设函数

,则

.
题号:3561106
题型:填空题
难易度:一般
日期:2011-05-22
来源:2011届重庆市高三高考前冲刺试卷理数
【题文】已知下表是某班45名学生在一次数学考试中的成绩分布表
那么成绩不低于100分的频率为 .
题号:3561107
题型:填空题
难易度:一般
日期:2011-05-22
来源:2011届重庆市高三高考前冲刺试卷理数
【题文】若点

与点

分别位于直线

的两侧,则实数

的取值范围是 .
题号:3561108
题型:填空题
难易度:一般
日期:2011-05-22
来源:2011届重庆市高三高考前冲刺试卷理数
【题文】设

是

所在平面上一点,且满足

,若

的面积为

,则

的面积
为 .
题号:1147531
题型:解答题
难易度:一般
日期:2011-05-22
来源:2011届重庆市高三高考前冲刺试卷理数
【题文】(本小题满分12分)
过曲线

上的一点

作曲线的切线,交

轴于点

;过

作垂直于

轴的直线交曲线于

,过

作曲线的切线,交

轴于点

;过

作垂直于

轴的直线交曲线于

,过

作曲线的切线,交

轴于点

;……如此继续下去得到点列:

,设

的横坐标为

.
(Ⅰ)试用

表示

;
(Ⅱ)证明:


;
(Ⅲ)证明:

.
题号:1147532
题型:解答题
难易度:一般
日期:2011-05-22
来源:2011届重庆市高三高考前冲刺试卷理数
【题文】(本小题满分12分)
已知双曲线

的离心率

,其一条准线方程为

.

(Ⅰ)求双曲线

的方程;
(Ⅱ)如题20图:设双曲线

的左右焦点分别为

,点

为该双曲线右支上一点,直线

与其左支 交于点

,若

,求实数

的取值范围.
题号:1147533
题型:解答题
难易度:一般
日期:2011-05-22
来源:2011届重庆市高三高考前冲刺试卷理数
【题文】(本小题满分12分)
设函数

,其中

为常数.
(Ⅰ)当

时,判断函数

的单调性;
(Ⅱ)若函数

在其定义域上既有极大值又有极小值,求

的取值范围.
题号:1147534
题型:解答题
难易度:一般
日期:2011-05-22
来源:2011届重庆市高三高考前冲刺试卷理数
【题文】(本小题满分13分)
如题18图,平行六面体

的下底面

是边长为

的正方形,

,且点

在下底面

上的射影恰为


点.

(Ⅰ)证明:

面

;
(Ⅱ)求二面角

的大小.
题号:1147535
题型:解答题
难易度:一般
日期:2011-05-22
来源:2011届重庆市高三高考前冲刺试卷理数
【题文】(本小题满分13分)
一个口袋中有大小相同的2个白球和4个黑球,每次从袋中随机地摸出1个球,并换入1只相同大小的黑球,这样继续下去,求:
(Ⅰ)第2次摸出的恰好是白球的概率;
(Ⅱ)摸2次摸出白球的个数

的分布列与数学期望.
题号:1147536
题型:解答题
难易度:一般
日期:2011-05-22
来源:2011届重庆市高三高考前冲刺试卷理数
【题文】(本小题满分13分)
已知


,若函数

的最小正周期为

.
(Ⅰ)求

的值;
(Ⅱ)求函数

的单调递增区间.