适用年级:{{getGradeNameByProperty('高三|高考模拟|重庆|2011年')}} 试卷类型:{{getTestPaperTypeName('高三|高考模拟|重庆|2011年')}} 使用省份:{{getAreaName('高三|高考模拟|重庆|2011年')}}
试卷年份:{{getYear('高三|高考模拟|重庆|2011年')}}上传日期:2011-02-23题数:21
提示:单击题文可显示答案与解析。
题号:1177242
题型:选择题
难易度:一般
日期:2011-02-23
来源:2011届重庆市七区高三第一次调研测试数学文卷
【题文】在

中,

,

,

,

为边

上的高,

为

的中点,若

,则

的值为( )
题号:1177243
题型:选择题
难易度:一般
日期:2011-02-23
来源:2011届重庆市七区高三第一次调研测试数学文卷
【题文】设

是定义在

上以

为周期的函数,

在

内单调递减,且

的图象关于直线

对称,则下面正确的结论是( )
题号:1177244
题型:选择题
难易度:一般
日期:2011-02-23
来源:2011届重庆市七区高三第一次调研测试数学文卷
【题文】已知向量

,

,曲线

上一点

到点

的距离为

,

为

的中点,

为坐标原点,则

等于( )
题号:1177245
题型:选择题
难易度:一般
日期:2011-02-23
来源:2011届重庆市七区高三第一次调研测试数学文卷
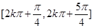
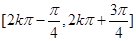
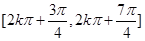
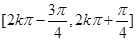
【题文】将函数

图象按向量

平移得函数

的图象,则函数

的单调递增区间是( )
题号:1177246
题型:选择题
难易度:一般
日期:2011-02-23
来源:2011届重庆市七区高三第一次调研测试数学文卷
【题文】已知一个圆的圆心在

轴的正半轴上,且经过点

,直线

被该圆截得的弦长为

,则该圆的方程是( )
题号:1177247
题型:选择题
难易度:一般
日期:2011-02-23
来源:2011届重庆市七区高三第一次调研测试数学文卷
题号:1177248
题型:选择题
难易度:一般
日期:2011-02-23
来源:2011届重庆市七区高三第一次调研测试数学文卷
【题文】设

:

,

:直线

与直线

垂直,则

是

的( )
| A.充分不必要条件 | B.必要不充分条件 |
| C.充要条件 | D.既不充分也不必要条件 |
题号:1177249
题型:选择题
难易度:一般
日期:2011-02-23
来源:2011届重庆市七区高三第一次调研测试数学文卷
【题文】已知函数


,

是

的反函数. 若

的图象过点

,则

等于( )
题号:1177250
题型:选择题
难易度:一般
日期:2011-02-23
来源:2011届重庆市七区高三第一次调研测试数学文卷
【题文】在

中,若

,则

是( )
| A.锐角三角形 | B.直角三角形 | C.钝角三角形 | D.无法确定 |
题号:1177251
题型:选择题
难易度:一般
日期:2011-02-23
来源:2011届重庆市七区高三第一次调研测试数学文卷
【题文】已知集合

,则( )
题号:1177197
题型:填空题
难易度:一般
日期:2011-02-23
来源:2011届重庆市七区高三第一次调研测试数学文卷
【题文】直线

与函数

的图象在区间

内有两个不同的交点

、

,则线段


的中点的坐标为
题号:1177198
题型:填空题
难易度:一般
日期:2011-02-23
来源:2011届重庆市七区高三第一次调研测试数学文卷
题号:1177199
题型:填空题
难易度:一般
日期:2011-02-23
来源:2011届重庆市七区高三第一次调研测试数学文卷
题号:1177200
题型:填空题
难易度:一般
日期:2011-02-23
来源:2011届重庆市七区高三第一次调研测试数学文卷
【题文】在等差数列

中,已知

,

,则等差数列

的公差为 .
题号:1177201
题型:填空题
难易度:一般
日期:2011-02-23
来源:2011届重庆市七区高三第一次调研测试数学文卷
【题文】不等式

的解集是 .
题号:1177191
题型:解答题
难易度:一般
日期:2011-02-23
来源:2011届重庆市七区高三第一次调研测试数学文卷
【题文】(本小题满分12分)
已知抛物线

(

)的焦点为椭圆

的右焦点,点

、

为抛物线上的两点,

是抛物线的顶点,

⊥

.
(Ⅰ)求抛物线的标准方程;
(Ⅱ)求证:直线

过定点

;
(Ⅲ)设弦

的中点为

,求点

到直线

的距离的最小值.
题号:1177192
题型:解答题
难易度:一般
日期:2011-02-23
来源:2011届重庆市七区高三第一次调研测试数学文卷
【题文】(本小题满分12分)

已知函数

,设

,


.

(Ⅰ)求

,

的表达式,并直接写出

的表达式;
(Ⅱ)设

,
若关于

的函数


在区间

上的最小值为

,求

的值.
题号:1177193
题型:解答题
难易度:一般
日期:2011-02-23
来源:2011届重庆市七区高三第一次调研测试数学文卷
【题文】(本

小题满分12分)
已知函数

(

为常数).(Ⅰ)若

,解不等式

;
(Ⅱ)解关于

的不等式

.
题号:1177194
题型:解答题
难易度:一般
日期:2011-02-23
来源:2011届重庆市七区高三第一次调研测试数学文卷
【题文】(本小题满分13分)
已知函数

.
(Ⅰ)求函数

的最小值;
(Ⅱ)设

的内角

的对边分别为

,且

,若向量

与

向量

共线

,求

的值.
题号:1177195
题型:解答题
难易度:一般
日期:2011-02-23
来源:2011届重庆市七区高三第一次调研测试数学文卷
【题文】 (本小题满分13分)

我们知道:人们对声音有不同的感觉,这与它的强度有关系,声音的强度用

(单位:

)表示,但在实际测量时,常用声音的强度水平

(单位:分贝)表示,它们满足公式: (

,其中

(

)),

是人们能听到的最小强度,是听觉的开始.请回答以下问题:
(Ⅰ)树叶沙沙声的强度为

(

),耳语的强度为

(

),无线电广播的强度为

(

),试分别求出它们的强度水平;
(Ⅱ)某小区规定:小区内公共场所

的声音的强度水平必须保持在

分贝以下(不含

分贝),试求声音强度

的取值范围.
题号:1177196
题型:解答题
难易度:一般
日期:2011-02-23
来源:2011届重庆市七区高三第一次调研测试数学文卷
【题文】.

(本小题满分13分)
在等比数列

中,

已知

,

.
(Ⅰ)求数列

的通项公式;
(Ⅱ)若

,求数列

的前


项和

.