适用年级:{{getGradeNameByProperty('高三|高考模拟|北京|2010年')}} 试卷类型:{{getTestPaperTypeName('高三|高考模拟|北京|2010年')}} 使用省份:{{getAreaName('高三|高考模拟|北京|2010年')}}
试卷年份:{{getYear('高三|高考模拟|北京|2010年')}}上传日期:2010-07-28题数:20
提示:单击题文可显示答案与解析。
题号:1232369
题型:选择题
难易度:一般
日期:2010-07-28
来源:2010年北京市崇文区高三一模测试数学理(解析)
【题文】设定义在

上的函数

若关于

的方程

有3个不同的实数解

,

,

,则

等于 ( )
题号:1232438
题型:选择题
难易度:一般
日期:2010-07-28
来源:2010年北京市崇文区高三一模测试数学理(解析)
题号:1232451
题型:选择题
难易度:一般
日期:2010-07-28
来源:2010年北京市崇文区高三一模测试数学理(解析)
题号:1232452
题型:选择题
难易度:一般
日期:2010-07-28
来源:2010年北京市崇文区高三一模测试数学理(解析)
【题文】已知

是

的切线,切点为

,

,

是

的直径,

交

于点

,

,则

的半径为 ( )
题号:1232453
题型:选择题
难易度:一般
日期:2010-07-28
来源:2010年北京市崇文区高三一模测试数学理(解析)
题号:3471575
题型:选择题
难易度:一般
日期:2010-07-28
来源:2010年北京市崇文区高三一模测试数学理(解析)
【题文】一个单位共有职工200人,其中不超过45岁的有120人,超过45岁的有80人. 为了调查职工的健康状况,用分层抽样的方法从全体职工中抽出一个容量为25的样本,应抽取不超过45岁的职工人数为 ( )
题号:3471576
题型:选择题
难易度:一般
日期:2012-08-13
来源:2010年北京市崇文区高三一模测试数学理(解析)
【题文】已知

是两条不同直线,

是三个不同平面,下列命题中正确的为 ( )
题号:3471577
题型:选择题
难易度:一般
日期:2010-07-28
来源:2010年北京市崇文区高三一模测试数学理(解析)
【题文】2位男生和3位女生共5位同学站成一排.若男生甲不站两端,3位女生中有且只有两位女生相邻,则不同排法的种数为 ( )
题号:1232363
题型:填空题
难易度:一般
日期:2010-07-28
来源:2010年北京市崇文区高三一模测试数学理(解析)
【题文】定义在

上的函数满足

,
且当

时,

,则

_________________.
题号:1232364
题型:填空题
难易度:一般
日期:2010-07-28
来源:2010年北京市崇文区高三一模测试数学理(解析)
【题文】若数列

的前

项和为

,则

若数列

的前

项积为

,类

比

上述结果,则

=_________;此时,若

,则

=___________.
题号:1232365
题型:填空题
难易度:一般
日期:2010-07-28
来源:2010年北京市崇文区高三一模测试数学理(解析)
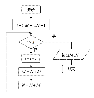
【题文】某程序框图如图所示,该程序运行后输出

的值分别为
.

题号:1232366
题型:填空题
难易度:一般
日期:2010-07-28
来源:2010年北京市崇文区高三一模测试数学理(解析)
题号:1232367
题型:填空题
难易度:一般
日期:2010-07-28
来源:2010年北京市崇文区高三一模测试数学理(解析)
【题文】若

的展开式中的常数项为

,则实数


___________.
题号:1232368
题型:填空题
难易度:一般
日期:2010-07-28
来源:2010年北京市崇文区高三一模测试数学理(解析)
【题文】如果复数

(其中

是虚数单位)是实数,则实数


___________.
题号:1086901
题型:解答题
难易度:一般
日期:2012-04-24
来源:2010年北京市崇文区高三一模测试数学理(解析)
【题文】已知抛物线

,点

关于

轴的对称点为

,直线

过点

交抛物线于

两点.
(1)证明:直线

的斜率互为相反数;
(2)求

面积的最小值;
(3)当点

的坐标为

,

且

.根据(1)(2)推测并回答下列问题(不必说明理由):①直线

的斜率是否互为相反数? ②

面积的最小值是多少?
题号:1232358
题型:解答题
难易度:一般
日期:2010-07-28
来源:2010年北京市崇文区高三一模测试数学理(解析)
【题文】已知数列


中,

,

且

,其前

项和为

,且当

时,

.
⑴求证:数列

是等比数列;
⑵求数列

的通项公式;
⑶若

,令

,记数列

的前

项和为

.设


是整数,问是否存在正整数

,使等式

成立?若存在,求出

和相应的

值;若不存在,请说明理由.
题号:1232359
题型:解答题
难易度:一般
日期:2010-07-28
来源:2010年北京市崇文区高三一模测试数学理(解析)
【题文】已知

(

).
⑴求函数

的单调递减区间;
⑵当

时,若对

有

恒成立,求实数

的取值范围.
题号:1232360
题型:解答题
难易度:一般
日期:2010-07-28
来源:2010年北京市崇文区高三一模测试数学理(解析)
【题文】三棱柱

中,侧棱与底面垂直,

,

,

分别是

,

的中点.
⑴求证:

平面

;
⑵求证:

平面

;
⑶求二面角

的余弦值.

题号:1232361
题型:解答题
难易度:一般
日期:2010-07-28
来源:2010年北京市崇文区高三一模测试数学理(解析)
【题文】为了调查某厂2000名工人生产某种产品的能力,随机抽查了

位工人某天生产该产品的数量,产品数量的分组区间为

,

,

,

,

,频率分布直方图如图所示.已知生产的产品数量在

之间的工人有6位.
⑴求

;

⑵工厂规定从各组中任选1人进行再培训,则选取5人不在同一组的概率是多少?
题号:1232362
题型:解答题
难易度:一般
日期:2010-07-28
来源:2010年北京市崇文区高三一模测试数学理(解析)
【题文】在

中,角

所对的边分别为

,满足

,且

的面积为

.
⑴求

的值;
⑵若

,求

的值.