适用年级:{{getGradeNameByProperty('高三|高考模拟|北京|2011年')}} 试卷类型:{{getTestPaperTypeName('高三|高考模拟|北京|2011年')}} 使用省份:{{getAreaName('高三|高考模拟|北京|2011年')}}
试卷年份:{{getYear('高三|高考模拟|北京|2011年')}}上传日期:2011-04-02题数:20
提示:单击题文可显示答案与解析。
题号:1164529
题型:选择题
难易度:一般
日期:2011-04-02
来源:2011届北京市东城区示范校高三第二学期综合练习数学文卷
【题文】已知双曲线的两个焦点为

,

,

是此双曲线上一点,
若

,

,则该双曲线的方程是( )
题号:1164530
题型:选择题
难易度:一般
日期:2011-04-02
来源:2011届北京市东城区示范校高三第二学期综合练习数学文卷
【题文】设

,

,

均为单位向量,且

,则

的最小值为( )
题号:1164531
题型:选择题
难易度:一般
日期:2011-04-02
来源:2011届北京市东城区示范校高三第二学期综合练习数学文卷
题号:1164532
题型:选择题
难易度:一般
日期:2011-04-02
来源:2011届北京市东城区示范校高三第二学期综合练习数学文卷
题号:1164533
题型:选择题
难易度:一般
日期:2011-04-02
来源:2011届北京市东城区示范校高三第二学期综合练习数学文卷
【题文】.在区间

上随机取一个

,

的值介于

与

之间的概率为( )
题号:1164534
题型:选择题
难易度:一般
日期:2011-04-02
来源:2011届北京市东城区示范校高三第二学期综合练习数学文卷
题号:1164535
题型:选择题
难易度:一般
日期:2011-04-02
来源:2011届北京市东城区示范校高三第二学期综合练习数学文卷
【题文】在复平面内,复数

对应的点位于( )
题号:1164536
题型:选择题
难易度:一般
日期:2011-04-02
来源:2011届北京市东城区示范校高三第二学期综合练习数学文卷
题号:1164525
题型:填空题
难易度:一般
日期:2011-04-02
来源:2011届北京市东城区示范校高三第二学期综合练习数学文卷
【题文】

点从原点出发,每步走一个单位,方向为向上或向右,则走三步时,所有可能终点的横坐标的和为_________;走

步时,所有可能终点的横坐标的和为_________.
题号:1164526
题型:填空题
难易度:一般
日期:2011-04-02
来源:2011届北京市东城区示范校高三第二学期综合练习数学文卷
【题文】.若实数

满足

,则

的最大值为_______,最小值为______.
题号:1164527
题型:填空题
难易度:一般
日期:2011-04-02
来源:2011届北京市东城区示范校高三第二学期综合练习数学文卷
【题文】某班50名学生在一次百米测试中,
成绩全部介于13秒与18秒之间,将测试结果
绘制成频率分布直方图(如图),若成绩介于
14秒与16秒之间认为是良好,则该班在这次
测试中成绩良好的人数为_______.

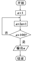
题号:1164528
题型:填空题
难易度:一般
日期:2011-04-02
来源:2011届北京市东城区示范校高三第二学期综合练习数学文卷
【题文】某程序的框图如图所示,则执行该程序,输出的结果

_______.

题号:3470182
题型:填空题
难易度:一般
日期:2012-04-09
来源:2011届北京市东城区示范校高三第二学期综合练习数学文卷
【题文】一个几何体的三视图如图所示,其中正视图与侧视图都是边长为2的正三角形,
则这个几何体的侧面积为________.

题号:3470183
题型:填空题
难易度:一般
日期:2011-04-02
来源:2011届北京市东城区示范校高三第二学期综合练习数学文卷
【题文】已知两条直线

,

,两个平面

,

,给出下面四个命题:
①

∥

,

;②

∥

,

,


∥

;
③

∥

,

∥



∥

;④

∥

,

∥

,

.
其中正确命题的序号是____________.
题号:1164480
题型:解答题
难易度:一般
日期:2011-04-02
来源:2011届北京市东城区示范校高三第二学期综合练习数学文卷
【题文】(本小题14分)已知数列

为等差数列,

,

,数列

的前

项和为

,且有

(1)求

、

的通项公式;
(2)若

,

的前

项和为

,求

;
(3)试比较

与

的大小,并说明理由.
题号:1164481
题型:解答题
难易度:一般
日期:2011-04-02
来源:2011届北京市东城区示范校高三第二学期综合练习数学文卷
【题文】.(本小题14分)椭圆


的一个顶点为


,离心率

(1)求椭圆方程;
(2)若直线

与椭圆交于不同的两点

,且满足

,

,求直线

的方程.
题号:1164522
题型:解答题
难易度:一般
日期:2011-04-02
来源:2011届北京市东城区示范校高三第二学期综合练习数学文卷
【题文】(本小题14分)已知函数

.
(1)若

,点P为曲线

上的一个动点,求以点P为切点的切线斜率取最小值时的切线方程;
(2)若函数

在

上为单调增函数,试求

的取值范围.
题号:1164523
题型:解答题
难易度:一般
日期:2011-04-02
来源:2011届北京市东城区示范校高三第二学期综合练习数学文卷
【题文】(本小题13分)如图,在四棱锥

中,
底面

是矩形,侧棱PD⊥底面

,

,

是

的中点,作

⊥

交

于点

.
(1)证明:

∥平面

;
(2)证明:

⊥平面

.

题号:1164524
题型:解答题
难易度:一般
日期:2011-04-02
来源:2011届北京市东城区示范校高三第二学期综合练习数学文卷
【题文】(本小题13分)已知向量

,

(1)当

∥

时,求

的值;
(2)求

在

上的值域.
题号:3470184
题型:解答题
难易度:一般
日期:2012-05-14
来源:2011届北京市东城区示范校高三第二学期综合练习数学文卷
【题文】(本小题12分)袋中有大小、形状相同的红、黑球各两个,现依次不放回地随机取3次,每次取一个球.
(1)试问:一共有多少种不同的结果,请列出所有可能的结果;
(2)若摸到红球时得2分,摸到黑球时得1分,求3次摸球所得总分为5的概率.