适用年级:{{getGradeNameByProperty('高三|高考模拟|北京|2017年')}} 试卷类型:{{getTestPaperTypeName('高三|高考模拟|北京|2017年')}} 使用省份:{{getAreaName('高三|高考模拟|北京|2017年')}}
试卷年份:{{getYear('高三|高考模拟|北京|2017年')}}上传日期:2017-05-12题数:20
提示:单击题文可显示答案与解析。
题号:730330
题型:选择题
难易度:较易
日期:2016-07-11
来源:北京市东城区2016-2017学年度高三二模理科数学试题及答案(word版)
【题文】设

是向量,则“

”是“

”的
| A.充分而不必要条件 | B.必要而不充分条件 |
| C.充分必要条件 | D.既不充分也不必要条件 |
题号:3639098
题型:选择题
难易度:一般
日期:2017-05-12
来源:北京市东城区2016-2017学年度高三二模理科数学试题及答案(word版)
题号:3639099
题型:选择题
难易度:一般
日期:2017-05-12
来源:北京市东城区2016-2017学年度高三二模理科数学试题及答案(word版)
【题文】动点

从点

出发,按逆时针方向沿周长为

的平面图形运动一周,

,

两点间的距离

与动点

所走过的路程

的关系如图所示,那么动点

所走的图形可能是( )

题号:3639100
题型:选择题
难易度:一般
日期:2017-05-12
来源:北京市东城区2016-2017学年度高三二模理科数学试题及答案(word版)
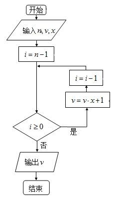
【题文】我国南宋时期的数学家秦九韶(约

)在他的著作《数书九章》中提出了多项式求值的秦九韶算法.如图所示的框图给出了利用秦九韶算法求多项式的一个实例.若输入的

,

,

,则程序框图计算的是

题号:3639101
题型:选择题
难易度:一般
日期:2017-05-12
来源:北京市东城区2016-2017学年度高三二模理科数学试题及答案(word版)
【题文】已知等比数列

为递增数列,

是其前

项和.若

,

,则

题号:3639102
题型:选择题
难易度:较易
日期:2017-05-12
来源:北京市东城区2016-2017学年度高三二模理科数学试题及答案(word版)
题号:3639103
题型:选择题
难易度:较易
日期:2017-05-12
来源:北京市东城区2016-2017学年度高三二模理科数学试题及答案(word版)
题号:3639104
题型:选择题
难易度:较易
日期:2017-05-12
来源:北京市东城区2016-2017学年度高三二模理科数学试题及答案(word版)
【题文】已知集合

,则

题号:3639092
题型:填空题
难易度:较难
日期:2017-05-12
来源:北京市东城区2016-2017学年度高三二模理科数学试题及答案(word版)
【题文】已知函数

① 若

有且只有一个根,则实数

的取值范围是_______.
② 若关于

的方程

有且仅有

个不同的实根,则实数

的取值范围是_______.
题号:3639093
题型:填空题
难易度:一般
日期:2017-05-12
来源:北京市东城区2016-2017学年度高三二模理科数学试题及答案(word版)
【题文】在直角坐标系

中,直线

过抛物线

的焦点

,且与该抛物线相交于

两点,其中点

在

轴上方.若直线

的倾斜角为

,则

______.
题号:3639094
题型:填空题
难易度:一般
日期:2017-05-12
来源:北京市东城区2016-2017学年度高三二模理科数学试题及答案(word版)
【题文】如图,在四边形

中,

,

,

,

,

,则

_________;三角形

的面积为___________.

题号:3639095
题型:填空题
难易度:一般
日期:2017-05-12
来源:北京市东城区2016-2017学年度高三二模理科数学试题及答案(word版)
【题文】某校开设

类选修课

门,

类选修课

门,每位同学需从两类选修课中共选

门.若要求至少选一门

类课程,则不同的选法共有____种.(用数字作答)
题号:3639096
题型:填空题
难易度:较易
日期:2017-05-12
来源:北京市东城区2016-2017学年度高三二模理科数学试题及答案(word版)
【题文】在极坐标系中,直线

与圆

相切,则

__________.
题号:3639097
题型:填空题
难易度:较易
日期:2017-05-12
来源:北京市东城区2016-2017学年度高三二模理科数学试题及答案(word版)
【题文】复数

在复平面内所对应的点的坐标为_________.
题号:3639086
题型:解答题
难易度:较难
日期:2017-05-12
来源:北京市东城区2016-2017学年度高三二模理科数学试题及答案(word版)
【题文】对于

维向量

,若对任意

均有

或

,则称

为

维

向量. 对于两个

维

向量

定义

.
(1)若

, 求

的值;
(2)现有一个

维

向量序列:

若

且满足:

,求证:该序列中不存在

维

向量

.
(3) 现有一个

维

向量序列:

若

且满足:

,若存在正整数

使得

为

维

向量序列中的项,求出所有的

.
题号:3639087
题型:解答题
难易度:一般
日期:2017-05-12
来源:北京市东城区2016-2017学年度高三二模理科数学试题及答案(word版)
【题文】已知椭圆

:

的短轴长为

,右焦点为

,点

是椭圆

上异于左、右顶点

的一点.
(1)求椭圆

的方程;
(2)若直线

与直线

交于点

,线段

的中点为

,证明:点

关于直线

的对称点在直线

上.
题号:3639088
题型:解答题
难易度:较难
日期:2017-05-12
来源:北京市东城区2016-2017学年度高三二模理科数学试题及答案(word版)
【题文】设函数

.
(Ⅰ)当

时,求曲线

在点

处的切线方程;
(Ⅱ)设

,若对任意的

,存在

使得

成立,求

的取值范围.
题号:3639089
题型:解答题
难易度:一般
日期:2017-05-12
来源:北京市东城区2016-2017学年度高三二模理科数学试题及答案(word版)
【题文】如图,在几何体

中,平面

平面

,四边形

为菱形,且

,

,

∥

,

为

中点.
(Ⅰ)求证:

∥平面

;
(Ⅱ)求直线

与平面

所成角的正弦值;
(Ⅲ)在棱

上是否存在点

,使

? 若存在,求

的值;若不存在,说明理由.

题号:3639090
题型:解答题
难易度:一般
日期:2017-05-12
来源:北京市东城区2016-2017学年度高三二模理科数学试题及答案(word版)
【题文】小明计划在8月11日至8月20日期间游览某主题公园.根据旅游局统计数据,该主题公园在此期间“游览舒适度”(即在园人数与景区主管部门核定的最大瞬时容量之比,40%以下为舒适,40%—60%为一般,60%以上为拥挤)情况如图所示.小明随机选择8月11日至8月19日中的某一天到达该主题公园,并游览2天.

(Ⅰ)求小明连续两天都遇上拥挤的概率;
(Ⅱ)设

是小明游览期间遇上舒适的天数,求

的分布列和数学期望;
(Ⅲ)由图判断从哪天开始连续三天游览舒适度的方差最大?(结论不要求证明)
题号:3639091
题型:解答题
难易度:一般
日期:2017-05-12
来源:北京市东城区2016-2017学年度高三二模理科数学试题及答案(word版)
【题文】已知函数

(

).
(Ⅰ)若

,求

的值;
(Ⅱ)若

在

上单调递减,求

的最大值.