适用年级:{{getGradeNameByProperty('高三|高考模拟|安徽|2017年')}} 试卷类型:{{getTestPaperTypeName('高三|高考模拟|安徽|2017年')}} 使用省份:{{getAreaName('高三|高考模拟|安徽|2017年')}}
试卷年份:{{getYear('高三|高考模拟|安徽|2017年')}}上传日期:2017-05-21题数:23
提示:单击题文可显示答案与解析。
题号:3691943
题型:选择题
难易度:一般
日期:2017-05-21
来源:2017年马鞍山市高三第三次模拟数学(文)试卷(含答案)
【题文】已知函数

,若

有四个不同的根,则

的取值范围是( )
题号:3691944
题型:选择题
难易度:较易
日期:2017-05-21
来源:2017年马鞍山市高三第三次模拟数学(文)试卷(含答案)
【题文】已知△

的顶点都在半径为

的球

的球面上,球心

到平面

的距离为

,

,则球

的体积是( )
题号:3691946
题型:选择题
难易度:较易
日期:2017-05-21
来源:2017年马鞍山市高三第三次模拟数学(文)试卷(含答案)
【题文】已知椭圆

的右焦点为

,过点

的直线交

于

两点.若

的中点坐标为

,则

的方程为( )
题号:3691947
题型:选择题
难易度:较易
日期:2017-05-21
来源:2017年马鞍山市高三第三次模拟数学(文)试卷(含答案)
【题文】函数

的定义域为

,若

与

都是奇函数,则

=( )
题号:3691948
题型:选择题
难易度:较易
日期:2017-05-21
来源:2017年马鞍山市高三第三次模拟数学(文)试卷(含答案)
【题文】已知函数

,则

的一个单调递减区间是( )
题号:3691949
题型:选择题
难易度:较易
日期:2017-05-21
来源:2017年马鞍山市高三第三次模拟数学(文)试卷(含答案)
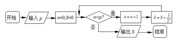
【题文】执行如图所示的程序框图,若输出的值为

,则输入的整数

( )

题号:3691950
题型:选择题
难易度:较易
日期:2017-05-21
来源:2017年马鞍山市高三第三次模拟数学(文)试卷(含答案)
【题文】《九章算术》“勾股”章有一题:“今有二人同立.甲行率七,乙行率三,乙东行,甲南行十步而斜东北与乙会,问甲乙各行几何?”大意是说:“已知甲、乙二人同时从同一地点出发,甲的速度为7,乙的速度为3,乙一直向东走,甲先向南走10步,后又斜向北偏东方向走了一段后与乙相遇.甲、乙各走了多少步? ” 请问乙走的步数是( )
题号:3691951
题型:选择题
难易度:较易
日期:2017-05-21
来源:2017年马鞍山市高三第三次模拟数学(文)试卷(含答案)
【题文】已知双曲线

(

)的离心率为

,则该双曲线的渐近线方程为( )
题号:3691952
题型:选择题
难易度:容易
日期:2017-05-21
来源:2017年马鞍山市高三第三次模拟数学(文)试卷(含答案)
【题文】“

”是“

”的( )
| A.充分不必要条件 | B.必要不充分条件 |
| C.充要条件 | D.既不充分也不必要条件 |
题号:3691953
题型:选择题
难易度:容易
日期:2017-05-21
来源:2017年马鞍山市高三第三次模拟数学(文)试卷(含答案)
【题文】设

为虚数单位,则复数

的模为( )
题号:3691954
题型:选择题
难易度:较易
日期:2017-05-21
来源:2017年马鞍山市高三第三次模拟数学(文)试卷(含答案)
题号:4880849
题型:选择题
难易度:较易
日期:2017-09-02
来源:2017年马鞍山市高三第三次模拟数学(文)试卷(含答案)
【题文】已知实数

满足约束条件

,若

的最大值为1,则实数

的值为( )
题号:3691939
题型:填空题
难易度:一般
日期:2017-05-21
来源:2017年马鞍山市高三第三次模拟数学(文)试卷(含答案)
【题文】在锐角

中,内角

,

,

的对边分别为

,

,

,且

.若

,则

的取值范围是___.
题号:3691940
题型:填空题
难易度:较易
日期:2017-05-21
来源:2017年马鞍山市高三第三次模拟数学(文)试卷(含答案)
【题文】一个几何体的三视图如图所示,则该几何体的体积为__.

题号:3691941
题型:填空题
难易度:较易
日期:2017-05-21
来源:2017年马鞍山市高三第三次模拟数学(文)试卷(含答案)
【题文】如图,扇形

的圆心角为

,点

在弦

上,且

,延长

交弧

于点

,现向该扇形内随机投一点,则该点落在扇形

内的概率为__.

题号:3691942
题型:填空题
难易度:较易
日期:2017-05-21
来源:2017年马鞍山市高三第三次模拟数学(文)试卷(含答案)
题号:3691932
题型:解答题
难易度:较易
日期:2017-05-21
来源:2017年马鞍山市高三第三次模拟数学(文)试卷(含答案)
【题文】选修4-5:不等式选讲
设函数

(

).
(Ⅰ)试比较

与

的大小;
(Ⅱ)当

时,求函数

的图象和

轴围成的图形面积.
题号:3691933
题型:解答题
难易度:较易
日期:2017-05-21
来源:2017年马鞍山市高三第三次模拟数学(文)试卷(含答案)
【题文】选修4-4:坐标系与参数方程
已知曲线

的参数方程为

(为参数).在以坐标原点为极点,轴的正半轴为极轴的极坐标系中,曲线

:

.
(Ⅰ)求曲线

的普通方程和

的直角坐标方程;
(Ⅱ)若

与

相交于

两点,设点

,求

的值.
题号:3691934
题型:解答题
难易度:一般
日期:2017-05-21
来源:2017年马鞍山市高三第三次模拟数学(文)试卷(含答案)
【题文】已知函数

.
(Ⅰ)若

在

上单调递减,求

的取值范围;
(Ⅱ)若

有两个极值点

,求证:

.
题号:3691935
题型:解答题
难易度:一般
日期:2017-05-21
来源:2017年马鞍山市高三第三次模拟数学(文)试卷(含答案)
【题文】已知曲线

,

,直线

与曲线

相交于

两点,

为坐标原点.
(Ⅰ)若

,求证:直线

恒过定点,并求出定点坐标;
(Ⅱ)若直线

与曲线

相切,求

的取值范围.
题号:3691936
题型:解答题
难易度:较易
日期:2017-05-21
来源:2017年马鞍山市高三第三次模拟数学(文)试卷(含答案)
【题文】已知几何体

中,

∥

,

,

平面

,

∥

,

,

.
(Ⅰ)求证:平面

⊥平面

;
(Ⅱ)求点

到平面

的距离.

题号:3691937
题型:解答题
难易度:较易
日期:2017-05-21
来源:2017年马鞍山市高三第三次模拟数学(文)试卷(含答案)
【题文】2017年3月27日,一则“清华大学要求从2017级学生开始,游泳达到一定标准才能毕业”的消息在体育界和教育界引起了巨大反响.游泳作为一项重要的求生技能和运动项目受到很多人的喜爱.其实,已有不少高校将游泳列为必修内容.某中学为了解2017届高三学生的性别和喜爱游泳是否有关,对100名高三学生进行了问卷调查,得到如下列联表:
已知在这100人中随机抽取1人,抽到喜欢游泳的学生的概率为

.
(Ⅰ)请将上述列联表补充完整;
(Ⅱ)判断是否有99.9%的把握认为喜欢游泳与性别有关?
附:


| 0.10
| 0.05
| 0.025
| 0.010
| 0.005
| 0.001
|

| 2.706
| 3.841
| 5.024
| 6.635
| 7.879
| 10.828
|
题号:3691938
题型:解答题
难易度:较易
日期:2017-05-21
来源:2017年马鞍山市高三第三次模拟数学(文)试卷(含答案)
【题文】已知数列

的前

项和为

,且

.
(Ⅰ)求

的通项公式;
(Ⅱ)设

,求数列

的前

项和

.