适用年级:{{getGradeNameByProperty('高三|高考模拟|安徽|2013年')}} 试卷类型:{{getTestPaperTypeName('高三|高考模拟|安徽|2013年')}} 使用省份:{{getAreaName('高三|高考模拟|安徽|2013年')}}
试卷年份:{{getYear('高三|高考模拟|安徽|2013年')}}上传日期:2013-07-08题数:20
提示:单击题文可显示答案与解析。
题号:987759
题型:选择题
难易度:容易
日期:2013-07-08
来源:2013届安徽省泗县双语中学高三最后压轴卷文科数学试卷(带解析)
【题文】已知函数

,给出下列四个命题:
①若

②

的最小正周期是

;
③

在区间

上是增函数; ④

的图象关于直线

对称;
⑤当

时,

的值域为

其中正确的命题为
题号:987760
题型:选择题
难易度:较易
日期:2013-07-08
来源:2013届安徽省泗县双语中学高三最后压轴卷文科数学试卷(带解析)
题号:987761
题型:选择题
难易度:容易
日期:2013-07-08
来源:2013届安徽省泗县双语中学高三最后压轴卷文科数学试卷(带解析)
【题文】已知A、B为抛物线

上的不同两点,F为抛物线C的焦点,若

则直线AB的斜率为
A.

B.

C.

D.

题号:987762
题型:选择题
难易度:容易
日期:2013-07-08
来源:2013届安徽省泗县双语中学高三最后压轴卷文科数学试卷(带解析)
【题文】设奇函数

的定义域为R,最小正周期

,若

,则

的取值范围是
题号:987763
题型:选择题
难易度:容易
日期:2013-07-08
来源:2013届安徽省泗县双语中学高三最后压轴卷文科数学试卷(带解析)
【题文】已知A、B、C是圆

和三点,

,

A.

B.

C.

D.

题号:987764
题型:选择题
难易度:较易
日期:2013-07-08
来源:2013届安徽省泗县双语中学高三最后压轴卷文科数学试卷(带解析)
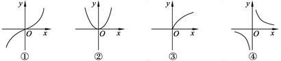
题号:987765
题型:选择题
难易度:较易
日期:2013-07-08
来源:2013届安徽省泗县双语中学高三最后压轴卷文科数学试卷(带解析)
【题文】下图给出4个幂函数的图像,则图像与函数的大致对应是

题号:987766
题型:选择题
难易度:容易
日期:2013-07-08
来源:2013届安徽省泗县双语中学高三最后压轴卷文科数学试卷(带解析)
【题文】下图是一个几何体的三视图,其中正视图和侧视图都是一个两底长分别为

和

,腰长为

的等腰梯形, 则该几何体的体积是

题号:987767
题型:选择题
难易度:容易
日期:2013-07-08
来源:2013届安徽省泗县双语中学高三最后压轴卷文科数学试卷(带解析)
题号:987768
题型:选择题
难易度:容易
日期:2013-07-08
来源:2013届安徽省泗县双语中学高三最后压轴卷文科数学试卷(带解析)
题号:987755
题型:填空题
难易度:容易
日期:2013-07-08
来源:2013届安徽省泗县双语中学高三最后压轴卷文科数学试卷(带解析)
【题文】给出下面的程序框图,则输出的结果为_________.

题号:987756
题型:填空题
难易度:较易
日期:2013-07-08
来源:2013届安徽省泗县双语中学高三最后压轴卷文科数学试卷(带解析)
【题文】直三棱柱ABC—A1B1C1各顶点在同一球面上,若AB=AC=AA1=2,∠BAC=120°则球的表面积为___________.
题号:987757
题型:填空题
难易度:容易
日期:2013-07-08
来源:2013届安徽省泗县双语中学高三最后压轴卷文科数学试卷(带解析)
题号:987758
题型:填空题
难易度:容易
日期:2013-07-08
来源:2013届安徽省泗县双语中学高三最后压轴卷文科数学试卷(带解析)
【题文】若双曲线

的离心率是2,则实数k的值是
题号:4190847
题型:填空题
难易度:容易
日期:2013-07-09
来源:2013届安徽省泗县双语中学高三最后压轴卷文科数学试卷(带解析)
【题文】若任意

则

就称

是“和谐”集合。则在集合

的所有非空子集中,“和谐”集合的概率是
.
题号:987752
题型:解答题
难易度:容易
日期:2013-07-08
来源:2013届安徽省泗县双语中学高三最后压轴卷文科数学试卷(带解析)
【题文】已知点

是直角坐标平面内的动点,点

到直线

(

是正常数)的距离为

,到点

的距离为

,且

1.
(1)求动点P所在曲线C的方程;
(2)直线

过点F且与曲线C交于不同两点A、B,分别过A、B点作直线

的垂线,对应的垂足分别为

,求证

=

;
(3)记

,

,

(A、B、

是(2)中的点),

,求

的值.
题号:987753
题型:解答题
难易度:容易
日期:2013-07-08
来源:2013届安徽省泗县双语中学高三最后压轴卷文科数学试卷(带解析)
【题文】设函数


.
(1) 试问函数f(x)能否在x=

时取得极值?说明理由;
(2) 若a=

,当x∈[

,4]时,函数f(x)与g(x)的图像有两个公共点,求c的取值范围.
题号:987754
题型:解答题
难易度:容易
日期:2013-07-08
来源:2013届安徽省泗县双语中学高三最后压轴卷文科数学试卷(带解析)
【题文】已知向量


,函数

,且

图象上一个最高点的坐标为

,与之相邻的一个最低点的坐标为

.
(1)求

的解析式;
(2)在△ABC中,

是角A、B、C所对的边,且满足

,求角B的大
小以及

的取值范围.
题号:4190848
题型:解答题
难易度:较易
日期:2013-07-09
来源:2013届安徽省泗县双语中学高三最后压轴卷文科数学试卷(带解析)
【题文】如图甲,在平面四边形ABCD中,已知


,

,现将四边形ABCD沿BD折起,使平面ABD

平面BDC(如图乙),设点E、F分别为棱AC、AD的中点.

(Ⅰ)求证:DC

平面ABC;
(Ⅱ)设

,求三棱锥A-BFE的体积.
题号:4190849
题型:解答题
难易度:较易
日期:2013-07-09
来源:2013届安徽省泗县双语中学高三最后压轴卷文科数学试卷(带解析)
【题文】某种产品的广告费支出

与销售额

(单位:万元)之间有如下对应数据:

| 2
| 4
| 5
| 6
| 8
|

| 30
| 40
| 60
| 50
| 70
|
(Ⅰ)求回归直线方程;
(Ⅱ)试预测广告费支出为10万元时,销售额多大?
(Ⅲ)在已有的五组数据中任意抽取两组,求至少有一组数据其预测值与实际值之差的绝对值不超过5的概率。
(参考数据:

,
参考公式:回归直线方程

,其中

)