适用年级:{{getGradeNameByProperty('高三|高考模拟|北京|2013年')}} 试卷类型:{{getTestPaperTypeName('高三|高考模拟|北京|2013年')}} 使用省份:{{getAreaName('高三|高考模拟|北京|2013年')}}
试卷年份:{{getYear('高三|高考模拟|北京|2013年')}}上传日期:2015-09-25题数:20
提示:单击题文可显示答案与解析。
题号:816288
题型:选择题
难易度:较易
日期:2015-09-25
来源:【百强校】2013届中国人民大学附属中学高考冲刺七理科数学试卷(带解析)
题号:816289
题型:选择题
难易度:较易
日期:2015-09-25
来源:【百强校】2013届中国人民大学附属中学高考冲刺七理科数学试卷(带解析)
题号:816290
题型:选择题
难易度:较易
日期:2015-09-25
来源:【百强校】2013届中国人民大学附属中学高考冲刺七理科数学试卷(带解析)
【题文】函数

的部分图象如图所示,设

是图象的最高点,

是图象与

轴的交点,则


题号:816291
题型:选择题
难易度:一般
日期:2015-09-25
来源:【百强校】2013届中国人民大学附属中学高考冲刺七理科数学试卷(带解析)
【题文】双曲线

的渐近线与圆

相切,则双曲线离心率为
题号:816312
题型:选择题
难易度:一般
日期:2015-09-25
来源:【百强校】2013届中国人民大学附属中学高考冲刺七理科数学试卷(带解析)
【题文】已知六棱锥

的底面是正六边形,

平面

.则下列结论不正确的是

题号:816313
题型:选择题
难易度:较易
日期:2015-09-25
来源:【百强校】2013届中国人民大学附属中学高考冲刺七理科数学试卷(带解析)
【题文】在

中,“

”是“

为钝角三角形”的
| A.充分不必要条件 | B.必要不充分条件 |
| C.充要条件 | D.既不充分又不必要条件 |
题号:816314
题型:选择题
难易度:容易
日期:2015-09-25
来源:【百强校】2013届中国人民大学附属中学高考冲刺七理科数学试卷(带解析)
【题文】已知

是虚数单位,则复数

所对应的点落在
题号:816315
题型:选择题
难易度:容易
日期:2015-09-25
来源:【百强校】2013届中国人民大学附属中学高考冲刺七理科数学试卷(带解析)
题号:816282
题型:填空题
难易度:较易
日期:2015-09-25
来源:【百强校】2013届中国人民大学附属中学高考冲刺七理科数学试卷(带解析)
【题文】数列

满足

,

,其中

,

.
①当

时,

_____;
②若存在正整数

,当

时总有

,则

的取值范围是_____.
题号:816283
题型:填空题
难易度:较易
日期:2015-09-25
来源:【百强校】2013届中国人民大学附属中学高考冲刺七理科数学试卷(带解析)
【题文】定义某种运算

,

的运算原理如图所示.

设

.
则

______;

在区间

上的最小值为______.
题号:816284
题型:填空题
难易度:较易
日期:2015-09-25
来源:【百强校】2013届中国人民大学附属中学高考冲刺七理科数学试卷(带解析)
【题文】在极坐标系中,点

关于直线

的对称点的一个极坐标为_____.
题号:816285
题型:填空题
难易度:一般
日期:2015-09-25
来源:【百强校】2013届中国人民大学附属中学高考冲刺七理科数学试卷(带解析)
【题文】如图,

是圆

的直径,

在

的延长线上,

切圆

于点

.已知圆

半径为

,

,则

______;

的大小为______.

题号:816286
题型:填空题
难易度:一般
日期:2015-09-25
来源:【百强校】2013届中国人民大学附属中学高考冲刺七理科数学试卷(带解析)
【题文】在

的展开式中,

的系数是_____.
题号:816287
题型:填空题
难易度:一般
日期:2015-09-25
来源:【百强校】2013届中国人民大学附属中学高考冲刺七理科数学试卷(带解析)
题号:816276
题型:解答题
难易度:较难
日期:2015-09-25
来源:【百强校】2013届中国人民大学附属中学高考冲刺七理科数学试卷(带解析)
【题文】(本小题满分13分)若

为集合

且

的子集,且满足两个条件:
①

;
②对任意的

,至少存在一个

,使

或

.
则称集合组

具有性质

.
如图,作

行

列数表,定义数表中的第

行第

列的数为

.
(Ⅰ)当

时,判断下列两个集合组是否具有性质

,如果是请画出所对应的表格,如果不是请说明理由;
集合组1:

;
集合组2:

.
(Ⅱ)当

时,若集合组

具有性质

,请先画出所对应的

行3列的一个数表,再依此表格分别写出集合

;
(Ⅲ)当

时,集合组

是具有性质

且所含集合个数最小的集合组,求

的值及

的最小值.(其中

表示集合

所含元素的个数)
题号:816277
题型:解答题
难易度:较易
日期:2015-09-25
来源:【百强校】2013届中国人民大学附属中学高考冲刺七理科数学试卷(带解析)
【题文】(本小题满分14分)已知椭圆


的离心率为

,且椭圆上一点与椭圆的两个焦点构成的三角形周长为

.
(Ⅰ)求椭圆

的方程;
(Ⅱ)设直线

与椭圆

交于

两点,且以

为直径的圆过椭圆的右顶点

,
求

面积的最大值.
题号:816278
题型:解答题
难易度:一般
日期:2015-09-25
来源:【百强校】2013届中国人民大学附属中学高考冲刺七理科数学试卷(带解析)
【题文】(本小题满分14分)已知函数

,其中

为自然对数的底数.
(Ⅰ)当

时,求曲线

在

处的切线与坐标轴围成的面积;
(Ⅱ)若函数

存在一个极大值点和一个极小值点,且极大值与极小值的积为

,求

的值.
题号:816279
题型:解答题
难易度:较易
日期:2015-09-25
来源:【百强校】2013届中国人民大学附属中学高考冲刺七理科数学试卷(带解析)
【题文】(本小题满分13分)甲班有2名男乒乓球选手和3名女乒乓球选手,乙班有3名男乒乓球选手和1名女乒乓球选手,学校计划从甲乙两班各选2名选手参加体育交流活动.
(Ⅰ)求选出的4名选手均为男选手的概率.
(Ⅱ)记

为选出的4名选手中女选手的人数,求

的分布列和期望.
题号:816280
题型:解答题
难易度:一般
日期:2015-09-25
来源:【百强校】2013届中国人民大学附属中学高考冲刺七理科数学试卷(带解析)
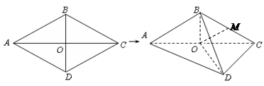
【题文】(本小题满分13分)如图,已知菱形

的边长为

,

,

.将菱形

沿对角线

折起,使

,得到三棱锥

.

(Ⅰ)若点

是棱

的中点,求证:

平面

;
(Ⅱ)求二面角

的余弦值;
(Ⅲ)设点

是线段

上一个动点,试确定

点的位置,使得

,并证明你的结论.
题号:816281
题型:解答题
难易度:较易
日期:2015-09-25
来源:【百强校】2013届中国人民大学附属中学高考冲刺七理科数学试卷(带解析)
【题文】(本小题满分13分)已知函数

.
(Ⅰ)求函数

的定义域;
(Ⅱ)若

,求

的值.