适用年级:{{getGradeNameByProperty('高三|高考模拟|安徽|2014年')}} 试卷类型:{{getTestPaperTypeName('高三|高考模拟|安徽|2014年')}} 使用省份:{{getAreaName('高三|高考模拟|安徽|2014年')}}
试卷年份:{{getYear('高三|高考模拟|安徽|2014年')}}上传日期:2014-12-01题数:21
提示:单击题文可显示答案与解析。
题号:878999
题型:选择题
难易度:较易
日期:2014-12-01
来源:【百强校】2013届安徽省芜湖一中高三上学期二模考试文科数学试卷(带解析)
【题文】五张卡片上分别写有数字1,2,3,4,5,从这五张卡片中随机抽取2张,则取出的2张卡片上数字之和为奇数的概率为( )
题号:879000
题型:选择题
难易度:较易
日期:2014-12-01
来源:【百强校】2013届安徽省芜湖一中高三上学期二模考试文科数学试卷(带解析)
【题文】定义在

上的偶函数

满足

,且在[-3,-2]上式减函数,

是钝角三角形的两个锐角,则下列结论正确的是( )
题号:879001
题型:选择题
难易度:较易
日期:2014-12-01
来源:【百强校】2013届安徽省芜湖一中高三上学期二模考试文科数学试卷(带解析)
【题文】一个几何体的三视图如图所示,则该几何体的体积为( )

题号:879002
题型:选择题
难易度:一般
日期:2014-12-01
来源:【百强校】2013届安徽省芜湖一中高三上学期二模考试文科数学试卷(带解析)
【题文】设变量x,y满足约束条件

,则目标函数

的最小值为( )
题号:879003
题型:选择题
难易度:较易
日期:2014-12-01
来源:【百强校】2013届安徽省芜湖一中高三上学期二模考试文科数学试卷(带解析)
【题文】已知函数

,

是定义在R上的奇函数,当

时,

,则函数

的大致图象为( )

题号:879004
题型:选择题
难易度:较易
日期:2014-12-01
来源:【百强校】2013届安徽省芜湖一中高三上学期二模考试文科数学试卷(带解析)
【题文】已知

是等差数列,

,

,那么该数列的前13项和

等于( )
题号:879005
题型:选择题
难易度:较易
日期:2014-12-01
来源:【百强校】2013届安徽省芜湖一中高三上学期二模考试文科数学试卷(带解析)
【题文】已知圆

与直线

及

都相切,圆心在直线

上,则圆

的方程为( )
题号:879006
题型:选择题
难易度:较易
日期:2014-12-01
来源:【百强校】2013届安徽省芜湖一中高三上学期二模考试文科数学试卷(带解析)
题号:879007
题型:选择题
难易度:较易
日期:2014-12-01
来源:【百强校】2013届安徽省芜湖一中高三上学期二模考试文科数学试卷(带解析)
【题文】已知复数

(

),且有

,

是z的共轭复数,那么

的值为( )
题号:879008
题型:选择题
难易度:一般
日期:2014-12-01
来源:【百强校】2013届安徽省芜湖一中高三上学期二模考试文科数学试卷(带解析)
【题文】已知集合

,

,且

,则实数m的取值范围是( )
题号:878994
题型:填空题
难易度:较易
日期:2014-12-01
来源:【百强校】2013届安徽省芜湖一中高三上学期二模考试文科数学试卷(带解析)
【题文】给出以下五个命题:
①命题“

,

”的否定是:“

”.
②已知函数

的图象经过点P(

,1),则函数图象上过点P的切线斜率等于

③

是直线

和直线

垂直的充要条件.
④函数

在区间(0,1)上存在零点.
⑤已知向量

与向量

的夹角为锐角,那么实数m的取值范围是(

)
其中正确命题的序号是
.
题号:878995
题型:填空题
难易度:较易
日期:2014-12-01
来源:【百强校】2013届安徽省芜湖一中高三上学期二模考试文科数学试卷(带解析)
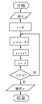
【题文】执行右图所示的程序框图,若输入

,则输出y的值 为
.

题号:878996
题型:填空题
难易度:较易
日期:2014-12-01
来源:【百强校】2013届安徽省芜湖一中高三上学期二模考试文科数学试卷(带解析)
【题文】某长方体的对角线长是4,有一条棱长为1,那么该长方体的最大体积为 .
题号:878997
题型:填空题
难易度:较易
日期:2014-12-01
来源:【百强校】2013届安徽省芜湖一中高三上学期二模考试文科数学试卷(带解析)
【题文】已知x,y的值如下表所示:
如果y与x呈线性相关且回归直线方程为

,那么b=
.
题号:878998
题型:填空题
难易度:容易
日期:2014-12-01
来源:【百强校】2013届安徽省芜湖一中高三上学期二模考试文科数学试卷(带解析)
【题文】抛物线

的焦点坐标为
.
题号:878968
题型:解答题
难易度:较难
日期:2014-12-01
来源:【百强校】2013届安徽省芜湖一中高三上学期二模考试文科数学试卷(带解析)
【题文】在平面直线坐标系XOY中,给定两点A(1,0),B(0,-2),点C满足

,其中

,且

.
(1)求点C的轨迹方程.
(2)设点C的轨迹与双曲线

(

)相交于M,N两点,且以MN为直径的圆经过原点,求证:

是定值.
(3)在(2)条件下,若双曲线的离心率不大于

,求该双曲线实轴的取值范围.
题号:878969
题型:解答题
难易度:较难
日期:2014-12-01
来源:【百强校】2013届安徽省芜湖一中高三上学期二模考试文科数学试卷(带解析)
【题文】已知数列

的前n项和为

,且满足

各项为正数的数列

中,对一切

,有

,且

,

,

.
(1)求数列

和

的通项公式.
(2)设数列

的前n项和为

,求

.
题号:878970
题型:解答题
难易度:较难
日期:2014-12-01
来源:【百强校】2013届安徽省芜湖一中高三上学期二模考试文科数学试卷(带解析)
【题文】设函数

(1)若函数

在

处取得极值-2,求a, b的值.
(2)若函数

在区间(-1,1)内单调递增,求b的取值范围.
题号:878971
题型:解答题
难易度:一般
日期:2014-12-01
来源:【百强校】2013届安徽省芜湖一中高三上学期二模考试文科数学试卷(带解析)
【题文】某省对省内养殖场“瘦肉精”使用情况进行检查,在全省的养殖场随机抽取M个养殖场的猪作为样本,得到M个养殖场“瘦肉精”检测阳性猪的头数,根据此数据作出了频率分布表和频率分布直方图如下:
分组
| 频数
| 频率
|

| 10
| 0.25
|

| 24
| n
|

| m
| P
|

| 2
| 0.05
|
合计
| M
| 1
|

(1)求出表中M,P以及图中a的值.
(2)若该省有这样规模的养殖场240个,试估计该省“瘦肉精”检测呈阳性的猪的头数在区间

内的养殖场的个数.
(3)在所取样本中,出现“瘦肉精”呈阳性猪的头数不少于20头的养殖场中任选2个,求至多一个养殖场出现“瘦肉精”阳性猪头数在区间

内的概率.
题号:878992
题型:解答题
难易度:较易
日期:2014-12-01
来源:【百强校】2013届安徽省芜湖一中高三上学期二模考试文科数学试卷(带解析)
【题文】如图,四棱锥P-ABCD的底面是正方形,PD

面ABCD,E是PD上一点.

(1)求证:AC

BE.
(2)若PD=AD=1,且

的余弦值为

,求三棱锥E-PBC的体积.
题号:878993
题型:解答题
难易度:一般
日期:2014-12-01
来源:【百强校】2013届安徽省芜湖一中高三上学期二模考试文科数学试卷(带解析)
【题文】已知

,

,若

,求:
(1)

的最小正周期及对称轴方程.
(2)

的单调递增区间.
(3)当

时,函数

的值域.