适用年级:{{getGradeNameByProperty('高三|高考模拟|山东|2012年')}} 试卷类型:{{getTestPaperTypeName('高三|高考模拟|山东|2012年')}} 使用省份:{{getAreaName('高三|高考模拟|山东|2012年')}}
试卷年份:{{getYear('高三|高考模拟|山东|2012年')}}上传日期:2012-03-23题数:22
提示:单击题文可显示答案与解析。
题号:1090460
题型:选择题
难易度:容易
日期:2012-03-23
来源:2012届山东省烟台市高三下学期3月诊断性测试理科数学
【题文】在

中,

为

的中点,若

,

,则

的最小值是 ( )
题号:1090461
题型:选择题
难易度:容易
日期:2012-03-23
来源:2012届山东省烟台市高三下学期3月诊断性测试理科数学
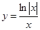
【题文】函数

的图象大致是

题号:1090462
题型:选择题
难易度:容易
日期:2012-03-23
来源:2012届山东省烟台市高三下学期3月诊断性测试理科数学
【题文】用0,1,2,3,4排成无重复数字的五位数,要求偶数字相邻,奇数字也相邻,则这样的五位数的个数是( )
题号:1090463
题型:选择题
难易度:容易
日期:2012-03-23
来源:2012届山东省烟台市高三下学期3月诊断性测试理科数学
【题文】已知

是定义在

上的奇函数,当

时,

(

为常数),则

的值为
题号:1090464
题型:选择题
难易度:容易
日期:2012-03-23
来源:2012届山东省烟台市高三下学期3月诊断性测试理科数学
【题文】已知

为抛物线

上一个动点,

为圆

上一个动点,那么点

到点

的距离与点

到抛物线的准线距离之和的最小值是( )

题号:1090465
题型:选择题
难易度:容易
日期:2012-03-23
来源:2012届山东省烟台市高三下学期3月诊断性测试理科数学
题号:1090466
题型:选择题
难易度:容易
日期:2012-03-23
来源:2012届山东省烟台市高三下学期3月诊断性测试理科数学
题号:3489164
题型:选择题
难易度:容易
日期:2013-04-24
来源:2012届山东省烟台市高三下学期3月诊断性测试理科数学
【题文】如图是一个空间几何体的正视图、侧视图、俯视图,如果正视图、侧视图所对应的三角形皆为边长为2的正三角形,俯视图对应的四边形为正方形,那么这个几何体的体积为( )

题号:3489166
题型:选择题
难易度:
日期:2012-03-23
来源:2012届山东省烟台市高三下学期3月诊断性测试理科数学
【题文】设全集

={1,2,3,4,5},w.w.w.k.s.5 u.c.o.若
A={1,2},
B={2,3},则
A∩∁
UB =
题号:3489167
题型:选择题
难易度:
日期:2012-03-23
来源:2012届山东省烟台市高三下学期3月诊断性测试理科数学
题号:3489168
题型:选择题
难易度:
日期:2012-03-23
来源:2012届山东省烟台市高三下学期3月诊断性测试理科数学
【题文】.某地区教育主管部门为了对该地区模拟考试成绩进行分析,抽取了总成绩介于350分到650分之间的10000名学生成绩,并根据这10000名学生的总成绩画了样本的频率分布直方图.为了进一步分析学生的总成绩与各科成绩等方面的关系,要从这10000名学生中,再用分层抽样方法抽出200人作进一步调查,则总成绩在[400,500)内共抽出

题号:3489169
题型:选择题
难易度:
日期:2012-03-23
来源:2012届山东省烟台市高三下学期3月诊断性测试理科数学
【题文】如图,长方形的四个顶点为

,曲线

经过点

.现将一质点随机投入长方形

中,则质点落在图中阴影区域的概率是

题号:1090457
题型:填空题
难易度:较易
日期:2012-03-23
来源:2012届山东省烟台市高三下学期3月诊断性测试理科数学
【题文】若实数

、

、

满足

,则称

比

远离

.若

比1远离0,则

的取值范围是
题号:1090458
题型:填空题
难易度:较易
日期:2012-03-23
来源:2012届山东省烟台市高三下学期3月诊断性测试理科数学
题号:1090459
题型:填空题
难易度:容易
日期:2012-03-23
来源:2012届山东省烟台市高三下学期3月诊断性测试理科数学
【题文】执行如图的程序框图,那么输出

的值是

题号:3489170
题型:填空题
难易度:
日期:2012-03-23
来源:2012届山东省烟台市高三下学期3月诊断性测试理科数学
题号:1090453
题型:解答题
难易度:较易
日期:2012-03-23
来源:2012届山东省烟台市高三下学期3月诊断性测试理科数学
【题文】(本小题满分12分)
已知函数


是

的一个极值点.
(1)求函数

的单调区间;
(2)若当

时,

恒成立,求

的取值范围.
题号:1090454
题型:解答题
难易度:容易
日期:2012-03-23
来源:2012届山东省烟台市高三下学期3月诊断性测试理科数学
【题文】(本题满分12分)
如图,在梯形

中,

,

,四边形

为矩形,平面

平面

,

.
(1)求证:

平面

;
(2)点

在线段

上运动,设平面

与平面

所成二面角的平面角为

,试求

的取值范围.

题号:1090455
题型:解答题
难易度:容易
日期:2012-03-23
来源:2012届山东省烟台市高三下学期3月诊断性测试理科数学
【题文】 (本小题满分12分)
已知数列

是公差为2的等差数列,且

,

,

成等比数列.
(1)求

的通项公式;
(2)令

,记数列

的前

项和为

,求证:

.
题号:1090456
题型:解答题
难易度:容易
日期:2012-03-23
来源:2012届山东省烟台市高三下学期3月诊断性测试理科数学
【题文】(本小题满分12分)在△
ABC中,

分别为内角
A, B, C的对边,且

(1)求角
A的大小;
(2)求

的最大值.
题号:3489165
题型:解答题
难易度:较易
日期:2012-07-16
来源:2012届山东省烟台市高三下学期3月诊断性测试理科数学
【题文】(本小题满分12分)
在一次数学考试中,第21题和第22题为选做题. 规定每位考生必须且只须在其中选做一题. 设4名考生选做这两题的可能性均为

.
(1)求其中甲、乙二名学生选做同一道题的概率;
(2)设这4名考生中选做第22题的学生个数为

,求

的概率分布及数学期望.
题号:3489171
题型:解答题
难易度:
日期:2012-03-23
来源:2012届山东省烟台市高三下学期3月诊断性测试理科数学
【题文】(本小题满分14分)
直线

与椭圆

交于

,

两点,已知


,


,若

且椭圆的离心率

,又椭圆经过点

,

为坐标原点.
(1)求椭圆的方程;
(2)若直线

过椭圆的焦点

(

为半焦距),求直线

的斜率

的值;
(3)试问:

的面积是否为定值?如果是,请给予证明;如果不是,请说明理由.