适用年级:{{getGradeNameByProperty('高三|高考模拟|黑龙江|2011年')}} 试卷类型:{{getTestPaperTypeName('高三|高考模拟|黑龙江|2011年')}} 使用省份:{{getAreaName('高三|高考模拟|黑龙江|2011年')}}
试卷年份:{{getYear('高三|高考模拟|黑龙江|2011年')}}上传日期:2011-06-03题数:24
提示:单击题文可显示答案与解析。
题号:1144481
题型:选择题
难易度:一般
日期:2011-06-03
来源:2011届黑龙江省大庆实验中学高三高考仿真模拟试题理数
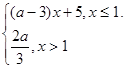
【题文】 已知函数


是

上的减函数。那么

的取值范围是( )
题号:1144482
题型:选择题
难易度:一般
日期:2011-06-03
来源:2011届黑龙江省大庆实验中学高三高考仿真模拟试题理数
【题文】已知直线

⊥平面α,直线

平面β,给出下列命题:
①α∥β

l⊥m ②α⊥β

l∥m ③l∥m

α⊥β ④l⊥m

α∥β
其中正确命题的序号是( )
题号:1144483
题型:选择题
难易度:一般
日期:2011-06-03
来源:2011届黑龙江省大庆实验中学高三高考仿真模拟试题理数
【题文】若

为等差数列

的前n项和,

,

,则

与

的等比中项为 ( )
题号:1144484
题型:选择题
难易度:一般
日期:2011-06-03
来源:2011届黑龙江省大庆实验中学高三高考仿真模拟试题理数
【题文】在

展开式中

的系数为 ( )
题号:1144485
题型:选择题
难易度:一般
日期:2011-06-03
来源:2011届黑龙江省大庆实验中学高三高考仿真模拟试题理数
【题文】一枚硬币连掷5次,则至少一次正面向上的概率为( )
题号:1144486
题型:选择题
难易度:一般
日期:2011-06-03
来源:2011届黑龙江省大庆实验中学高三高考仿真模拟试题理数
【题文】直线

的倾斜角是( )
题号:1144487
题型:选择题
难易度:一般
日期:2011-06-03
来源:2011届黑龙江省大庆实验中学高三高考仿真模拟试题理数
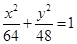
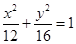
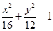
【题文】设椭圆

(

,

)的右焦点与抛物线

的焦点相同,离心率为

,则此椭圆的方程为 ( )
题号:1144488
题型:选择题
难易度:一般
日期:2011-06-03
来源:2011届黑龙江省大庆实验中学高三高考仿真模拟试题理数
【题文】如图
S为正三角形
ABC所在平面外一点,且
SA=
SB=
SC=
AB,
E、
F分别为
SC、
AB中点,则异面直线
EF与
AB所成角为 ( )

题号:1144489
题型:选择题
难易度:一般
日期:2011-06-03
来源:2011届黑龙江省大庆实验中学高三高考仿真模拟试题理数
【题文】函数
f(
x)=sin
2x在区间

上的最大值是 ( )
题号:1144490
题型:选择题
难易度:一般
日期:2011-06-03
来源:2011届黑龙江省大庆实验中学高三高考仿真模拟试题理数
【题文】如果复数

是纯虚数,则实数

的值为( )
题号:1144491
题型:选择题
难易度:一般
日期:2011-06-03
来源:2011届黑龙江省大庆实验中学高三高考仿真模拟试题理数
题号:4209340
题型:选择题
难易度:一般
日期:2012-08-01
来源:2011届黑龙江省大庆实验中学高三高考仿真模拟试题理数
【题文】 若存在过点

的直线与曲线

和

都相切,则

等于 ( )
题号:1144478
题型:填空题
难易度:一般
日期:2011-06-03
来源:2011届黑龙江省大庆实验中学高三高考仿真模拟试题理数
【题文】若在直线

上存在点

,

到点

与到点

的距离之差为

,则实数

的取值范围为
.
题号:1144479
题型:填空题
难易度:一般
日期:2011-06-03
来源:2011届黑龙江省大庆实验中学高三高考仿真模拟试题理数
【题文】中心在原点,对称轴为坐标轴的双曲线C的两条渐近线与圆

都相切,则双曲线C的离心率是____;
题号:1144480
题型:填空题
难易度:一般
日期:2011-06-03
来源:2011届黑龙江省大庆实验中学高三高考仿真模拟试题理数
题号:4209341
题型:填空题
难易度:一般
日期:2012-12-22
来源:2011届黑龙江省大庆实验中学高三高考仿真模拟试题理数
【题文】
已知数列

是公差不为零的等差数列,

成等比数列,则

=
;
题号:1144451
题型:解答题
难易度:一般
日期:2011-06-03
来源:2011届黑龙江省大庆实验中学高三高考仿真模拟试题理数
【题文】(本小题满分10分)选修4—5:不等式选讲
已知:
a、
b、
x、
y∈
R+,

, 求证:

题号:1144452
题型:解答题
难易度:一般
日期:2011-06-03
来源:2011届黑龙江省大庆实验中学高三高考仿真模拟试题理数
【题文】((本小题满分10分)选修4—4:作标系与参数方程
(1)已知点
C 的极坐标为(2,

),画图并求出以
C为圆心,半径
r=2的圆的极坐标
方程(写出解题过程);
(2)
P是以原点为圆心,
r=2的圆上的任意一点,
Q(6,0),
M是
PQ中点
①画图并写出⊙
O的参数方程;
②当点
P在圆上运动时,求点
M的轨迹的参数方程。
题号:1144453
题型:解答题
难易度:一般
日期:2011-06-03
来源:2011届黑龙江省大庆实验中学高三高考仿真模拟试题理数
【题文】
22.(本小题满分10分)选修4—1:几何证明选讲
如图所示,AB为⊙O的直径,BC、CD为⊙O′的切线,B、D为切点
(1)求证:AD∥OC;
(2)若⊙O的半径为1,求AD·OC的值.
题号:1144454
题型:解答题
难易度:一般
日期:2011-06-03
来源:2011届黑龙江省大庆实验中学高三高考仿真模拟试题理数
【题文】((本小题满分12分)
若函数

是奇函数,且

。
(1)求函数

的解析式;
(2)求函数

在


上的最大值;
(3)设函数

,若不等式

在

上恒成立,求实数k的取值范围.
题号:1144455
题型:解答题
难易度:一般
日期:2011-06-03
来源:2011届黑龙江省大庆实验中学高三高考仿真模拟试题理数
【题文】((本小题满分12分)
已知椭圆


是椭圆上纵坐标不为零的两点,若

其中F为椭圆的左焦点.
(Ⅰ)求椭圆的方程;
(Ⅱ)求线段AB的垂直平分线在y轴上的截距的取值范围.
题号:1144476
题型:解答题
难易度:一般
日期:2011-06-03
来源:2011届黑龙江省大庆实验中学高三高考仿真模拟试题理数
【题文】(本小题满分12分)
如右图,四边形

是圆柱

的轴截面,点

在圆柱

的底面圆周上,

是

的中点,圆柱

的底面圆的半径

,侧面积为

,

.
(Ⅰ)求证:

;
(Ⅱ)求二面角

的平面角的余弦值.

题号:1144477
题型:解答题
难易度:一般
日期:2011-06-03
来源:2011届黑龙江省大庆实验中学高三高考仿真模拟试题理数
【题文】
(本小题满分12分)
已知数列{

},其前n项和
Sn满足
Sn+1=2
Sn+1(

是大于0的常数),且
a1=1,
a3=4.
(Ⅰ)求

的值;
(Ⅱ)求数列{
an}的通项公式

;
题号:4209342
题型:解答题
难易度:一般
日期:2011-06-03
来源:2011届黑龙江省大庆实验中学高三高考仿真模拟试题理数
【题文】(本小题满分12分)
计算机考试分理论考试与上机操作考试两部分进行,每部分考试成绩只记“合格”与“不合格”,两部分考试都“合格”则计算机考试“合格”并颁发“合格证书”.甲、乙、丙三人在理论考试中合格的概率分别为

,

,

;在上机操作考试中合格的概率分别为

,

,

.所有考试是否合格相互之间没有影响.
(Ⅰ)甲、乙、丙三人在同一次计算机考试中谁获得“合格证书”可能性最大?
(Ⅱ)求这三人计算机考试都获得“合格证书”的概率;
(Ⅲ)用

表示甲、乙、丙三人在理论考核中合格人数,求

的分布列和数学期望

.