适用年级:{{getGradeNameByProperty('高三|高考模拟|重庆|2011年')}} 试卷类型:{{getTestPaperTypeName('高三|高考模拟|重庆|2011年')}} 使用省份:{{getAreaName('高三|高考模拟|重庆|2011年')}}
试卷年份:{{getYear('高三|高考模拟|重庆|2011年')}}上传日期:2011-02-23题数:21
提示:单击题文可显示答案与解析。
题号:1176989
题型:选择题
难易度:一般
日期:2011-02-23
来源:2011届重庆市七区高三第一次调研测试数学理卷
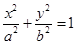
【题文】已知椭圆C:


的离心率为

,过右焦点

且斜率为

的直线与椭圆C相交于

、

两点.若

,则

=( )
题号:1176990
题型:选择题
难易度:一般
日期:2011-02-23
来源:2011届重庆市七区高三第一次调研测试数学理卷
【题文】已知函数

是

上的偶函数,若对于

,都有

,且当

时,

,则

的值为( )
题号:1176991
题型:选择题
难易度:一般
日期:2011-02-23
来源:2011届重庆市七区高三第一次调研测试数学理卷
【题文】设

、

分别为双曲线

的左、右焦点.若在双曲线右支上存在点

,满足

,且点

的横坐标为


(

为半焦距),则该双曲线的离心率为( )
题号:1176992
题型:选择题
难易度:一般
日期:2011-02-23
来源:2011届重庆市七区高三第一次调研测试数学理卷
题号:1176993
题型:选择题
难易度:一般
日期:2011-02-23
来源:2011届重庆市七区高三第一次调研测试数学理卷
【题文】“

”是“

”成立的( )
| A.充分不必要条件 | B.必要不充分条件 |
| C.充要条件 | D.既不充分也不必要条件 |
题号:1176994
题型:选择题
难易度:一般
日期:2011-02-23
来源:2011届重庆市七区高三第一次调研测试数学理卷
【题文】下列四类函数中,具有性质“对任意的

,

,函数

满足

=

”的是( )
题号:1176995
题型:选择题
难易度:一般
日期:2011-02-23
来源:2011届重庆市七区高三第一次调研测试数学理卷
题号:1176996
题型:选择题
难易度:一般
日期:2011-02-23
来源:2011届重庆市七区高三第一次调研测试数学理卷
题号:3498133
题型:选择题
难易度:一般
日期:2012-12-22
来源:2011届重庆市七区高三第一次调研测试数学理卷
题号:3498134
题型:选择题
难易度:一般
日期:2013-01-05
来源:2011届重庆市七区高三第一次调研测试数学理卷
【题文】已知点

在由不等式组

确定的平面区域内,则

的最大值为( )
题号:1176984
题型:填空题
难易度:一般
日期:2011-02-23
来源:2011届重庆市七区高三第一次调研测试数学理卷
【题文】给出以下4个命题:
①曲线

按

平移可得曲线

;
②若|

-1|+|

-1|

,则使



取得最小值的最优解有无数多个;
③设

、

为两个定点,

为

常数,

,则动点

的轨迹为双曲线;
④若椭圆的左、右焦点分别为

、

,

是该椭圆上的任意一点,延长

到点

,使

,则点

的轨迹是圆.
其中所有真命题的序号为 .
题号:1176985
题型:填空题
难易度:一般
日期:2011-02-23
来源:2011届重庆市七区高三第一次调研测试数学理卷
【题文】已知

分别是△

的三个内角

,

,

所对的边,若

=2,

=

,

,则

=" " .
题号:1176986
题型:填空题
难易度:一般
日期:2011-02-23
来源:2011届重庆市七区高三第一次调研测试数学理卷
【题文】已知向量

,

满足

,


,

与

的夹角为60°,则

=" " .
题号:1176987
题型:填空题
难易度:一般
日期:2011-02-23
来源:2011届重庆市七区高三第一次调研测试数学理卷
题号:1176988
题型:填空题
难易度:一般
日期:2011-02-23
来源:2011届重庆市七区高三第一次调研测试数学理卷
【题文】若抛物线的焦点坐标为

,则抛物线的标准方程是 .
题号:1176958
题型:解答题
难易度:一般
日期:2011-02-23
来源:2011届重庆市七区高三第一次调研测试数学理卷
【题文】(本小题满分12分)
已知双曲线

:

的

左焦点为

,左准线

与

轴的交点是圆

的圆心,圆

恰好经过坐标原点

,设

是圆


上任意一点.
(Ⅰ)求圆

的方程;
(Ⅱ)若直线

与直线

交于点

,且

为线段

的中点,求直线

被圆

所截得的弦长;
(Ⅲ)在平面上是否存在定点

,使得对圆

上任意的点

有

?若存在,求出点

的坐标;若不存在,请说明理由.
题号:1176959
题型:解答题
难易度:一般
日期:2011-02-23
来源:2011届重庆市七区高三第一次调研测试数学理卷
【题文】(本小题满分12分)
设数列

的各项都为正数,其前

项和为

,已知对任意

,

是

和

的等比中项.
(Ⅰ)证明数列

为等差数列,并求数列

的通项公式;
(Ⅱ)证明

;
(Ⅲ)设集合

,

,且

,若存在

∈

,使对满足

的一切正整数

,不等式

恒成立,求这样的正整数

共有多少个?
题号:1176960
题型:解答题
难易度:一般
日期:2011-02-23
来源:2011届重庆市七区高三第一次调研测试数学理卷
【题文】(本小题满分12分)
某地设计修建一条26公里长的轻轨交通路线,该轻轨交通路线的起点站和终点站已建好,余下工程只需要在该段路线的起点站和终点站之间修建轻轨道路和轻轨中间站,相邻两轻轨站之间的距离均为

公里.经预算,修建一个轻轨中间站的

费用为2000万元,修建

公里的轻轨道路费用为(

)万元.设余下工程的总费用为

万元.
(Ⅰ)试将

表示成

的函数;
(Ⅱ)需要修建多少个轻轨中间站才能使

最小?其最小值为多少万元?
题号:1176961
题型:解答题
难易度:一般
日期:2011-02-23
来源:2011届重庆市七区高三第一次调研测试数学理卷
【题文】(本小题满分13分)
定义域为

的奇函数

满足

,且当

时,

.
(Ⅰ)求

在

上的解析式;
(Ⅱ)当

取何值时,方程

在

上有解?
题号:1176982
题型:解答题
难易度:一般
日期:2011-02-23
来源:2011届重庆市七区高三第一次调研测试数学理卷
【题文】(本小题满分13分)
设函数

(

)=2

(

在

处

取得最小值.
(Ⅰ)求

的值

;
(Ⅱ)已知函数

和函数

(

)关于点(

,

)对称,求函数

的单调增区间.
题号:1176983
题型:解答题
难易度:一般
日期:2011-02-23
来源:2011届重庆市七区高三第一次调研测试数学理卷
【题文】(本小题满分13分)
等比数列{

}的前

项和为

,已知5

、2

、

成等差数列.
(Ⅰ)求{

}的公比

;
(Ⅱ)当

-

=3且

时,求

.