适用年级:{{getGradeNameByProperty('高三|高考模拟|重庆|2010年')}} 试卷类型:{{getTestPaperTypeName('高三|高考模拟|重庆|2010年')}} 使用省份:{{getAreaName('高三|高考模拟|重庆|2010年')}}
试卷年份:{{getYear('高三|高考模拟|重庆|2010年')}}上传日期:2010-10-18题数:17
提示:单击题文可显示答案与解析。
题号:1364779
题型:选择题
难易度:较易
日期:2010-01-28
来源:2011届重庆永新中学高三数学文科检测题
【题文】函数y=

[(1-x)(x+3)]的递减区间是( )
| A.(-3,-1) | B.(-∞,-1) | C.(-∞,-3) | D.(-1,+∞) |
题号:1364903
题型:选择题
难易度:较易
日期:2010-01-28
来源:2011届重庆永新中学高三数学文科检测题
【题文】若函数y=log
a(x+b)(a>0,a≠1)的图象过两点(-1,0)和(0,1),则( )
| A.a="2,b=2" | B.a= ,b="2" | C.a="2,b=1" | D.a= ,b= |
题号:1364907
题型:选择题
难易度:较易
日期:2010-01-28
来源:2011届重庆永新中学高三数学文科检测题
【题文】已知函数y=f(x)是奇函数,当x∈(0,+∞)时,f(x)=lgx,则当x∈(-∞,0)时,f(x)的解析式为( )
| A.f(x)="-lgx" | B.f(x)=lg(-x) |
| C.f(x)="-lg(-x)" | D.f(x)= lg(-x) |
题号:1364909
题型:选择题
难易度:较易
日期:2010-01-28
来源:2011届重庆永新中学高三数学文科检测题
题号:1364911
题型:选择题
难易度:较易
日期:2010-01-28
来源:2011届重庆永新中学高三数学文科检测题
题号:1365195
题型:选择题
难易度:较易
日期:2010-01-28
来源:2011届重庆永新中学高三数学文科检测题
【题文】函数y=lnx+1(x>0)的反函数为( )
| A.y=ex+1(x∈R) | B.y=ex-1(x∈R) |
| C.y=ex+1(x>1) | D.y=ex-1(x>1) |
题号:1365196
题型:选择题
难易度:较易
日期:2010-01-28
来源:2011届重庆永新中学高三数学文科检测题
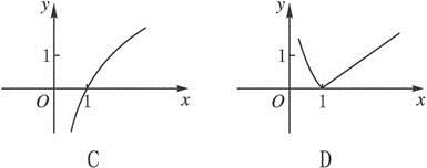
【题文】函数f(x)=|log
2x|的图象是()


题号:1365639
题型:选择题
难易度:较易
日期:2010-01-27
来源:2011届重庆永新中学高三数学文科检测题
【题文】 函数y=2
|x|的值域是( )
| A.(0,1] | B.[1,+∞) | C.(0,1) | D.(0,+∞) |
题号:3494049
题型:选择题
难易度:较易
日期:2012-11-19
来源:2011届重庆永新中学高三数学文科检测题
题号:1364906
题型:填空题
难易度:较易
日期:2010-01-28
来源:2011届重庆永新中学高三数学文科检测题
【题文】函数y=

x,x∈(0,8)的值域是_________________.
题号:1365194
题型:填空题
难易度:较易
日期:2010-01-28
来源:2011届重庆永新中学高三数学文科检测题
【题文】已知函数f(x)=lg(x+1)(x>0),则f(x)的反函数为________.
题号:1363917
题型:解答题
难易度:较易
日期:2010-01-28
来源:2011届重庆永新中学高三数学文科检测题
【题文】比较大小:
(1)log0.27和log0.29;(2)log35和log65;
(3)(lgm)1.9和(lgm)2.1(m>1);(4)log85和lg4.
题号:1365760
题型:解答题
难易度:较易
日期:2010-01-27
来源:2011届重庆永新中学高三数学文科检测题
【题文】如果函数y=a2x+2ax-1(a>0且a≠1)在[-1,1]上有最大值14,试求a的值.
题号:1365764
题型:解答题
难易度:较易
日期:2010-01-27
来源:2011届重庆永新中学高三数学文科检测题
【题文】6.已知函数y=

,
(1)求函数的定义域,值域;
(2)确定函数的单调区间.
题号:1379715
题型:解答题
难易度:一般
日期:2010-01-14
来源:2011届重庆永新中学高三数学文科检测题
【题文】已知函数f(x)=ax+b的图象过点(1,3),且它的反函数f-1(x)的图象过(2,0)点,试确定f(x)的解析式.
题号:3440055
题型:解答题
难易度:一般
日期:2012-09-11
来源:2011届重庆永新中学高三数学文科检测题
【题文】若函数y=a2x+b+1(a>0且a≠1,b为实数)的图象恒过定点(1,2),求b的值.
题号:3494048
题型:解答题
难易度:一般
日期:2012-09-11
来源:2011届重庆永新中学高三数学文科检测题
【题文】求函数
y=3

的定义域、值域和单调区间.