适用年级:{{getGradeNameByProperty('高三|高考模拟|山东|2010年')}} 试卷类型:{{getTestPaperTypeName('高三|高考模拟|山东|2010年')}} 使用省份:{{getAreaName('高三|高考模拟|山东|2010年')}}
试卷年份:{{getYear('高三|高考模拟|山东|2010年')}}上传日期:2010-05-11题数:22
提示:单击题文可显示答案与解析。
题号:1289546
题型:选择题
难易度:一般
日期:2010-05-11
来源:2010年山东省青岛市高三第二次模拟考试数学(理)
【题文】设

是双曲线

的两个焦点,

是双曲线上的一点,且

,则

的面积等于 ( )
题号:1289547
题型:选择题
难易度:较易
日期:2010-05-11
来源:2010年山东省青岛市高三第二次模拟考试数学(理)
【题文】一个算法的程序框图如图所示,该程序输出的结果为
题号:1289549
题型:选择题
难易度:一般
日期:2010-05-11
来源:2010年山东省青岛市高三第二次模拟考试数学(理)
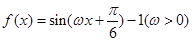
【题文】设函数

的导函数最大值为

,则函数

图象的对称轴方程为
题号:1289552
题型:选择题
难易度:容易
日期:2010-05-11
来源:2010年山东省青岛市高三第二次模拟考试数学(理)
【题文】已知两条不同直线

和

及平面

,则直线

的一个充分不必要条件是
题号:4218564
题型:选择题
难易度:一般
日期:2010-05-11
来源:2010年山东省青岛市高三第二次模拟考试数学(理)
题号:4218566
题型:选择题
难易度:容易
日期:2010-05-11
来源:2010年山东省青岛市高三第二次模拟考试数学(理)
题号:4218567
题型:选择题
难易度:容易
日期:2010-05-11
来源:2010年山东省青岛市高三第二次模拟考试数学(理)
题号:4218568
题型:选择题
难易度:容易
日期:2010-05-11
来源:2010年山东省青岛市高三第二次模拟考试数学(理)
【题文】已知在等比数列

中,

,则等比数列

的公比

的值为

题号:4218569
题型:选择题
难易度:容易
日期:2010-05-11
来源:2010年山东省青岛市高三第二次模拟考试数学(理)
【题文】若函数

的大致图象如右图,其中

(

且

)为常数,则函数

的大致图象是


A B C D
题号:4218570
题型:选择题
难易度:容易
日期:2010-05-11
来源:2010年山东省青岛市高三第二次模拟考试数学(理)
【题文】已知函数



且

在

上的最大值与最小值之和为


,则

的值为
题号:4218571
题型:选择题
难易度:容易
日期:2010-05-11
来源:2010年山东省青岛市高三第二次模拟考试数学(理)
【题文】已知直线

与圆

交于

、

两点,且向量

、

满足

,其中

为坐标原点,则实数

的值为
题号:4218572
题型:选择题
难易度:容易
日期:2010-05-11
来源:2010年山东省青岛市高三第二次模拟考试数学(理)
题号:4218573
题型:填空题
难易度:容易
日期:2010-05-11
来源:2010年山东省青岛市高三第二次模拟考试数学(理)
题号:4218574
题型:填空题
难易度:容易
日期:2010-05-11
来源:2010年山东省青岛市高三第二次模拟考试数学(理)
【题文】若正三棱锥的正视图与俯视图如右图所示(单位cm),则它的侧视图的面积为

;
题号:4218575
题型:填空题
难易度:容易
日期:2010-05-11
来源:2010年山东省青岛市高三第二次模拟考试数学(理)
【题文】当实数

满足约束条件

(其中

为小于零的常数)时,

的最小值为

,则实数

的值是
;
题号:4218576
题型:填空题
难易度:容易
日期:2010-05-11
来源:2010年山东省青岛市高三第二次模拟考试数学(理)
【题文】若关于

的不等式

的解集为

,则实数

的取值范围为
.
题号:1289544
题型:解答题
难易度:一般
日期:2010-05-11
来源:2010年山东省青岛市高三第二次模拟考试数学(理)
【题文】(本小题满分12分)某中学选派

名同学参加上海世博会青年志愿者服务队(简称“青志队”),他们参加活动的次数统计如表所示.
[
(Ⅰ)从“青志队”中任意选

名学生,求这

名同学中至少有

名同学参加活动次数恰好相等的概率;
(Ⅱ)从“青志队”中任选两名学生,用

表示这两人参加活动次数之差的绝对值,求随机变量

的分布列及数学期望

.
题号:4218565
题型:解答题
难易度:一般
日期:2013-05-30
来源:2010年山东省青岛市高三第二次模拟考试数学(理)
【题文】(本小题满分12分)设角

是

的三个内角,已知向量

,

,且

.
(Ⅰ)求角

的大小; (Ⅱ)若向量

,试求

的取值范围.
题号:4218577
题型:解答题
难易度:容易
日期:2010-05-11
来源:2010年山东省青岛市高三第二次模拟考试数学(理)
【题文】(本小题满分12分)
如图1,直角梯形

中,

,

分别为边

和

上的点,且

,

.将四边形

沿

折起成如图2的位置,使

.
(Ⅰ)求证:


平面

;
(Ⅱ)求四棱锥

的体积;
(Ⅲ)求面

与面

所成锐二面角的余弦值.

题号:4218578
题型:解答题
难易度:容易
日期:2010-05-11
来源:2010年山东省青岛市高三第二次模拟考试数学(理)
【题文】(本小题满分12分)
已知函数

的导函数

,数列

的前

项和为

,点

均在函数

的图象上.
(Ⅰ)求数列

的通项公式及

的最大值;
(Ⅱ)令

,其中

,求

的前

项和.
题号:4218579
题型:解答题
难易度:容易
日期:2010-05-11
来源:2010年山东省青岛市高三第二次模拟考试数学(理)
【题文】(本小题满分12分)
已知函数

在点

处的切线斜率为

,且

(Ⅰ)证明:

; (Ⅱ)证明:函数

在区间

内至少有一个极值点.
题号:4218580
题型:解答题
难易度:容易
日期:2010-05-11
来源:2010年山东省青岛市高三第二次模拟考试数学(理)
【题文】(本小题满分14分)
已知动圆

过定点

,且与定直线

相切,动圆圆心


的轨迹为

,直线

过点

交曲线

于

两点.
(Ⅰ)求曲线

的方程;
(Ⅱ)若

交

轴于点

,且

,求

的方程;
(Ⅲ)若

的倾斜角为

,在

上是否存在点

使

为正三角形? 若能,求点

的坐标;若不能,说明理由.