适用年级:{{getGradeNameByProperty('高三|高考模拟|湖南|2010年')}} 试卷类型:{{getTestPaperTypeName('高三|高考模拟|湖南|2010年')}} 使用省份:{{getAreaName('高三|高考模拟|湖南|2010年')}}
试卷年份:{{getYear('高三|高考模拟|湖南|2010年')}}上传日期:2010-05-06题数:21
提示:单击题文可显示答案与解析。
题号:1297386
题型:选择题
难易度:容易
日期:2010-05-06
来源:湖南省高考适应性测试数学(理)
【题文】设一直角三角形两直角边的长均是区间

的随机数,则斜边的长小于

的概率为
题号:1297387
题型:选择题
难易度:容易
日期:2010-05-06
来源:湖南省高考适应性测试数学(理)
【题文】 如图

,四边形

中,

,垂足为

,

,

,延长

到

,使

, 连结

,

.若

,则四边形

的 面
积为

题号:1297388
题型:选择题
难易度:容易
日期:2010-05-06
来源:湖南省高考适应性测试数学(理)
题号:1297389
题型:选择题
难易度:容易
日期:2010-05-06
来源:湖南省高考适应性测试数学(理)
【题文】从

位男生,

位女生中选派

位代表参加一项活动,其中至少有两位男生,且至少有

位女生的选法共有
题号:1297390
题型:选择题
难易度:容易
日期:2010-05-06
来源:湖南省高考适应性测试数学(理)
【题文】

的值为
题号:1297551
题型:选择题
难易度:容易
日期:2010-05-06
来源:湖南省高考适应性测试数学(理)
题号:1297552
题型:选择题
难易度:容易
日期:2010-05-06
来源:湖南省高考适应性测试数学(理)
【题文】复数

的虚部是
题号:3685582
题型:选择题
难易度:容易
日期:2012-08-27
来源:湖南省高考适应性测试数学(理)
【题文】图

中的阴影部分由底为

,高为

的等腰三角形及高为

和

的两矩形所构成.设函数

是图

中阴影部分介于平行线

及

之间的那一部分的面积,则函数

的图象大致为


题号:1297379
题型:填空题
难易度:容易
日期:2010-05-06
来源:湖南省高考适应性测试数学(理)
【题文】已知数列

是各项均为正整数的等差数列,公差

,且

中任意两项之和也是该数列中的一项.
(1)若

,则

的取值集合为
;
(2)若

,则

的所有可能取值的和为
.
题号:1297380
题型:填空题
难易度:容易
日期:2010-05-06
来源:湖南省高考适应性测试数学(理)
【题文】已知四棱锥

的三视图如图

所示,则四棱锥

的体积为
,其外接球的表面积为
.

图6
题号:1297381
题型:填空题
难易度:容易
日期:2010-05-06
来源:湖南省高考适应性测试数学(理)
题号:1297382
题型:填空题
难易度:容易
日期:2010-05-06
来源:湖南省高考适应性测试数学(理)
【题文】在某赛季篮球比赛中,甲、乙两名运动员每场比赛的得分统计茎叶图如图

所示,则发挥较稳定的运动员是
.


图5
题号:1297383
题型:填空题
难易度:容易
日期:2010-05-06
来源:湖南省高考适应性测试数学(理)
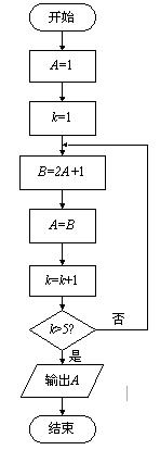
【题文】程序框图(算法流程图)如图

所示,其输出结果
.

题号:1297384
题型:填空题
难易度:容易
日期:2010-05-06
来源:湖南省高考适应性测试数学(理)
【题文】某化工厂准备对一化工产品进行技术改造,决定优选加工温度,假定最佳温度在

到

之间.现用分数法进行优选,则第二次试点的温度为

.
题号:1297385
题型:填空题
难易度:容易
日期:2010-05-06
来源:湖南省高考适应性测试数学(理)
【题文】不等式组

表示的平面区域内的整点坐标为
.
题号:1297374
题型:解答题
难易度:容易
日期:2010-05-06
来源:湖南省高考适应性测试数学(理)
【题文】(本小题满分13分)
在平面直角坐标系中,已知点

,点

在直线

上运动,过点

与

垂直的直线和

的中垂线相交于点

.
(Ⅰ)求动点

的轨迹

的方程;
(Ⅱ)设点

是轨迹

上的动点,点

,

在

轴上,圆


(

为参数)内切于

,求

的面积的最小值.
题号:1297375
题型:解答题
难易度:容易
日期:2010-05-06
来源:湖南省高考适应性测试数学(理)
【题文】(本小题满分13分)
已知函数

,

.
(Ⅰ)求

的极值;
(Ⅱ)若

在

上恒成立,求

的取值范围.
题号:1297376
题型:解答题
难易度:容易
日期:2010-05-06
来源:湖南省高考适应性测试数学(理)
【题文】(本小题满分12分)
在如图

所示的几何体中,

平面

,

∥

,

是

的中点,


,

,

.
(Ⅰ)证明

平面

;
(Ⅱ)求二面角

的余弦值.

图7
题号:1297377
题型:解答题
难易度:容易
日期:2010-05-06
来源:湖南省高考适应性测试数学(理)
【题文】(本小题满分12分)
某校在招收体育特长生时,须对报名学生进行三个项目的测试.规定三项都合格者才能录取.假定每项测试相互独立,学生

各项测试合格的概率组成一个公差为

的等差数列,且第一项测试不合格的概率超过

,第一项测试不合格但第二项测试合格的概率为

.
(Ⅰ)求学生

被录取的概率;
(Ⅱ)求学生

测试合格的项数

的分布列和数学期望.
题号:1297378
题型:解答题
难易度:容易
日期:2010-05-06
来源:湖南省高考适应性测试数学(理)
【题文】(本小题满分12分)
已知向量

,函数

.求:
(Ⅰ)函数

的最小值;
(Ⅱ)函数

的单调递增区间.
题号:3685583
题型:解答题
难易度:容易
日期:2010-05-06
来源:湖南省高考适应性测试数学(理)
【题文】(本小题满分13分)
在一条笔直的工艺流水线上有

个工作台,将工艺流水线用如图

所示的数轴表示,各工作台的坐标分别为

,

,

,

,每个工作台上有若干名工人.现要在流水线上建一个零件供应站,使得各工作台上的所有工人到供应站的距离之和最短.
(Ⅰ)若

,每个工作台上只有一名工人,试确定供应站的位置;
(Ⅱ)若

,工作台从左到右的人数依次为

,

,

,

,

,试确定供应站的位置,并求所有工人到供应站的距离之和的最小值.
