适用年级:{{getGradeNameByProperty('高三|高考模拟|黑龙江|2010年')}} 试卷类型:{{getTestPaperTypeName('高三|高考模拟|黑龙江|2010年')}} 使用省份:{{getAreaName('高三|高考模拟|黑龙江|2010年')}}
试卷年份:{{getYear('高三|高考模拟|黑龙江|2010年')}}上传日期:2010-04-07题数:24
提示:单击题文可显示答案与解析。
题号:1317804
题型:选择题
难易度:较难
日期:2010-04-07
来源:黑龙江省哈尔滨市第六中学2010届高三一模数学(理)试题
【题文】设函数

,其中

表示不超过

的最大整数,如

,若

有三个不同的根,则实数

的取值范围是( )
题号:1317805
题型:选择题
难易度:较难
日期:2010-04-07
来源:黑龙江省哈尔滨市第六中学2010届高三一模数学(理)试题
【题文】利用计算机在区间

上产生两个随机数

和

,则方程

有实根的概率为( )
题号:1317806
题型:选择题
难易度:较难
日期:2010-04-07
来源:黑龙江省哈尔滨市第六中学2010届高三一模数学(理)试题
【题文】在直角梯形

中,

,

,且

,

是

的中点,且

,则

的值为( )

题号:1317807
题型:选择题
难易度:较难
日期:2010-04-07
来源:黑龙江省哈尔滨市第六中学2010届高三一模数学(理)试题
【题文】已知函数

(

)的导函数

的图象如图所示,则

( )

题号:1317808
题型:选择题
难易度:较难
日期:2010-04-07
来源:黑龙江省哈尔滨市第六中学2010届高三一模数学(理)试题
【题文】

的展开式中只有第5项的二项式系数最大,则展开式中的常数项是( )
| A.28 | B. | C.70 | D. |
题号:1317969
题型:选择题
难易度:较难
日期:2010-04-07
来源:黑龙江省哈尔滨市第六中学2010届高三一模数学(理)试题
【题文】已知双曲线

的焦点到渐近线的距离为

,且双曲线右支上一点

到右焦点的距离的最小值为2,则双曲线的离心率为( )
A. | B.3 | C.2 | D. |
题号:1317970
题型:选择题
难易度:较难
日期:2010-04-07
来源:黑龙江省哈尔滨市第六中学2010届高三一模数学(理)试题
题号:1317971
题型:选择题
难易度:较难
日期:2010-04-07
来源:黑龙江省哈尔滨市第六中学2010届高三一模数学(理)试题
【题文】用二分法求函数

的一个零点,根据参考数据,可得函数

的一个零点的近似解(精确到

)为( )(参考数据:

)
题号:1317972
题型:选择题
难易度:较难
日期:2010-04-07
来源:黑龙江省哈尔滨市第六中学2010届高三一模数学(理)试题
【题文】已知

是等差数列

的前

项和,若

,则

的值是( )
题号:1317973
题型:选择题
难易度:较难
日期:2010-04-07
来源:黑龙江省哈尔滨市第六中学2010届高三一模数学(理)试题
【题文】已知复数


在复平面内对应的点在二象限,且

,则实数

的取值范围是( )
题号:4219377
题型:选择题
难易度:较难
日期:2010-04-07
来源:黑龙江省哈尔滨市第六中学2010届高三一模数学(理)试题
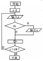
【题文】如下程序框图的功能是:给出以下十个数:5,9,80,43,95,73,28,17,60,36,把大于60的数找出来,则框图中的①②应分别填入的是( )

题号:4219378
题型:选择题
难易度:较难
日期:2010-04-07
来源:黑龙江省哈尔滨市第六中学2010届高三一模数学(理)试题
【题文】设

表示三条不同的直线,

表示三个不同的平面,给出下列四个命题:
①若

,则

;
②若

,

是

在

内的射影,

,则

;
③若

是平面

的一条斜线,

,

为过

的一条动直线,则可能有

;
④若

,则

其中真命题的个数为( )
题号:1317800
题型:填空题
难易度:较难
日期:2010-04-07
来源:黑龙江省哈尔滨市第六中学2010届高三一模数学(理)试题
【题文】已知圆

与圆

,在下列说法中:
①对于任意的

,圆

与圆

始终相切;
②对于任意的

,圆

与圆

始终有四条公切线;
③当

时,圆

被直线

截得的弦长为

;
④

分别为圆

与圆

上的动点,则

的最大值为4.
其中正确命题的序号为______.
题号:1317801
题型:填空题
难易度:较难
日期:2010-04-07
来源:黑龙江省哈尔滨市第六中学2010届高三一模数学(理)试题
题号:1317802
题型:填空题
难易度:较难
日期:2010-04-07
来源:黑龙江省哈尔滨市第六中学2010届高三一模数学(理)试题
【题文】如图一个几何体的正视图和俯视图如图所示,其中俯视图为边长为

的正三角形,且圆与三角形内切,则侧视图的面积为_____.

题号:1317803
题型:填空题
难易度:较难
日期:2010-04-07
来源:黑龙江省哈尔滨市第六中学2010届高三一模数学(理)试题
【题文】抛物线

的焦点为

,准线

与

轴交于点

,若

为

上一点,当

为等腰三角形,

时,则

_____.
题号:1317793
题型:解答题
难易度:较难
日期:2010-04-07
来源:黑龙江省哈尔滨市第六中学2010届高三一模数学(理)试题
【题文】(本小题满分10分)
选修4-5:不等式选讲
设函数

,

.
(1)解不等式:

;
(2)若

的定义域为

,求实数

的取值范围.
题号:1317794
题型:解答题
难易度:较难
日期:2010-04-07
来源:黑龙江省哈尔滨市第六中学2010届高三一模数学(理)试题
【题文】(本小题满分10分)
选修4-4:坐标系与参数方程选讲
已知曲线

的参数方程为

(

为参数),曲线

的参数方程为

(

为参数).
(1)若将曲线

与

上各点的横坐标都缩短为原来的一半,分别得到曲线

和

,求出曲线

和

的普通方程;
(2)以坐标原点为极点,

轴的非负半轴为极轴建立极坐标系,求过极点且与

垂直

的直线的极坐标方程.
题号:1317795
题型:解答题
难易度:较难
日期:2010-04-07
来源:黑龙江省哈尔滨市第六中学2010届高三一模数学(理)试题
【题文】(本小题满分12分)
已知

,


.
(1)求

的单调区间;
(2)若

时,

恒成立,求实数

的取值范围;
(3)当

时,证明:

.
题号:1317796
题型:解答题
难易度:较难
日期:2010-04-07
来源:黑龙江省哈尔滨市第六中学2010届高三一模数学(理)试题
【题文】(本小题满分12分)
已知椭圆

(

)的离心率为

,且短轴长为2.
(1)求椭圆的方程;
(2)若与两坐标轴都不垂直的直线

与椭圆交于

两点,

为坐标原点,且

,

,求直线

的方程.
题号:1317797
题型:解答题
难易度:较难
日期:2010-04-07
来源:黑龙江省哈尔滨市第六中学2010届高三一模数学(理)试题
【题文】(本小题满分12分)
在四棱锥

中,底面

是一直角梯形,

,

,

底面

.
(1)在

上是否存在一点

,使得

平面

,若存在,求出

的值;
若不存在,试说明理由;
(2)在(1)的条件下,若

与

所成的角为

,求二面角

的余弦值.

题号:1317798
题型:解答题
难易度:较难
日期:2010-04-07
来源:黑龙江省哈尔滨市第六中学2010届高三一模数学(理)试题
【题文】(本小题满分12分)
班主任为了对本班学生的考试成绩进行分析,决定从全班25位女同学,15位男同学中随机抽取一个容量为8的样本进行分析.
(1)如果按性别比例分层抽样,可以得到多少个不同的样本(只要求写出算式即可,不必计算出结果);
(2)随机抽取8位同学,数学分

数依次为:60,65,70,75,80,85,90,95;
物理成绩依次为:72,77,80,84,88,90,93,95,
①若规定90分(含90分)以上为优秀,记

为这8位同学中数学和物理分数均为优秀的人数,求

的分布列和数学期望;
②若这8位同学的数学、物理分数事实上对应下表:
学生编号
| 1
| 2
| 3
| 4
| 5
| 6
| 7[来源:Z#xx#k.Com]
| 8
|
数学分数
| 60
| 65
| 70
| 75
| 80
| 85
| 90
| 95
|
物理分数
| 72
| 77
| 80[来源:学科网]
| 84
| 88
| 90
| 93
| 95
|
根据上表数据可知,变量

与

之间具有较强的线性相关关系,求出

与

的线性回归方程(系数精确到0.01).(参考公式:

,其中

,

;参考数据:

,

,

,

,

,

,

)
题号:1317799
题型:解答题
难易度:较难
日期:2010-04-07
来源:黑龙江省哈尔滨市第六中学2010届高三一模数学(理)试题
【题文】(本小题满分12分)
“神州”号飞船返回舱顺利到达地球后,为了及时将航天员救出,地面指挥中心在返回舱预

计到达的区域安排了同一条直线上的三个救援中心(记为

).当返回舱距地面1万米的

点时(假定以后垂直下落,并在

点着陆),

救援中心测得飞船位于其南偏东

方向,仰角为

,

救援中心测得飞船位于其南偏西

方向,仰角为

.

救援中心测得着陆点

位于其正东方向.

(1)求


两救援中心间的距离;
(2)

救援中心与着陆点

间的距离.
题号:4219379
题型:解答题
难易度:较难
日期:2010-04-07
来源:黑龙江省哈尔滨市第六中学2010届高三一模数学(理)试题
【题文】(本小题满分10分)
选修4-1:几何证明选讲
如图,已知

点在⊙

直径的延长线上,

切⊙

于

点,

是

的平分线,且交

于

点,交

于

点.

(1)求

的度数;
(2)若

,求

.