适用年级:{{getGradeNameByProperty('高三|高考模拟|江苏|2017年')}} 试卷类型:{{getTestPaperTypeName('高三|高考模拟|江苏|2017年')}} 使用省份:{{getAreaName('高三|高考模拟|江苏|2017年')}}
试卷年份:{{getYear('高三|高考模拟|江苏|2017年')}}上传日期:2017-09-25题数:23
提示:单击题文可显示答案与解析。
题号:915540
题型:填空题
难易度:一般
日期:2014-05-30
来源:【全国市级联考】江苏省南京市2018届高三上学期期初学情调研考试数学试题
【题文】某高校甲、乙、丙、丁四个专业分别有150,150,400,300名学生.为了解学生的就业倾向,用分层抽样的方法从该校这四个专业中抽取40名学生进行调查,则应从丙专业抽取的学生人数为__________.
题号:4929766
题型:填空题
难易度:较难
日期:2017-09-25
来源:【全国市级联考】江苏省南京市2018届高三上学期期初学情调研考试数学试题
【题文】在平面直角坐标系xOy中,若圆(x-2)2+(y-2)2=1上存在点M,使得点M关于x轴的对称点N在直线kx+y+3=0上,则实数k的最小值为__________.
题号:4929768
题型:填空题
难易度:一般
日期:2017-09-25
来源:【全国市级联考】江苏省南京市2018届高三上学期期初学情调研考试数学试题
【题文】已知函数f(x)是定义在R上的奇函数,且在(-∞,0]上为单调增函数.若f(-1)=-2,则满足f(2x-3)≤2的x的取值范围是__________.
题号:4929769
题型:填空题
难易度:一般
日期:2017-09-25
来源:【全国市级联考】江苏省南京市2018届高三上学期期初学情调研考试数学试题
【题文】记等差数列{an}前n项和为Sn.若am=10,S2m-1=110, 则m的值为__________.
题号:4929770
题型:填空题
难易度:一般
日期:2017-09-25
来源:【全国市级联考】江苏省南京市2018届高三上学期期初学情调研考试数学试题
【题文】若函数
f(
x)=
Asin(
wx+
j)(
A>0,
w>0,|
j|<p)的部分图象如图所示,则
f(-π)的值为__________.

题号:4929771
题型:填空题
难易度:一般
日期:2017-09-25
来源:【全国市级联考】江苏省南京市2018届高三上学期期初学情调研考试数学试题
【题文】将一个正方形绕着它的一边所在的直线旋转一周,所得圆柱的体积为27πcm3,则该圆柱的侧面积为___________cm2.
题号:4929776
题型:填空题
难易度:较易
日期:2017-09-25
来源:【全国市级联考】江苏省南京市2018届高三上学期期初学情调研考试数学试题
【题文】若(a+bi)(3-4i)=25 (a,b∈R,i为虚数单位),则a+b的值为__________.
题号:4929777
题型:填空题
难易度:容易
日期:2017-09-25
来源:【全国市级联考】江苏省南京市2018届高三上学期期初学情调研考试数学试题
【题文】若集合P={-1,0,1,2},Q={0,2,3},则P∩Q=__________.
题号:4991432
题型:填空题
难易度:一般
日期:2017-09-25
来源:【全国市级联考】江苏省南京市2018届高三上学期期初学情调研考试数学试题
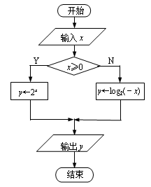
【题文】如图所示的算法流程图,若输出
y的值为

,则输入

的值为__________.

题号:4991433
题型:填空题
难易度:一般
日期:2017-09-25
来源:【全国市级联考】江苏省南京市2018届高三上学期期初学情调研考试数学试题
【题文】记函数

的定义域为
D.若在区间[-5,5]上随机取一个数
x,则
x∈
D的概率为__________.
题号:4991434
题型:填空题
难易度:一般
日期:2017-09-25
来源:【全国市级联考】江苏省南京市2018届高三上学期期初学情调研考试数学试题
【题文】在平面直角坐标系
xOy中,双曲线

的焦点到其渐近线的距离为__________.
题号:4991435
题型:填空题
难易度:一般
日期:2017-09-25
来源:【全国市级联考】江苏省南京市2018届高三上学期期初学情调研考试数学试题
【题文】已知实数
x,
y满足条件

则
z=3
x-2
y的最大值为__________.
题号:4991440
题型:填空题
难易度:较难
日期:2017-09-25
来源:【全国市级联考】江苏省南京市2018届高三上学期期初学情调研考试数学试题
【题文】在△
ABC中,
AB=3,
AC=2,∠
BAC=120°,

.若


,则实数
λ的值为__________.
题号:4929758
题型:解答题
难易度:一般
日期:2017-09-25
来源:【全国市级联考】江苏省南京市2018届高三上学期期初学情调研考试数学试题
【题文】(1).选修4—1:几何证明选讲
如图,
CD是圆
O的切线,切点为
D,
CA是过圆心
O的割线且交圆
O于点
B,
DA=
DC.求证:
CA=3
CB.

(2).选修4—2:矩阵与变换
设二阶矩阵
A=

.
(Ⅰ)求
A-1;
(Ⅱ)若曲线
C在矩阵
A对应的变换作用下得到曲线
C¢:6
x2-
y2=1,求曲线
C的方程.
(3).选修4—4:坐标系与参数方程
在平面直角坐标系
xOy中,直线
l的参数方程为

(
t为参数),圆
C的参数方程为

(
θ为参数).若直线
l与圆
C相切,求实数
a的值.
(4).选修4—5:不等式选讲
解不等式:|
x-2|+|
x+1|≥5.
题号:4991443
题型:解答题
难易度:一般
日期:2017-09-25
来源:【全国市级联考】江苏省南京市2018届高三上学期期初学情调研考试数学试题
【题文】在直三棱柱
ABC-
A1B1C1中,
AB=
AC,
E是
BC的中点,求证:
(Ⅰ)平面
AB1E⊥平面
B1BCC1;
(Ⅱ)
A1C//平面
AB1E.

题号:4991444
题型:解答题
难易度:一般
日期:2017-09-25
来源:【全国市级联考】江苏省南京市2018届高三上学期期初学情调研考试数学试题
【题文】在△
ABC中,内角
A,
B,
C所对的边分别为
a,
b,
c,cos
B=

.
(Ⅰ)若
c=2
a,求

的值;
(Ⅱ)若
C-
B=

,求sin
A的值.
题号:4991445
题型:解答题
难易度:一般
日期:2017-09-25
来源:【全国市级联考】江苏省南京市2018届高三上学期期初学情调研考试数学试题
【题文】
某工厂有100名工人接受了生产1000台某产品的总任务,每台产品由9个甲型装置和3个乙型装置配套组成,每个工人每小时能加工完成1个甲型装置或3个乙型装置.现将工人分成两组分别加工甲型和乙型装置.设加工甲型装置的工人有x人,他们加工完甲型装置所需时间为t1小时,其余工人加工完乙型装置所需时间为t2小时.
设f(x)=t1+t2.
(Ⅰ)求f(x)的解析式,并写出其定义域;
(Ⅱ)当x等于多少时,f(x)取得最小值?
题号:4991446
题型:解答题
难易度:较难
日期:2017-09-25
来源:【全国市级联考】江苏省南京市2018届高三上学期期初学情调研考试数学试题
【题文】如图,在平面直角坐标系
xOy中,椭圆
C:

(
a>
b>0)的离心率为

,且过点(1,

).过椭圆
C的左顶点
A作直线交椭圆
C于另一点
P,交直线
l:
x=
m(
m>
a)于点
M.已知点
B(1,0),直线
PB交
l于点
N.
(Ⅰ)求椭圆
C的方程;
(Ⅱ)若
MB是线段
PN的垂直平分线,求实数
m的值.

题号:4991448
题型:解答题
难易度:较难
日期:2017-09-25
来源:【全国市级联考】江苏省南京市2018届高三上学期期初学情调研考试数学试题
【题文】
已知数列{an}的各项均为正数,记数列{an}的前n项和为Sn,数列{an2}的前n项和为Tn,且3Tn=Sn2+2Sn,n∈N*.
(Ⅰ)求a1的值;
(Ⅱ)求数列{an}的通项公式;
(Ⅲ)若k,t∈N*,且S1,Sk-S1,St-Sk成等比数列,求k和t的值.
题号:4991450
题型:解答题
难易度:一般
日期:2017-09-25
来源:【全国市级联考】江苏省南京市2018届高三上学期期初学情调研考试数学试题
【题文】如图,在四棱锥
P-
ABCD中,
PA⊥平面
ABCD,
AB⊥
AD,
AD∥
BC,
AP=
AB=
AD=1.
(Ⅰ)若直线
PB与
CD所成角的大小为

,求
BC的长;
(Ⅱ)求二面角
B-
PD-
A的余弦值.

题号:4991451
题型:解答题
难易度:一般
日期:2017-09-25
来源:【全国市级联考】江苏省南京市2018届高三上学期期初学情调研考试数学试题
【题文】
袋中有形状和大小完全相同的四种不同颜色的小球,每种颜色的小球各有4个,分别编号为1,2,3,4.现从袋中随机取两个球.
(Ⅰ)若两个球颜色不同,求不同取法的种数;
(Ⅱ)在(1)的条件下,记两球编号的差的绝对值为随机变量X,求随机变量X的概率分布与数学期望.