适用年级:{{getGradeNameByProperty('高三|高考模拟|山东|2016年')}} 试卷类型:{{getTestPaperTypeName('高三|高考模拟|山东|2016年')}} 使用省份:{{getAreaName('高三|高考模拟|山东|2016年')}}
试卷年份:{{getYear('高三|高考模拟|山东|2016年')}}上传日期:2016-01-11题数:20
提示:单击题文可显示答案与解析。
题号:791495
题型:选择题
难易度:一般
日期:2016-01-11
来源:【百强校】2016届山东师大附中高三上学期第三次模拟文科数学试卷(带解析)
【题文】如图所示,两个不共线向量

的夹角为

,

分别为

与

的中点,点

在直线

上,且

,则

的最小值为( )

题号:791496
题型:选择题
难易度:一般
日期:2016-01-11
来源:【百强校】2016届山东师大附中高三上学期第三次模拟文科数学试卷(带解析)
【题文】设

满足约束条件

,则下列不等式恒成立的是( )
题号:791497
题型:选择题
难易度:一般
日期:2016-01-11
来源:【百强校】2016届山东师大附中高三上学期第三次模拟文科数学试卷(带解析)
题号:791498
题型:选择题
难易度:一般
日期:2016-01-11
来源:【百强校】2016届山东师大附中高三上学期第三次模拟文科数学试卷(带解析)
【题文】函数

的图象大致为( )

题号:791499
题型:选择题
难易度:一般
日期:2016-01-11
来源:【百强校】2016届山东师大附中高三上学期第三次模拟文科数学试卷(带解析)
【题文】若

,则

的定义域为( )
题号:791500
题型:选择题
难易度:一般
日期:2016-01-11
来源:【百强校】2016届山东师大附中高三上学期第三次模拟文科数学试卷(带解析)
【题文】已知

等于( )
题号:791501
题型:选择题
难易度:一般
日期:2016-01-11
来源:【百强校】2016届山东师大附中高三上学期第三次模拟文科数学试卷(带解析)
【题文】在等比数列

中,若

( )
| A.128 | B. | C.256 | D. |
题号:791502
题型:选择题
难易度:较易
日期:2016-01-11
来源:【百强校】2016届山东师大附中高三上学期第三次模拟文科数学试卷(带解析)
【题文】若

,则下列命题中成立的是( )
题号:791503
题型:选择题
难易度:较易
日期:2016-01-11
来源:【百强校】2016届山东师大附中高三上学期第三次模拟文科数学试卷(带解析)
【题文】已知集合

,则集合

( )
题号:3489049
题型:选择题
难易度:较易
日期:2016-01-11
来源:【百强校】2016届山东师大附中高三上学期第三次模拟文科数学试卷(带解析)
【题文】已知某种产品的支出广告额

与利润额

(单位:万元)之间有如下对应数据:

则回归直线方程必过( )
题号:791490
题型:填空题
难易度:较易
日期:2016-01-11
来源:【百强校】2016届山东师大附中高三上学期第三次模拟文科数学试卷(带解析)
【题文】已知定义在

上的函数

满足:①图象关于

点对称;②

;③当

时,

则函数

上的零点个数为__________.
题号:791491
题型:填空题
难易度:一般
日期:2016-01-11
来源:【百强校】2016届山东师大附中高三上学期第三次模拟文科数学试卷(带解析)
【题文】已知整数的数对排列如下:(1,1),(1,2),(2,1),(1,3),(2,2),(3,1),(1,4),(2,3),(3,2),(4,1),(1,5),(2,4),……,则第60个数对是________.
题号:791492
题型:填空题
难易度:一般
日期:2016-01-11
来源:【百强校】2016届山东师大附中高三上学期第三次模拟文科数学试卷(带解析)
【题文】已知长方形

中,

的中点,则在此长方形内随机取一点

,

与

的距离小于1的概率为_________.
题号:791493
题型:填空题
难易度:一般
日期:2016-01-11
来源:【百强校】2016届山东师大附中高三上学期第三次模拟文科数学试卷(带解析)
【题文】设

_______.
题号:791494
题型:填空题
难易度:较易
日期:2016-01-11
来源:【百强校】2016届山东师大附中高三上学期第三次模拟文科数学试卷(带解析)
【题文】一个几何体的三视图如图所示,则该几何体的体积是________.

题号:791485
题型:解答题
难易度:较难
日期:2016-01-11
来源:【百强校】2016届山东师大附中高三上学期第三次模拟文科数学试卷(带解析)
【题文】设函数

.
(1)若曲线

处的切线与直线

垂直,求

的值;
(2)求函数

的单增区间;
(3)若函数

有两个极值点

,求证:

.
题号:791486
题型:解答题
难易度:较难
日期:2016-01-11
来源:【百强校】2016届山东师大附中高三上学期第三次模拟文科数学试卷(带解析)
【题文】已知数列

的前

项和

,数列

满足

.
(1)求

;
(2)设

为数列

的前

项和,求

,并求满足

时

的最大值.
题号:791487
题型:解答题
难易度:较难
日期:2016-01-11
来源:【百强校】2016届山东师大附中高三上学期第三次模拟文科数学试卷(带解析)
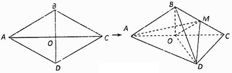
【题文】如图,菱形

的边长为6,

.将菱形

沿对角线

折起,得到三棱锥

,点

是棱

的中点,

.

(1)求证:

面

;
(2)求

到平面

的距离.
题号:791488
题型:解答题
难易度:较难
日期:2016-01-11
来源:【百强校】2016届山东师大附中高三上学期第三次模拟文科数学试卷(带解析)
【题文】已知三棱柱

底面

,

分别为

的中点.

(1)求证:

平面

;
(2)求证:平面

平面

.
题号:791489
题型:解答题
难易度:较难
日期:2016-01-11
来源:【百强校】2016届山东师大附中高三上学期第三次模拟文科数学试卷(带解析)
【题文】为了调查某高中学生每天的睡眠时间,现随机对20名男生和20名女生进行问卷调查,结果如下:
男生:
女生:
(1)现把睡眠时间不足5小时的定义为“严重睡眠不足”,从睡眠时间不足6小时的女生中随机抽取3人,求此3人中恰有一人为“严重睡眠不足”的概率;
(2)完成下面2×2列联表,并回答是否有90%的把握认为“睡眠时间与性别有关”?

