适用年级:{{getGradeNameByProperty('高三|高考模拟|河南|2014年')}} 试卷类型:{{getTestPaperTypeName('高三|高考模拟|河南|2014年')}} 使用省份:{{getAreaName('高三|高考模拟|河南|2014年')}}
试卷年份:{{getYear('高三|高考模拟|河南|2014年')}}上传日期:2014-07-25题数:24
提示:单击题文可显示答案与解析。
题号:899677
题型:选择题
难易度:较难
日期:2014-07-25
来源:【百强校】2014届河南省实验中学高考押题二理科数学试卷(带解析)
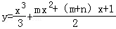
【题文】已知函数

的两个极值点分别为x
1,x
2,且x
1∈(0,1),x
2∈(1,+∞),记分别以m,n为横、纵坐标的点P(m,n)表示的平面区域为D,若函数y=log
a(x+4)(a>1)的图象上存在区域D内的点,则实数a的取值范围为( )
| A.(1,3] | B.(1,3) | C.(3,+∞) | D.[3,+∞) |
题号:899678
题型:选择题
难易度:较难
日期:2014-07-25
来源:【百强校】2014届河南省实验中学高考押题二理科数学试卷(带解析)
【题文】定义在R上的奇函数f(x),当x≥0时,

,则关于x的函数F(x)=f(x)﹣a(0<a<1)的所有零点之和为( )
| A.2a﹣1 | B.2﹣a﹣1 | C.1﹣2﹣a | D.1﹣2a |
题号:899679
题型:选择题
难易度:一般
日期:2014-07-25
来源:【百强校】2014届河南省实验中学高考押题二理科数学试卷(带解析)
【题文】函数f(x)=cosπx与函数g(x)=|log
2|x﹣1||的图象所有交点的横坐标之和为( )
题号:899680
题型:选择题
难易度:一般
日期:2014-07-25
来源:【百强校】2014届河南省实验中学高考押题二理科数学试卷(带解析)
【题文】在平行四边形ABCD中,∠BAD=60°,AD=2AB,若P是平面ABCD内一点,且满足

(x,y∈R),则当点P在以A为圆心,

为半径的圆上时,实数x,y应满足关系式为( )
| A.4x2+y2+2xy=1 | B.4x2+y2﹣2xy=1 | C.x2+4y2﹣2xy=1 | D.x2+4y2+2xy=1 |
题号:899681
题型:选择题
难易度:较易
日期:2014-07-25
来源:【百强校】2014届河南省实验中学高考押题二理科数学试卷(带解析)
【题文】在等差数列{a
n}中,a
2=5,a
6=21,记数列{

}的前n项和为S
n,若S
2n+1﹣S
n≤

,∀n∈N
*恒成立,则正整数m的最小值为( )
题号:899682
题型:选择题
难易度:较易
日期:2014-07-25
来源:【百强校】2014届河南省实验中学高考押题二理科数学试卷(带解析)
【题文】平面上动点A(x,y)满足

+

=1,B(﹣4,0),C(4,0),则一定有( )
| A.|AB|+|AC|<10 | B.|AB|+|AC|≤10 | C.|AB|+|AC|>10 | D.|AB|+|AC|≥10 |
题号:899683
题型:选择题
难易度:较易
日期:2014-07-25
来源:【百强校】2014届河南省实验中学高考押题二理科数学试卷(带解析)
【题文】已知抛物线y=﹣x
2+3上存在关于直线x+y=0对称的相异两点A、B,则|AB|等于( )
A.3 B.4 C.

D.

题号:899684
题型:选择题
难易度:较易
日期:2014-07-25
来源:【百强校】2014届河南省实验中学高考押题二理科数学试卷(带解析)
【题文】己知球的直径SC=4,A,B是该球球面上的两点.AB=2,∠ASC=∠BSC=45°,则棱锥S﹣ABC的体积为( )
题号:899685
题型:选择题
难易度:较易
日期:2014-07-25
来源:【百强校】2014届河南省实验中学高考押题二理科数学试卷(带解析)
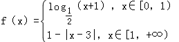
【题文】已知映射f:A→B,其中A=B=R,对应法则

,若对实数k∈B,在集合A中不存在元素x使得f:x→k,则k的取值范围是( )
题号:899686
题型:选择题
难易度:一般
日期:2014-07-25
来源:【百强校】2014届河南省实验中学高考押题二理科数学试卷(带解析)
【题文】在平面直角坐标平面上,

,且

与

在直线l上的射影长度相等,直线l的倾斜角为锐角,则l的斜率为( )
题号:899687
题型:选择题
难易度:较易
日期:2014-07-25
来源:【百强校】2014届河南省实验中学高考押题二理科数学试卷(带解析)
【题文】如果复数z=

,则( )
| A.|z|=2 | B.z的实部为1 |
| C.z的虚部为﹣1 | D.z的共轭复数为1+i |
题号:4184705
题型:选择题
难易度:较难
日期:2014-07-25
来源:【百强校】2014届河南省实验中学高考押题二理科数学试卷(带解析)
【题文】已知点P是双曲线

右支上一点,F
1、F
2分别是双曲线的左、右焦点,I为△PF
1F
2的内心,若

成立,则双曲线的离心率为( )
| A.4 | B. | C.2 | D. |
题号:899673
题型:填空题
难易度:较易
日期:2014-07-25
来源:【百强校】2014届河南省实验中学高考押题二理科数学试卷(带解析)
【题文】程序框图如图所示:如果上述程序运行的结果S=1320,那么判断框中应填入

题号:899674
题型:填空题
难易度:较易
日期:2014-07-25
来源:【百强校】2014届河南省实验中学高考押题二理科数学试卷(带解析)
【题文】四棱锥P﹣ABCD的三视图如图所示,四棱锥P﹣ABCD的五个顶点都在一个球面上,E、F分别是棱AB、CD的中点,直线EF被球面所截得的线段长为2

,则该球表面积为
.

题号:899675
题型:填空题
难易度:较易
日期:2014-07-25
来源:【百强校】2014届河南省实验中学高考押题二理科数学试卷(带解析)
【题文】高三毕业时,甲,乙,丙等五位同学站成一排合影留念,已知甲,乙相邻,则甲丙相邻的概率为 .
题号:899676
题型:填空题
难易度:一般
日期:2014-07-25
来源:【百强校】2014届河南省实验中学高考押题二理科数学试卷(带解析)
【题文】已知(x﹣m)7=a0+a1x+a2x2++a7x7的展开式中x4的系数是﹣35,则a1+a2+a3+a7= .
题号:899645
题型:解答题
难易度:一般
日期:2014-07-25
来源:【百强校】2014届河南省实验中学高考押题二理科数学试卷(带解析)
【题文】已知a∈R,设关于x的不等式|2x﹣a|+|x+3|≥2x+4的解集为A.
(1)若a=1,求A;
(2)若A=R,求a的取值范围.
题号:899646
题型:解答题
难易度:较难
日期:2014-07-25
来源:【百强校】2014届河南省实验中学高考押题二理科数学试卷(带解析)
【题文】已知曲线C
1:

,(α为参数),C
2:

,(θ为参数)
(1)化C
1,C
2的方程为普通方程,并说明它们分别表示什么曲线;
(2)若C
1上的点P对应的参数为α=

,Q为C
2上的动点,求PQ中点M到直线C
3:

,(t为参数)距离的最小值及此时Q点坐标.
题号:899647
题型:解答题
难易度:较难
日期:2014-07-25
来源:【百强校】2014届河南省实验中学高考押题二理科数学试卷(带解析)
【题文】如图,AB是⊙O的直径,AC是弦,∠BAC的平分线AD交⊙O于点D,DE⊥AC,交AC的延长线于点E,OE交AD于点F.
(1)求证:DE是⊙O的切线.
(2)若

,求

的值.

题号:899648
题型:解答题
难易度:一般
日期:2014-07-25
来源:【百强校】2014届河南省实验中学高考押题二理科数学试卷(带解析)
【题文】已知函数f(x)=x3+ax2﹣a2x+2,a∈R.
(1)若a<0时,试求函数y=f(x)的单调递减区间;
(2)若a=0,且曲线y=f(x)在点A、B(A、B不重合)处切线的交点位于直线x=2上,证明:A、B 两点的横坐标之和小于4;
(3)如果对于一切x1、x2、x3∈[0,1],总存在以f(x1)、f(x2)、f(x3)为三边长的三角形,试求正实数a的取值范围.
题号:899649
题型:解答题
难易度:较易
日期:2014-07-25
来源:【百强校】2014届河南省实验中学高考押题二理科数学试卷(带解析)
【题文】如图,已知椭圆C:

+y
2=1的上、下顶点分别为A、B,点P在椭圆上,且异于点A、B,直线AP、BP与直线l:y=﹣2分别交于点M、N,
(1)设直线AP、BP的斜率分别为k
1、k
2,求证:k
1•k
2为定值;
(2)当点P运动时,以MN为直径的圆是否经过定点?请证明你的结论.
题号:899650
题型:解答题
难易度:一般
日期:2014-07-25
来源:【百强校】2014届河南省实验中学高考押题二理科数学试卷(带解析)
【题文】如图,在直三棱柱ABC﹣A
1B
1C
1(侧棱和底面垂直的棱柱)中,平面A
1BC⊥侧面A
1ABB
1,AB=BC=AA
1=3,线段AC、A
1B上分别有一点E、F且满足2AE=EC,2BF=FA
1.
(1)求证:AB⊥BC;
(2)求点E到直线A
1B的距离;
(3)求二面角F﹣BE﹣C的平面角的余弦值.

题号:899651
题型:解答题
难易度:一般
日期:2014-07-25
来源:【百强校】2014届河南省实验中学高考押题二理科数学试卷(带解析)
【题文】如图是某市3月1日至14日的空气质量指数趋势图,空气质量指数小于100表示空气质量优良,空气质量指数大于200表示空气重度污染,某人随机选择3月1日至3月13日中的某一天到达该市,并停留2天.

(1)求此人到达当日空气重度污染的概率;
(2)设X是此人停留期间空气质量优良的天数,求X的分布列与数学期望.
题号:899672
题型:解答题
难易度:一般
日期:2014-07-25
来源:【百强校】2014届河南省实验中学高考押题二理科数学试卷(带解析)
【题文】已知锐角△ABC的三个内角A,B,C所对的边分别为a,b,c.已知(a﹣c)(sinA+sinC)=(a﹣b)sinB.
(1)求角C的大小.
(2)求cos2A+cos2B的取值范围.