适用年级:{{getGradeNameByProperty('高三|高考模拟|山东|2012年')}} 试卷类型:{{getTestPaperTypeName('高三|高考模拟|山东|2012年')}} 使用省份:{{getAreaName('高三|高考模拟|山东|2012年')}}
试卷年份:{{getYear('高三|高考模拟|山东|2012年')}}上传日期:2012-06-05题数:22
提示:单击题文可显示答案与解析。
题号:1079231
题型:选择题
难易度:较易
日期:2012-06-05
来源:2012届山东省冠县武训高中高考模拟预测数学理试卷(带解析)
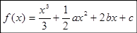
【题文】已知

分别是函数
的两个极值点,且

,

,则

的取值范围是( )
题号:1079252
题型:选择题
难易度:较易
日期:2012-06-05
来源:2012届山东省冠县武训高中高考模拟预测数学理试卷(带解析)
【题文】已知双曲线的方程为

,过左焦点F
1作斜率为

的直线交双曲线的右支于点P,且

轴平分线段F
1P,则双曲线的离心率是( )
题号:1079253
题型:选择题
难易度:容易
日期:2012-06-05
来源:2012届山东省冠县武训高中高考模拟预测数学理试卷(带解析)
【题文】函数

的图象与x轴所围成的封闭图形的面积( )
| A.3 | B. | C. | D.4 |
题号:1079254
题型:选择题
难易度:容易
日期:2012-06-05
来源:2012届山东省冠县武训高中高考模拟预测数学理试卷(带解析)
题号:1079255
题型:选择题
难易度:较易
日期:2012-06-05
来源:2012届山东省冠县武训高中高考模拟预测数学理试卷(带解析)
【题文】已知函数

,则

的最小值为( )
题号:1079256
题型:选择题
难易度:较易
日期:2012-06-05
来源:2012届山东省冠县武训高中高考模拟预测数学理试卷(带解析)
【题文】设随机变量

服从正态分布

,若

,则

的值为
A. | B. | C.5 | D.3 |
题号:1079257
题型:选择题
难易度:较易
日期:2012-06-05
来源:2012届山东省冠县武训高中高考模拟预测数学理试卷(带解析)
【题文】i为虚数单位,则复数

的虚部是( )
A. | B. | C.2 | D.—2 |
题号:1079258
题型:选择题
难易度:较易
日期:2012-06-05
来源:2012届山东省冠县武训高中高考模拟预测数学理试卷(带解析)
【题文】已知实数集R,

,则

( )
题号:3697598
题型:选择题
难易度:较易
日期:2012-06-05
来源:2012届山东省冠县武训高中高考模拟预测数学理试卷(带解析)
题号:3697599
题型:选择题
难易度:较易
日期:2012-09-24
来源:2012届山东省冠县武训高中高考模拟预测数学理试卷(带解析)
【题文】若把函数

的图象向右平移m(m>0)个单位长度后,所得到的图象关于y轴对称,则m的最小值是( )
题号:3697600
题型:选择题
难易度:容易
日期:2013-03-26
来源:2012届山东省冠县武训高中高考模拟预测数学理试卷(带解析)
【题文】如图,若程序框图输出的S是126,则判断框①中应为 ( )

题号:3697601
题型:选择题
难易度:较易
日期:2012-10-26
来源:2012届山东省冠县武训高中高考模拟预测数学理试卷(带解析)
【题文】

的外接圆的圆心为
O,半径为1,

且

,则向量

在向量

方向上的投影为( )
题号:1079228
题型:填空题
难易度:较易
日期:2012-06-05
来源:2012届山东省冠县武训高中高考模拟预测数学理试卷(带解析)
题号:1079229
题型:填空题
难易度:较易
日期:2012-06-05
来源:2012届山东省冠县武训高中高考模拟预测数学理试卷(带解析)
【题文】在区间[0,10]内任取两个数,则这两个数的平方和也[来在[0,10]的概率为 。
题号:1079230
题型:填空题
难易度:较易
日期:2012-06-05
来源:2012届山东省冠县武训高中高考模拟预测数学理试卷(带解析)
【题文】关于

的二项式

展开式中的常数项是
。
题号:3697602
题型:填空题
难易度:较易
日期:2012-06-05
来源:2012届山东省冠县武训高中高考模拟预测数学理试卷(带解析)
【题文】把边长为

的正方形

沿对角线

折起,使得平面

平面

,形成三棱锥

的正视图与俯视图如右图所示,则侧视图的面积为
。

题号:1079224
题型:解答题
难易度:容易
日期:2012-06-05
来源:2012届山东省冠县武训高中高考模拟预测数学理试卷(带解析)
【题文】已知曲线

过

上一点

作一斜率为

的直线交曲线

于另一点

,点列

的横坐标构成数列

,其中

.
(I)求

与

的关系式;
(II)令


,求证:数列

是等比数列;
(III)若

(λ为非零整数,n∈N*),试确定λ的值,使得对任意n∈N*,都有c
n+1>c
n成立。
题号:1079225
题型:解答题
难易度:较易
日期:2012-06-05
来源:2012届山东省冠县武训高中高考模拟预测数学理试卷(带解析)
【题文】已知函数

的图象在点

(

为自然对数的底数)处的切线斜率为3.

(Ⅰ)求实数

的值;
(Ⅱ)若

,且 对任意

恒成立,求

的最大值;
(Ⅲ)当

时,证明

.
题号:1079226
题型:解答题
难易度:较易
日期:2012-06-05
来源:2012届山东省冠县武训高中高考模拟预测数学理试卷(带解析)
【题文】如图,正三棱柱
ABC—A1B1C1的底面边长为a,点M在边 BC上,△AMC
1是以点M为直角顶点的等腰直角三角形。
(Ⅰ)求证点M为边BC的中点;
(Ⅱ)求点C到平面AMC
1的距离;
(Ⅲ)求二面角
M—AC1—C的大小。

题号:1079227
题型:解答题
难易度:容易
日期:2012-06-05
来源:2012届山东省冠县武训高中高考模拟预测数学理试卷(带解析)
【题文】已知函数

(I)求函数

的最小值和最小正周期;
(II)设△

的内角

对边分别为

,且

,若

与

共线,求

的值.
题号:3697603
题型:解答题
难易度:容易
日期:2012-08-27
来源:2012届山东省冠县武训高中高考模拟预测数学理试卷(带解析)
【题文】某单位在2012春节联欢会上举行一个抽奖活动:甲箱中装有3个红球,2个黑球,乙箱中装有2个红球4个黑球,参加活动者从这两个箱子中分别摸出1个球,如果摸到的都是红球则获奖.
(Ⅰ)求每个活动参加者获奖的概率;
(Ⅱ)某办公室共有5人,每人抽奖1次,求这5人中至少有3人获奖的概率.
题号:3697604
题型:解答题
难易度:较易
日期:2013-02-26
来源:2012届山东省冠县武训高中高考模拟预测数学理试卷(带解析)
【题文】已知椭圆

的离心率为e=

,且过点(

)
(Ⅰ)求椭圆的方程;
(Ⅱ)设直线

:


与椭圆交于P,Q两点,且以PQ为对角线的菱形的一顶点为(

,

),求:△OPQ面积的最大值及此时直线

的方程.