适用年级:{{getGradeNameByProperty('高三|高考模拟|山东|2012年')}} 试卷类型:{{getTestPaperTypeName('高三|高考模拟|山东|2012年')}} 使用省份:{{getAreaName('高三|高考模拟|山东|2012年')}}
试卷年份:{{getYear('高三|高考模拟|山东|2012年')}}上传日期:2012-03-15题数:22
提示:单击题文可显示答案与解析。
题号:1092817
题型:选择题
难易度:较易
日期:2012-03-15
来源:2012届山东省青岛市高三统一质量检测理科数学试卷
【题文】将函数

的图象上所有点的横坐标伸长到原来的

倍(纵坐标不变),再将所得图象向左平移

个单位,则所得函数图象对应的解析式为
题号:1092818
题型:选择题
难易度:较易
日期:2012-03-15
来源:2012届山东省青岛市高三统一质量检测理科数学试卷
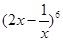
【题文】

的展开式中

的系数为
题号:1092819
题型:选择题
难易度:容易
日期:2012-03-15
来源:2012届山东省青岛市高三统一质量检测理科数学试卷
【题文】运行如右图所示的程序框图,则输出

的值为

题号:1092820
题型:选择题
难易度:容易
日期:2012-03-15
来源:2012届山东省青岛市高三统一质量检测理科数学试卷
【题文】已知函数

,则

题号:4198489
题型:选择题
难易度:较易
日期:2012-05-21
来源:2012届山东省青岛市高三统一质量检测理科数学试卷
【题文】设

与

是定义在同一区间

上的两个函数,若函

在

上有两个不同的零点,则称

和

在

上是“关联函数”,区间

称为“关联区间”.若

与

在

上是“关联函数”,则

的取值范围为( )
题号:4200029
题型:选择题
难易度:容易
日期:2013-01-23
来源:2012届山东省青岛市高三统一质量检测理科数学试卷
【题文】某个小区住户共

户,为调查小区居民的

月份用水量,用分层抽样的方法抽取了

户进行调查,得到本月的用水量(单位:m
3)的频率分布直方图如图所示,则小区内用水量超过

m
3的住户的户数为

题号:4200030
题型:选择题
难易度:较易
日期:2012-10-24
来源:2012届山东省青岛市高三统一质量检测理科数学试卷
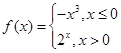
【题文】已知

函数

的图象如右图所示,则函数

的图象可能为

题号:4200031
题型:选择题
难易度:容易
日期:2012-05-16
来源:2012届山东省青岛市高三统一质量检测理科数学试卷
【题文】已知圆

的圆心为抛物线

的焦点,且与直线

相切,则该圆的方程为
题号:4200034
题型:选择题
难易度:
日期:2012-03-15
来源:2012届山东省青岛市高三统一质量检测理科数学试卷
题号:4200035
题型:选择题
难易度:
日期:2012-03-15
来源:2012届山东省青岛市高三统一质量检测理科数学试卷
题号:4200036
题型:选择题
难易度:
日期:2012-03-15
来源:2012届山东省青岛市高三统一质量检测理科数学试卷
【题文】直线

与抛物线

所围成封闭图形的面积是
题号:4200037
题型:选择题
难易度:
日期:2012-03-15
来源:2012届山东省青岛市高三统一质量检测理科数学试卷
题号:4198491
题型:填空题
难易度:容易
日期:2012-05-17
来源:2012届山东省青岛市高三统一质量检测理科数学试卷
【题文】已知某棱锥的三视图如右图所示,则该棱锥的体积为
.

题号:4200038
题型:填空题
难易度:
日期:2012-03-15
来源:2012届山东省青岛市高三统一质量检测理科数学试卷
题号:4200039
题型:填空题
难易度:
日期:2012-03-15
来源:2012届山东省青岛市高三统一质量检测理科数学试卷
【题文】已知双曲线

的渐近线方程为

,则它的离心率为
题号:4200040
题型:填空题
难易度:
日期:2012-03-15
来源:2012届山东省青岛市高三统一质量检测理科数学试卷
【题文】设变量

满足约束条件:

,则目标函数

的最小值为
题号:1092814
题型:解答题
难易度:容易
日期:2012-03-15
来源:2012届山东省青岛市高三统一质量检测理科数学试卷
【题文】已知椭圆

:

的左焦点

,若椭圆上存在一点

,满足以椭圆短轴为直径的圆与线段

相切于线段

的中点

.
(Ⅰ)求椭圆

的方程;
(Ⅱ)已知两点

及椭圆

:

,过点

作斜率为

的直线

交椭圆

于

两点,设线段

的中点为

,连结

,试问当

为何值时,直线

过椭圆

的顶点?
(Ⅲ) 过坐标原点

的直线交椭圆

:

于

、

两点,其中

在第一象限,过

作

轴的垂线,垂足为

,连结

并延长交椭圆

于

,求证:

题号:1092815
题型:解答题
难易度:容易
日期:2012-03-15
来源:2012届山东省青岛市高三统一质量检测理科数学试卷
【题文】已知函数

.
(Ⅰ)记

,求

的极小值;
(Ⅱ)若函数

的图象上存在互相垂直的两条切线,求实数

的值及相应的切点坐标.
题号:1092816
题型:解答题
难易度:容易
日期:2012-03-15
来源:2012届山东省青岛市高三统一质量检测理科数学试卷
【题文】在

中,内角

、

、

所对的边分别为

,

,

,

,且

.
(1)求角

的值;
(2)设函数

,且

图象上相邻两最高点间的距离为

,求

的取值范围.
题号:4200032
题型:解答题
难易度:容易
日期:2013-06-18
来源:2012届山东省青岛市高三统一质量检测理科数学试卷
【题文】如图,在直四棱柱

中,底面

为平行四边形,且

,

,

,

为

的中点.
(Ⅰ) 证明:

∥平面

;
(Ⅱ)求直线

与平面

所成角的正弦值.

题号:4200033
题型:解答题
难易度:较易
日期:2012-05-24
来源:2012届山东省青岛市高三统一质量检测理科数学试卷
【题文】已知等差数列

(

N
+)中,

,

,

.
(Ⅰ)求数列

的通项公式;
(Ⅱ)若将数列

的项重新组合,得到新数列

,具体方法如下:

,

,

,

,…,依此类推,
第

项

由相应的

中

项的和组成,求数列

的前

项和

题号:4200041
题型:解答题
难易度:
日期:2012-03-15
来源:2012届山东省青岛市高三统一质量检测理科数学试卷
【题文】一个盒子装有六张卡片,上面分别写着如下六个函数:

,

,

,

,

,

.
(Ⅰ)从中任意拿取

张卡片,若其中有一张卡片上写着的函数为奇函数。在此条件下,求两张卡片上写着的函数相加得到的新函数为奇函数的概率;
(Ⅱ)现从盒子中逐一抽取卡片,且每次取出后均不放回,若取到一张写有偶函数的卡片则停止抽取,否则继续进行,求抽取次数

的分布列和数学期望.