适用年级:{{getGradeNameByProperty('高三|高考模拟|山东|2013年')}} 试卷类型:{{getTestPaperTypeName('高三|高考模拟|山东|2013年')}} 使用省份:{{getAreaName('高三|高考模拟|山东|2013年')}}
试卷年份:{{getYear('高三|高考模拟|山东|2013年')}}上传日期:2013-07-22题数:22
提示:单击题文可显示答案与解析。
题号:984108
题型:选择题
难易度:较易
日期:2013-07-22
来源:2013届山东省高三高考压轴文科数学试卷(带解析)
【题文】函数y=e
sin x(-π≤x≤π)的大致图象为 ( ).

题号:984109
题型:选择题
难易度:较易
日期:2013-07-22
来源:2013届山东省高三高考压轴文科数学试卷(带解析)
【题文】已知函数

是R上的奇函数,若对于

,都有

,

时,

的值为( )
A. | B. | C.1 | D.2 |
题号:984111
题型:选择题
难易度:较易
日期:2013-07-22
来源:2013届山东省高三高考压轴文科数学试卷(带解析)
【题文】已知

、

、

是三条不同的直线,

、

、

是三个不同的平面,给出以下命题:
①若

,则

; ②若

,则

;③若

,

,则

;④若

,

,则

.
其中正确命题的序号是( )
题号:984132
题型:选择题
难易度:较易
日期:2013-07-22
来源:2013届山东省高三高考压轴文科数学试卷(带解析)
【题文】 若直线

与圆

有公共点,则实数a取值范围是( )
| A.[-3,-1] | B.[-1,3] |
| C.[-3,l ] | D.(-∞,-3] [1.+∞) |
题号:984133
题型:选择题
难易度:较易
日期:2013-07-22
来源:2013届山东省高三高考压轴文科数学试卷(带解析)
【题文】设sin(

)=

,sin2

=( )
A.

B.

D.

D.

题号:984134
题型:选择题
难易度:较易
日期:2013-07-22
来源:2013届山东省高三高考压轴文科数学试卷(带解析)
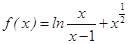
【题文】函数

的定义域为( )
| A.(0,+∞) | B.(1,+∞) |
| C.(0,1) | D.(0,1) (1,+ ) |
题号:984135
题型:选择题
难易度:较易
日期:2013-07-22
来源:2013届山东省高三高考压轴文科数学试卷(带解析)
题号:984136
题型:选择题
难易度:较易
日期:2013-07-22
来源:2013届山东省高三高考压轴文科数学试卷(带解析)
【题文】已知集合

,则

( )
题号:984137
题型:选择题
难易度:较易
日期:2013-07-22
来源:2013届山东省高三高考压轴文科数学试卷(带解析)
【题文】复数

(其中

为虚数单位)的虚部等于( )
题号:3489102
题型:选择题
难易度:容易
日期:2013-07-22
来源:2013届山东省高三高考压轴文科数学试卷(带解析)
【题文】若实数x,y满足不等式组:

则该约束条件所围成的平面区域的面积是( )
| A.3 | B. | C.2 | D. |
题号:3489103
题型:选择题
难易度:容易
日期:2013-07-22
来源:2013届山东省高三高考压轴文科数学试卷(带解析)
【题文】定义平面向量之间的一种运算“⊙”如下:对任意的a=(m,n),b=(p,q),令a⊙b= mq
-np,下面说法错误的是( )
| A.若a与b共线,则a⊙b =0 |
| B.a⊙b =b⊙a |
C.对任意的 R,有( a)⊙b = (a⊙b) |
| D.(a⊙b)2+(a·b)2= |a|2|b|2 |
题号:4863082
题型:选择题
难易度:较易
日期:2017-08-29
来源:2013届山东省高三高考压轴文科数学试卷(带解析)
题号:984105
题型:填空题
难易度:较易
日期:2013-07-22
来源:2013届山东省高三高考压轴文科数学试卷(带解析)
【题文】某校对高三年级的学生进行体检,现将高三男生的体重(单位:kg)数据进行整理后分成六组,并绘制频率分布直方图(如图).已知图中从左到右第一、第六小组的频率分别为0.16,0.07,第一、第二、第三小组的频率成等比数列,第三、第四、第五、第六小组的频率成等差数列,且第三小组的频数为100,则该校高三年级的男生总数为

题号:984106
题型:填空题
难易度:容易
日期:2013-07-22
来源:2013届山东省高三高考压轴文科数学试卷(带解析)
【题文】已知抛物线

的准线过双曲线

的右焦点,则双曲线的离心率为
.
题号:984107
题型:填空题
难易度:较易
日期:2013-07-22
来源:2013届山东省高三高考压轴文科数学试卷(带解析)
【题文】执行如图的程序框图,那么输出

的值是
.

题号:3915635
题型:填空题
难易度:较易
日期:2017-07-27
来源:2013届山东省高三高考压轴文科数学试卷(带解析)
【题文】观察下列等式:

,

,

,……,由以上等式推测到一个一般的结论:对于n∈

,
;
题号:984100
题型:解答题
难易度:较易
日期:2013-07-22
来源:2013届山东省高三高考压轴文科数学试卷(带解析)
【题文】已知函数

.
(1)若

,求曲线

在点

处的切线方程;
(2)求函数

的单调区间;
(3)设函数

.若至少存在一个

,使得

成立,求实数

的取值范围.
题号:984101
题型:解答题
难易度:较易
日期:2013-07-22
来源:2013届山东省高三高考压轴文科数学试卷(带解析)
【题文】已知等比数列

的所有项均为正数,首项

=1,且

成等差数列.
(Ⅰ)求数列

的通项公式;
(Ⅱ)数列{

}的前

项和为

,若

=

,求实数

的值.
题号:984102
题型:解答题
难易度:一般
日期:2013-07-22
来源:2013届山东省高三高考压轴文科数学试卷(带解析)
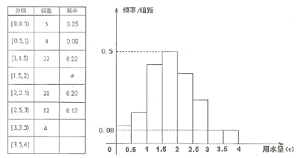
【题文】某市芙蓉社区为了解家庭月均用水量(单位:吨),从社区中随机抽查100户,获得每户2013年3月的用水量,并制作了频率分布表和频率分布直方图(如图).

(Ⅰ)分别求出频率分布表中a、b的值,并估计社区内家庭月用水量不超过3吨的频率;
(Ⅱ)设

是月用水量为[0,2)的家庭代表.

是月用水量为[2,4]的家庭代表.若从这五位代表中任选两人参加水价听证会,请列举出所有不同的选法,并求家庭代表

至少有一人被选中的概率.
题号:984103
题型:解答题
难易度:较易
日期:2013-07-22
来源:2013届山东省高三高考压轴文科数学试卷(带解析)
【题文】在

中,边

、

、

分别是角

、

、

的对边,且满足

.
(Ⅰ)求

;
(Ⅱ)若

,

,求边

,

的值.
题号:3489104
题型:解答题
难易度:一般
日期:2013-07-22
来源:2013届山东省高三高考压轴文科数学试卷(带解析)
【题文】在如图所示的几何体中,AB⊥平面ACD,DE⊥平面ACD,△ACD为等边三角形,AD=DE=2AB,F为CD的中点.

(Ⅰ)求证:AF∥平面BCE;
(Ⅱ)求证:平面BCE⊥平面CDE.
题号:3489105
题型:解答题
难易度:较易
日期:2013-07-22
来源:2013届山东省高三高考压轴文科数学试卷(带解析)
【题文】已知椭圆的中心在原点,焦点在

轴上,一个顶点为

,且其右焦点到直线

的距离为3.
(Ⅰ)求椭圆方程;
(Ⅱ)设直线过定点

,与椭圆交于两个不同的点

,且满足

.
求直线的方程.