适用年级:{{getGradeNameByProperty('高三|高考模拟|山东|2011年')}} 试卷类型:{{getTestPaperTypeName('高三|高考模拟|山东|2011年')}} 使用省份:{{getAreaName('高三|高考模拟|山东|2011年')}}
试卷年份:{{getYear('高三|高考模拟|山东|2011年')}}上传日期:2011-06-03题数:22
提示:单击题文可显示答案与解析。
题号:1144410
题型:选择题
难易度:一般
日期:2011-06-03
来源:2011届山东省潍坊市三县高三最后一次模拟考试文数
【题文】对两个实数

,定义运算“

”,

.若点

在第四象限,点

在第一象限,当

变动时动点

形成的平面区域为

,则使

成立的

的最大值为
题号:1144411
题型:选择题
难易度:一般
日期:2011-06-03
来源:2011届山东省潍坊市三县高三最后一次模拟考试文数
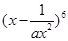
【题文】若函数

的图象与

轴所围成的封闭图形的面积为

,则

的展开式中常数项为
题号:1144412
题型:选择题
难易度:一般
日期:2011-06-03
来源:2011届山东省潍坊市三县高三最后一次模拟考试文数
【题文】直线

与曲线

有3个公共点时,实数

的取值范围是
题号:1144413
题型:选择题
难易度:一般
日期:2011-06-03
来源:2011届山东省潍坊市三县高三最后一次模拟考试文数
【题文】已知球O是棱长为1的正方体ABCD—A
1B
1C
1D
1的内切球,则平面ACD
1截球O所得的截面面积为
题号:1144414
题型:选择题
难易度:一般
日期:2011-06-03
来源:2011届山东省潍坊市三县高三最后一次模拟考试文数
【题文】若函数

的图象在

处的切线

与圆

相离,则

与圆C的位置关系是
| A.在圆内 | B.在圆上 | C.在圆外 | D.不确定,与 的取值有关 |
题号:1144415
题型:选择题
难易度:一般
日期:2011-06-03
来源:2011届山东省潍坊市三县高三最后一次模拟考试文数
【题文】先将函数

的图象向左平移

个长度单位,再保持所有点的纵坐标不变横坐标压缩为原来的

,得到函数

的图象,则使

为增函数的一个区间是( )
题号:1144436
题型:选择题
难易度:一般
日期:2011-06-03
来源:2011届山东省潍坊市三县高三最后一次模拟考试文数
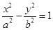
【题文】两个正数

的等差中项是

一个等比中项是

则双曲线

的离心率

等于
题号:1144437
题型:选择题
难易度:一般
日期:2011-06-03
来源:2011届山东省潍坊市三县高三最后一次模拟考试文数
【题文】执行如右图所示的程序框图,若输出的
n =5,则输入整数
p的最小值是

题号:1144438
题型:选择题
难易度:一般
日期:2011-06-03
来源:2011届山东省潍坊市三县高三最后一次模拟考试文数
【题文】已知

,则下面四个数中最小的是
题号:4209320
题型:选择题
难易度:一般
日期:2012-08-07
来源:2011届山东省潍坊市三县高三最后一次模拟考试文数
【题文】命题“函数


是偶函数”的否定是
题号:4209321
题型:选择题
难易度:一般
日期:2012-06-06
来源:2011届山东省潍坊市三县高三最后一次模拟考试文数
【题文】

的外接圆的圆心为O,半径为1,

,且

,则向量

在向量

方向上的投影为
题号:4209322
题型:选择题
难易度:一般
日期:2012-08-15
来源:2011届山东省潍坊市三县高三最后一次模拟考试文数
【题文】从

(其中

)所表示的圆锥曲线(椭圆、双曲线、抛物线)方程中任取一个,则此方程是焦点在

轴上的双曲线方程的概率为
题号:1144173
题型:填空题
难易度:一般
日期:2011-06-04
来源:2011届山东省潍坊市三县高三最后一次模拟考试文数
【题文】高三(1)班共有56人,学号依次为1,2,3,…,56,现用系统抽样的办法抽取一个容量为4的样本,已知学号为6,34,48的同学在样本中,那么还有一个同学的学号应为 .
题号:1144406
题型:填空题
难易度:一般
日期:2011-06-03
来源:2011届山东省潍坊市三县高三最后一次模拟考试文数
【题文】已知三个平面

,若

,且

与

相交但不垂直,直线

分别为

内
的直线,给出下列命题:
①任意

; ②任意

; ③存在

;
④存在

; ⑤任意

; ⑥存在

.
其中真命题的序号是_________ .(把你认为正确的命题序号都填上)
题号:1144407
题型:填空题
难易度:一般
日期:2011-06-03
来源:2011届山东省潍坊市三县高三最后一次模拟考试文数
【题文】在平面几何中,已知“正三角形内一点到三边距离之和是一个定值”,类比到空间写出你认为合适的结论: .
题号:1144409
题型:填空题
难易度:一般
日期:2011-06-03
来源:2011届山东省潍坊市三县高三最后一次模拟考试文数
【题文】
复数

在复平面上对应的点在第
象限.
题号:1144400
题型:解答题
难易度:一般
日期:2011-06-03
来源:2011届山东省潍坊市三县高三最后一次模拟考试文数
【题文】(本小题满分14分)
已知

函数

.
(I) 若

且函数

为奇函数,求实数

;
(II) 若

试判断函数

的单调性;
(III) 当

,

,

时,求函数

的对称轴或对称中心.
题号:1144401
题型:解答题
难易度:一般
日期:2011-06-03
来源:2011届山东省潍坊市三县高三最后一次模拟考试文数
【题文】(本小题满分12分)
设椭圆

:

的焦点分别为

、

,抛物线

:

的准线与

轴的交点为

,且

.
(I)求

的值及椭圆

的方程;
(II)过

、

分别作互相垂直的两直线与椭圆分别交于

、

、

、

四点(如图),
求四边形

面积的最大值和最小值.

题号:1144402
题型:解答题
难易度:一般
日期:2011-06-03
来源:2011届山东省潍坊市三县高三最后一次模拟考试文数
【题文】本小题满分12分)
已知数列

满足

+

=4
n-3(
n∈

).
(I)若

=2,求数列

的前
n项和

;
(II)若对任意
n∈

,都有

≥5成立,求

为偶数时,

的取值范围.
题号:1144403
题型:解答题
难易度:一般
日期:2011-06-03
来源:2011届山东省潍坊市三县高三最后一次模拟考试文数
【题文】(本小题满分12分)
张先生家住
H小区,他工作在
C科技园区,从家开车到公司上班路上有
L1,
L2两条路线(如图),
L1路线上有
A1,
A2,
A3三个路口,各路口遇到红灯的概率均为

;
L2路线上有
B1,
B2两个路口,各路口遇到红灯的概率依次为

,

.
(Ⅰ)若走
L1路线,求最多遇到1次红灯的概率;
(Ⅱ)若走
L2路线,求遇到红灯次数

的数学期望;
(Ⅲ)按照“平均遇到红灯次数最少”的要求,请你帮助张先生分析上述两条路线中,选择
哪条上班路线更好些,并说明理由.

题号:1144404
题型:解答题
难易度:一般
日期:2011-06-03
来源:2011届山东省潍坊市三县高三最后一次模拟考试文数
【题文】(本小题满分12分)
如图,四边形

是直角梯形,∠

=90°,

∥

,

=1,

=2,又

=1,∠

=120°,

⊥

,直线

与直线

所成的角为60°.

(Ⅰ)求证:平面

⊥平面

;
(Ⅱ)求二面角

的余弦值.
题号:1144405
题型:解答题
难易度:一般
日期:2011-06-03
来源:2011届山东省潍坊市三县高三最后一次模拟考试文数
【题文】
(本小题满分12分)
已知函数


最小正周期为

.
(I)求

的值及函数

的解析式;
(II)若

的三条边

,

,

满足

,

边所对的角为

.求角

的取值范围及函数

的值域.