适用年级:{{getGradeNameByProperty('高三|高考模拟|海南|2011年')}} 试卷类型:{{getTestPaperTypeName('高三|高考模拟|海南|2011年')}} 使用省份:{{getAreaName('高三|高考模拟|海南|2011年')}}
试卷年份:{{getYear('高三|高考模拟|海南|2011年')}}上传日期:2011-05-20题数:24
提示:单击题文可显示答案与解析。
题号:1085737
题型:选择题
难易度:一般
日期:2012-04-28
来源:2011届海南省海口市高三下学期高考调研考试理科数学
【题文】如图,在直角梯形

中,

,

∥

,

,

,动点

在以点

为圆心,且与直线

相切的圆上或圆内移动,设

(

,

),则

取值范围是

题号:1147592
题型:选择题
难易度:一般
日期:2011-05-20
来源:2011届海南省海口市高三下学期高考调研考试理科数学
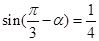
题号:1147593
题型:选择题
难易度:一般
日期:2011-05-20
来源:2011届海南省海口市高三下学期高考调研考试理科数学
【题文】.若

,则

题号:1147594
题型:选择题
难易度:一般
日期:2011-05-20
来源:2011届海南省海口市高三下学期高考调研考试理科数学
【题文】把24粒种子分别种在8个坑内,每坑3粒,每粒种子发芽的概率为

,若一个坑内至少有1粒种子发芽,则这个坑不需要补种,若一个坑里的种子都没发芽,则这个坑需要补种,假定每个坑至多补种一次,每补种1个坑需10元,用

表示补种费用,则

的数学期望为
题号:1147595
题型:选择题
难易度:一般
日期:2011-05-20
来源:2011届海南省海口市高三下学期高考调研考试理科数学
【题文】阅读下侧的算法框图,输出结果

的值为

题号:1147596
题型:选择题
难易度:一般
日期:2011-05-20
来源:2011届海南省海口市高三下学期高考调研考试理科数学
题号:1147597
题型:选择题
难易度:一般
日期:2011-05-20
来源:2011届海南省海口市高三下学期高考调研考试理科数学
【题文】已知函数

,

(

).那么下面命题中真命题的序号是
①

的最大值为

②

的最小值为

③

在

上是减函数 ④

在

上是减函数
| A.①③ | B.①④ | C.②③ | D. ②④ |
题号:1147598
题型:选择题
难易度:一般
日期:2011-05-20
来源:2011届海南省海口市高三下学期高考调研考试理科数学
题号:1147599
题型:选择题
难易度:一般
日期:2011-05-20
来源:2011届海南省海口市高三下学期高考调研考试理科数学
题号:4209741
题型:选择题
难易度:一般
日期:2012-04-23
来源:2011届海南省海口市高三下学期高考调研考试理科数学
【题文】复数

(

,

是虚数单位)在复平面上对应的点不可能位于
题号:4209742
题型:选择题
难易度:一般
日期:2012-08-06
来源:2011届海南省海口市高三下学期高考调研考试理科数学
题号:4209743
题型:选择题
难易度:一般
日期:2012-09-03
来源:2011届海南省海口市高三下学期高考调研考试理科数学
【题文】函数

在定义域

内可导,其图象如图所示,记

的导函数为

,则不等式

的解集为

题号:1147590
题型:填空题
难易度:一般
日期:2011-05-20
来源:2011届海南省海口市高三下学期高考调研考试理科数学
【题文】.如下图,夹在两斜线之间的数的和为 (用组合数符号表示,参考公式

).

题号:1147591
题型:填空题
难易度:一般
日期:2011-05-20
来源:2011届海南省海口市高三下学期高考调研考试理科数学
【题文】在

中,角

,

,

所对的边分别为

,

,

,

为

的面积,若向量

,

满足


∥

,则角

.
题号:4209744
题型:填空题
难易度:一般
日期:2012-05-25
来源:2011届海南省海口市高三下学期高考调研考试理科数学
【题文】一空间几何体的三视图如下图所示, 该几何体的 体积为

,则正视图中x的值为___

________.

题号:4209745
题型:填空题
难易度:一般
日期:2012-08-15
来源:2011届海南省海口市高三下学期高考调研考试理科数学
【题文】已知双曲线


与抛物线

有一个公共的焦点

,且两曲线的一个交点为

,若

,则双曲线的方程为
题号:1147583
题型:解答题
难易度:一般
日期:2011-05-20
来源:2011届海南省海口市高三下学期高考调研考试理科数学
【题文】(本小题满分10分)选修4—5:不等式选讲
设

(

).
(Ⅰ)当

时,求函数

的定义域;
(Ⅱ)若当

时,

恒成立,求实数

的取值范围.
题号:1147584
题型:解答题
难易度:一般
日期:2011-05-20
来源:2011届海南省海口市高三下学期高考调研考试理科数学
【题文】本小题满分10分)选修4—4:坐标系与参数方程
如图,已知点

,

,圆

是以

为直径的圆,直线

:

(

为参数).

(Ⅰ)写出圆

的普通方程并选取适当的参数改写为参数方程;
(Ⅱ)过原点

作直线

的垂线,垂足为

,若动点

满足

,当

变化时,求点

轨迹的参数方程,并指出它是什么曲线.
题号:1147585
题型:解答题
难易度:一般
日期:2011-05-20
来源:2011届海南省海口市高三下学期高考调研考试理科数学
【题文】(本小题满分12分)
已知函数

,

.
(Ⅰ)若函数

依次在

处取到极值.
(ⅰ)求

的取值范围;
(ⅱ)若

成等差数列,求

的值

.
(Ⅱ)当

时

,对任意的

,不等式

恒成立.求正整数

的最大值.
题号:1147586
题型:解答题
难易度:一般
日期:2011-05-20
来源:2011届海南省海口市高三下学期高考调研考试理科数学
【题文】(本小题满分12分)
如图,已知

,

分别是椭圆

:

(

)的左、右焦点,且椭圆

的离心率

,

也是抛物线

:

的焦点.

(Ⅰ)求椭圆

的方程;
(Ⅱ)过点

的直线

交椭圆

于

,

两点,且

,点

关于

轴的对称点为

,求直线

的方程.
题号:1147587
题型:解答题
难易度:一般
日期:2011-05-20
来源:2011届海南省海口市高三下学期高考调研考试理科数学
【题文】(本小题满分12分)
如图,四棱锥

的底面

为菱形,

平面

,

,

分别为

的中点,

.

(Ⅰ)求证:平面

平面

.
(Ⅱ)求平面

与平面

所成的锐二面角的余弦值.
题号:1147588
题型:解答题
难易度:一般
日期:2011-05-20
来源:2011届海南省海口市高三下学期高考调研考试理科数学
【题文】(本小题满分12分)
为调查某市学生百米运动成绩,从该市学生中按照男女生比例随机抽取50名学生进行百米测试,学生成绩全部都介于13秒到18秒之间,将测试结果按如下方式分成五组,第一组

,第二组

……第五组

,如图是按上述分组方法

得到的频率分布直方图.

(Ⅰ)求这组数据的众数和中位数(精确到0.1);
( II )根据有关规定,成绩小于16秒为达标.
(ⅰ)用样本估计总体,某班有学生45人,设

为达标人数,求

的数学期望与方差.
(ⅱ)如果男女生使用相同的达标标准,则男女
生达标情况如下表
性别 是否达标
| 男
| 女
| 合计
|
达标
| 
| ______
| _____
|
不达标
| _____
| 
| _____
|
合计
| ______
| ______
| 
|
根据上表数据,能否有99%的把握认为“体育达标与性别有关”?若有,你能否提出一个更好的解决方法来?
题号:1147589
题型:解答题
难易度:一般
日期:2011-05-20
来源:2011届海南省海口市高三下学期高考调研考试理科数学
【题文】(本小题满分12分)
在数列

,

中已知

,

(Ⅰ)求证:数列

是等比数列;
(Ⅱ)若

,求数列

,

的通项公式.
题号:4209746
题型:解答题
难易度:一般
日期:2011-05-20
来源:2011届海南省海口市高三下学期高考调研考试理科数学
【题文】
(本小题满分10分)选修4—1:几何证明选讲
如图,已知

与圆

相切于点

,半径

,

交

于

点

,

(Ⅰ)求证:

;
(Ⅱ)若圆

的半径为3,

,求

的长度.