适用年级:{{getGradeNameByProperty('高三|高考模拟|海南|2011年')}} 试卷类型:{{getTestPaperTypeName('高三|高考模拟|海南|2011年')}} 使用省份:{{getAreaName('高三|高考模拟|海南|2011年')}}
试卷年份:{{getYear('高三|高考模拟|海南|2011年')}}上传日期:2011-12-16题数:24
提示:单击题文可显示答案与解析。
题号:1123176
题型:选择题
难易度:容易
日期:2011-12-16
来源:2012届海南省嘉积中学高三上学期教学质量监测考试文科数学
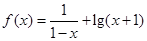
【题文】、已知

的最小值为 :
题号:1123177
题型:选择题
难易度:较易
日期:2011-12-16
来源:2012届海南省嘉积中学高三上学期教学质量监测考试文科数学
题号:1123178
题型:选择题
难易度:容易
日期:2011-12-16
来源:2012届海南省嘉积中学高三上学期教学质量监测考试文科数学
题号:1123179
题型:选择题
难易度:容易
日期:2011-12-16
来源:2012届海南省嘉积中学高三上学期教学质量监测考试文科数学
【题文】已知各项均为正数的等比数列

,

=5,

=10,则

=:
题号:1123180
题型:选择题
难易度:容易
日期:2011-12-16
来源:2012届海南省嘉积中学高三上学期教学质量监测考试文科数学
题号:1123181
题型:选择题
难易度:较易
日期:2011-12-16
来源:2012届海南省嘉积中学高三上学期教学质量监测考试文科数学
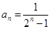
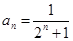
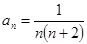
【题文】数列

…的一个通项公式为:
题号:1123182
题型:选择题
难易度:较易
日期:2011-12-16
来源:2012届海南省嘉积中学高三上学期教学质量监测考试文科数学
题号:1123183
题型:选择题
难易度:容易
日期:2011-12-16
来源:2012届海南省嘉积中学高三上学期教学质量监测考试文科数学
【题文】函数

的定义域是:
题号:3877395
题型:选择题
难易度:容易
日期:2012-07-26
来源:2012届海南省嘉积中学高三上学期教学质量监测考试文科数学
【题文】对于实数

,“

”是“

”的:
| A.必要不充分条件 | B.充要条件 |
| C.充分不必要条件 | D.既不充分也不必要条件 |
题号:3877396
题型:选择题
难易度:容易
日期:2013-01-29
来源:2012届海南省嘉积中学高三上学期教学质量监测考试文科数学
【题文】下面给出四个点中,位于

表示的平面区域内的点是:
题号:3877398
题型:选择题
难易度:
日期:2011-12-16
来源:2012届海南省嘉积中学高三上学期教学质量监测考试文科数学
【题文】已知

都是正数,则

的最小值是 :
题号:3877399
题型:选择题
难易度:
日期:2011-12-16
来源:2012届海南省嘉积中学高三上学期教学质量监测考试文科数学
【题文】△ABC中,

分别为∠A、∠B、∠C的对边.如果

成等差数列,

,△ABC的面积为

,那么

A、

B、

C、

D、

题号:1123172
题型:填空题
难易度:容易
日期:2011-12-16
来源:2012届海南省嘉积中学高三上学期教学质量监测考试文科数学
【题文】 设

是椭圆

的右焦点,且椭圆上至少有21个不同的

,
使

组成公差为

的等差数列,则的取值范围为_____.
题号:1123173
题型:填空题
难易度:容易
日期:2011-12-16
来源:2012届海南省嘉积中学高三上学期教学质量监测考试文科数学
【题文】 若正实数

满足

,则

的最小值是________.
题号:1123174
题型:填空题
难易度:容易
日期:2011-12-16
来源:2012届海南省嘉积中学高三上学期教学质量监测考试文科数学
【题文】 已知不等式

,则它的解集为________.
题号:1123175
题型:填空题
难易度:较易
日期:2011-12-16
来源:2012届海南省嘉积中学高三上学期教学质量监测考试文科数学
【题文】 已知

,

,

成等比数列,则

的值为________.
题号:1123167
题型:解答题
难易度:容易
日期:2011-12-16
来源:2012届海南省嘉积中学高三上学期教学质量监测考试文科数学
【题文】(本小题满分12分)
设

,数列

满足

,

,求:
(1)数列

的通项公式;
(2)证明:对一切正整数

,

.
题号:1123168
题型:解答题
难易度:较易
日期:2011-12-16
来源:2012届海南省嘉积中学高三上学期教学质量监测考试文科数学
【题文】(本小题满分12分)
设等差数列

的前

项和为

,已知

,

.求:
(1)公差

的取值范围;
(2)S
1,S
2,…,S
12中哪一个值最大?并说明理由.
题号:1123169
题型:解答题
难易度:较易
日期:2011-12-16
来源:2012届海南省嘉积中学高三上学期教学质量监测考试文科数学
【题文】(本小题满分12分)
已知函数

当

时,

恒成立,
求

的取值范围.
题号:1123170
题型:解答题
难易度:较易
日期:2011-12-16
来源:2012届海南省嘉积中学高三上学期教学质量监测考试文科数学
【题文】(本小题满分12分)
设等比数列

的前

项和为

,已知


求

和

.
题号:1123171
题型:解答题
难易度:较易
日期:2011-12-16
来源:2012届海南省嘉积中学高三上学期教学质量监测考试文科数学
【题文】(本小题满分12分 ,要求画图规范)
用平面区域表示不等式组

的解集.
题号:3877397
题型:解答题
难易度:容易
日期:2011-12-16
来源:2012届海南省嘉积中学高三上学期教学质量监测考试文科数学
【题文】(本小题满分10)选修4-1:几何证明选讲
如图,过圆O外一点M作它的一条切线,切点为A,过A作直线AP垂直直线OM,垂足为P.
(1)证明:

;
(2)N为线段AP上一点,直线NB垂直直线ON,且交圆O于B点。过B点的切
线交直线ON于K。证明:∠OKM = 90°.

题号:3877400
题型:解答题
难易度:
日期:2011-12-16
来源:2012届海南省嘉积中学高三上学期教学质量监测考试文科数学
【题文】本小题满分10分)选修4—4:坐标系与参数方程.
已知曲线C

:

(

为参数), C

:

(

为参数)。
(1)化C

,C

的方程为普通方程,并说明它们分别表示什么曲线;
(2)若C

上的点P对应的参数为

,Q为C

上的动点,求

中点

到直线

,(

为参数)距离的最小值.
题号:4818634
题型:解答题
难易度:容易
日期:2017-08-11
来源:2012届海南省嘉积中学高三上学期教学质量监测考试文科数学
【题文】(本小题满分10分)选修4-5:不等式选讲
设函数

,其中

,
(1)当

时,求不等式

的解集
(2)若不等式

的解集为

,求

的值.